Saivitron
Usuario (Argentina)

unas 52 fotos de la supuesta guia de bradygames andan rondando recuerden que no es la guia completa ya que esa guia son por lo menos 400 paginas como se han filtrado algunos ejemplares de la guia ya empieza a expandirse las fotos. Ver galeria de fotos aqui: http://imgur.com/a/v65rG LAS MEJORES: COMUNIDAD OFICIAL GTA 5!!! http://www.taringa.net/comunidades/gta-five/
Una de las prácticas más comunes entre los desarrolladores de software es dejar “puertas traseras” programadas en el código que permitiría a cualquiera que las conozca acceder a funciones ocultas del sistema de manera más precisa que cualquier usuario final. En este caso dichas puertas traseras (backdoors) no son creadas con intenciones maliciosas sino que permiten a los OEM o programadores acceder al sistema para verificar qué falla o testear ciertas partes del teléfono. ¿Cómo se accede a esas puertas traseras? Generalmente mediante códigos que se teclean en el terminal desde la aplicación teléfono. El más popular es quizá *#06# que desde tiempos inmemoriales nos ofrece el número de IMEI del terminal. Os queremos dejar una lista de códigos con los que podéis acceder a nuevas funcionalidades de vuestros terminales. Sin embargo, queremos hacer hincapié en que si están ocultos de serie, es por algo. La modificación sin sentido de algunos parámetros podría cambiar notablemente el comportamiento de tu smartphone. No todos funcionan en todos los modelos: *#06# – Número de IMEI *#0*# – Menú de servicio en smartphones modernos como Galaxy S III *#*#4636#*#* – Información del teléfono, estadísticas de uso y batería *#*#34971539#*#* – Información detallada de la cámara *#*#273282*255*663282*#*#* – Copia de seguridad de todos los archivos multimedia *#*#197328640#*#* – Activa el modo test para el servicio técnico *#*#232339#*#* – tests Wi-Fi *#*#0842#*#* – Test de retroiluminación y vibración *#*#2664#*#* – Test de la pantalla táctil *#*#1111#*#* – Versión de software FTA *#*#1234#*#* – Versión de software PDA y firmware *#12580*369# – Información de software y hardware *#9090# – Diagnóstico de configuración *#872564# – Control de logging USB *#9900# – Modo de volcado de sistema *#301279# – Menú de control HSDPA/HSUPA *#7465625# – Ver el estado de los bloqueos de teléfono (operadora, etc) *#*#7780#*#* – Resetea la partición /data al estado original de fábrica *2767*3855# – Formatea el dispositivo al estado original de fábrica (borrará todo) ##7764726 – Menú de servicio oculto en Motorola Droid @Saivitron

Si todavía tienes dudas con el tema de los antivirus o te pilla de nuevas el asunto -si tal cosa es posible-, vamos a aprovechar este sábado para recomendarte cuatro soluciones gratuitas muy conocidas que no está de más recordar de cuando en cuando. Además, lo vamos a hacer en vistas no solo de obtener una buena protección, sino de acompañarla con el mejor rendimiento posible. Así, lo primero que vamos a hacer es eliminar de la lista a Microsoft Security Essentials en Windows 7, Windows Defender en Windows 8, pues si bien la opción -instalada por defecto en Windows 8- de Microsoft mejora con cada versión, sigue siendo todavía demasiado básica. Solo te la recomendaríamos en ciertos casos, como que lo que más te importe sea el rendimiento del sistema, siempre que seas una persona realmente responsable tanto con tu navegación web como con los archivos que descargas (piensa en ello). Aun así, si tu equipo corre Windows 7 o Windows 8, hay alternativas que siguen manteniendo el uso de recursos al mínimo, garantizando más potencia y prestaciones. De hecho, de unos años a esta parte las firmas de seguridad parece haber entendido por fin que por muy eficiente que sea un antivirus, si te deja ‘seco’ el equipo, no vale de nada. Así, de menos a más… Panda Cloud El otrora obeso panda español ha adelgazado lo que no está escrito. Es más, ha evolucionado tanto que se ha subido a la nube y ya no necesita