Leonardo_CT
Usuario (Colombia)
¡Hola taringueros! este es mi primer post, espero les guste Al montar una pantalla de televisión plana en la pared, puede ser muy costoso y lleva mucho tiempo hacerlo, pero con la actualidad y los grandes avances tecnológicos esto ya no es problema. Lg, la gran marca sur coreana quiere innovar mostrando un televisor con una pantalla ULTRA FINA de menos de 1mm de espesor y con un peso de 1,9 Kg (4 libras) es tan ligero que se puede adherir a la pared solo con imanes. La tecnología añade una capa de compuesto orgánico que permite no sólo a las pantallas ser muy delgadas sino que permite que también sean curvadas. La materia orgánica también emite su propia luz, eliminando la necesidad de una luz de fondo Los fabricantes de televisores más grandes del mundo, Samsung Electronics Co Ltd y LG Electronics Inc, también están recurriendo a la tecnología de puntos cuánticos para sus televisores de última generación. El proceso de fabricación es relativamente sencilla y ofrece una mejor calidad de imagen a un costo mucho menor que el uso de diodos emisores de luz orgánicos (OLED). LG ha lanzado recientemente una TV OLED de 65 pulgadas ultra-alta definición por 12 millones de won ($ 11.350) en su mercado doméstico de Corea del Sur. Mientras tanto esta pantalla ultrafina y liviana resulta un gran avance para la tecnología de los televisores entre las grandes marcas del mundo. Gracias.
1. Porque cuando la escuchas no piensas en nada, es una BOSTA ATÓMICA 2. Porque les gusta a las chicas más lindas 3. Porque se mezcla con cualquier género de música (Reggae, hip hop, carranguera, etc..) 4. Porque se escuchan en cualquier parte del mundo, ya sea en discos (boliches) 5. Porque siempre que escuchas una tiene un ritmo pegajoso 6. Porque tiene los mejores clásicos 7. Porque siempre la bailas ebrio
Hola T! Hoy les enseñaré a acelerar su internet sin necesidad de programas, lo primero que debemos hacer es ejecutar CMD > "gpedit.msc" > Plantillas administrativas > Red > Programador de paquetes Qos > Limitar ancho de banda reservable, doble click Le dan a habilitada y ponen donde está el "80" un "0" o un "20" Le dan a aplicar, ahora le dan en valor anterior y ponen "habilitada" y cambian el numero de paquetes a 4000000000 (nueve ceros) Le dan aplicar, aceptar y eso es todo amigo, disfruten de un internet al 100%

Hola Taringa! Este hombre que tiene 19 pulgadas (49cm) de antebrazos se ha ganado el apodo de Popeye por los aficionados y compite por ser campeón de pulso en el mundo Los antebrazos monstruosos de Jeff Dabe miden 19 pulgadas (49cm) de circunferencia, las manos del hombre son tan grandes que cabe una pelota de baloncesto en ellas. Se han realizado pruebas para descubrir lo que hace que los brazos de Jeff sean tan grande, como fotografías familiares las cuales muestran que nació con sus extremidades mas grandes que sus parientes. Después de examinar los signos de gigantismo y la elefantiasis, la Universidad de Minnesota concluyó que no había señales de la enfermedad o anomalías La esposa de Jeff, Gina, dijo: que simplemente nació de esa manera. Este hombre ha estado compitiendo en torneos de lucha pulso desde la década de 1980, con sus gigantes antebrazos dándole una ventaja natural. "Los aficionados en aquel entonces fueron los que me llamaron Popeye. Jeff dijo: "Gracias a la Liga Mundial de Lucha de Brazos ahora estoy compitiendo con personas de todas partes de América. Es tan divertido viajar a lugares que normalmente no iría". "Siempre fui bueno en la lucha de brazos, pero el tamaño de mis manos hace que la gente se sorprenda" Aquí un vídeo de Jeff en acción link: https://www.youtube.com/watch?v=tJrrNdTXgJw

Hola taringa Bueno amigos, uso taringa para deshogarme de lo que siento ahora y contarles mi historia y que tengan precaución cuando anden en el transporte público Salí de la Universidad y de pronto me subo a la ruta (bondi) siempre tengo la costumbre de guardar mi celular en el bolsillo pequeño de mi maleta, ya que en el bolsillo se ve muy exagerado, mi celular era este: Cuando llegué a mi destino iba a revisar mis whatsapp que seguramente eran miles, MENTIRA! Ni siquiera sentí que lo hayan sacado del bolsillo, me siento frustado Gracias por pasar

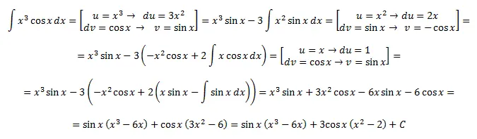
Hola taringa! Bueno, para resumirlo rapidamente, estudio Ingeniería Civil (obviamente no tengo amigos en la U) soy taringuero, ¿Qué querian? y como dice el título no sé un carajo, ya he visto videos en youtube sobre el tema que es este: Ví tantos ejemplos en Google, youtube, rincon del vago y no entiendo nada, me siento defraudado de mi mismo Sólo quiero estar en mi PC en taringa todo el día y no salir a la 'sociedad' Pero ojalá todo salga bien mañana, que el profesor le de alguna enfermedad y no vaya, espero eso Solo quería contarles lo que me pasa ahora taringueros, ojalá no sea una masacre estudiantil

Hola taringa! Para empezar, soy de esta parte de Colombia: Soy llanero, en esta parte de la region Colombiana se baila el joropo: link: https://www.youtube.com/watch?v=5GIs8AqEv_0 Ahí se ve su vestimenta que son Unas cotiza o alpargatas: El traje típico es así, para el hombre es un liqui liqui, cotizas y sombrero...para la mujer es un vestido, un moño de rosas y cotizas igualmente Se ven shows llaneros: link: https://www.youtube.com/watch?v=6cyjh_nwmDA Una de las comidas típicas es la mamona o carne asada llanera, esta se prepara en pinchos y se deja que se ase con la misma grasa de la carne y se le aplica cerveza para un mejor sabor, acompañada de guacamole y yuca: Uno de los mejores interprestes de nuestra música y ganador de un grammy latino (Cholo valderrama) link: https://www.youtube.com/watch?v=gg2g07H2Y7Q Eso es todo papus, espero les haya gustado y que conozcan un poco de mi tierra
Hola taringa! Bueno, primero que todo quiero decirles que esto ha sido un gran paso para mí ya que lo estaba tomando como costumbre Empecé a fumar desde que tenía 16 años (tengo 19 actualmente) Me fumaba 1 cajetilla de cigarrillos ¡POR DÍA! y cuando salía a la disco (boliche) a beber y pasar el rato llegaba con mis compañeros a fumarnos hasta 6 cajas de cigarrillo Actualmente llevo 8 meses limpio y me siento más enérgico, antes cuando corría o subía escaleras me asfixiaba, me sentía mal por ello. Hasta que decidí dejarlo, al principio fue muy difícil, no sé qué tiene el cigarrillo que hace que sea un vicio, incluso un hábito, ya respiro muy bien y empecé a ejercitarme Y eso es todo mis camaradas taringueros, tomenlo de ejemplo que si se quiere se puede, además que es bueno para nosotros Saludos

Hola T! Desde que tengo memoria he usado Windows pero ya aburrido de su "inicio" y su interfaz gráfica siempre encapsulable decidí buscar por Internet sistemas operativos que fueran de acuerdo a mis necesidades y también darle una nueva apariencia a mi Notebook HP. Así que instalé Linux Ubuntu 14.04 LTS, llevo 4 días con él y me ha parecido de maravilla, todas las apps que tiene windows o mac están aquí y es sencillo y muy amable con los nuevos usuarios aquí unas capturas