ni actualizaciones. Asimismo, se ha simplificado al extremo. A ello le sumamos una de las mejores tasas de detección en malware, tecnología anti-exploit incluida, y lo que obtenemos es una solución de primera. Avira El paraguas alemán está cada vez mejor considerado y no es para menos. Su tasa de detección es excelente, sus opciones considerables y su rendimiento parejo al de Panda Cloud, lo que lo convierte en una de las recomendaciones obligatorias en esta lista. Un punto importante: el análisis con menor impacto en el rendimiento, el suyo. Por contra, no deja de tener un inconveniente más bien molesto en la forma en la que publicita su versión de pago. Todos lo hacen, pero, ¿lanzar en cada sesión varias ventanas emergentes? No todo el mundo está dispuesto a aguantar algo así, por muy bueno que sea el producto. AVG Otra excelente opción para cubrirse las espaldas en Windows es AVG. La solución checa goza de una detección a la altura de las circunstancias y un rendimiento comedido. Además, en su nueva versión ha mudado de piel y se ha adaptado al estilo de Windows 8, dejando su interfaz tradicional atrás. ¿Puntos negativos? En comparación con los anteriores, el impacto en el rendimiento durante los análisis es sensiblemente superior. Y aunque se agradece el intento de mimetizarse con Windows 8, es difícil calificarlo de poco más que eso, intento (es una opinión subjetiva, como no podía ser de otra forma). El panel inferior de publicidad tampoco ayuda a mejorar la impresión. avast! Dejamos para el final el más popular, y es que avast! es el antivirus que más escudos de protección -hasta ocho- ofrece de manera gratuita. Junto con su gran tasa de detección, el conjunto es una protección completa y bastante confiable. Aunque los tiempos de los falsos positivos parecen haber quedado atrás, justamente tanta protección hace de avast! la solución más pesada de todas en cualquier situación. Tanta protección adicional, se paga. Conviene aclarar que todos los antivirus gratuitos suelen ser versiones capadas en características de sus versiones de pago, valga la redundancia, y muchas de las características que se pueden observar solo están ahí para recordarte que solo pagando obtienes la versión más completa (en este aspecto, Panda es el más comedido). Sea como fuere, cualquiera de las alternativas descritas en su versión gratuita proporcionará al usuario común una seguridad eficiente. Para realizar esta pequeña lista me he basado en mi experiencia personal probando cada antivirus un mínimo de dos semanas. En otras palabras, se trata tan solo de una simple recomendación. Si tienes interés en el tema, la comparativa de antivirus gratis de Softonic, publicada el pasado diciembre, puede ayudarte a orientarte con más datos.
Cuando asistimos a un concierto en directo, muy pocas veces somos conscientes de la cantidad de personas y artilugios que son necesarios para que todo funcione y suene correctamente. A un profano del mundo musical casi siempre le basta con mirar a su artista favorito mientras canta o toca, pero ese acto de emisión sonora solo es el comienzo de un complicado proceso que lleva dicho sonido (y todos los demás que se producen en el escenario) hasta sus oídos y los del resto de espectadores. En este artículo voy a tratar de explicar los aspectos más básicos del sistema de refuerzo de sonido de un concierto convencional, sin entrar en demasiados detalles técnicos, y aclarando algunos de los tecnicismos y conceptos más utilizados por los profesionales. Para ello, comenzaré reconociendo que yo no soy un profesional del sonido, y que seguramente muchos podréis corregir, mejorar o ampliar este artículo. Si es así, estaré encantado de que aportéis vuestro granito de arena. Aún así, espero que alguien lo encuentre interesante, y que sirva para aclarar dudas que yo mismo me planteaba hasta hace bien poco. Una vez que el sonido se ha recogido convenientemente (microfonía, cajas de inyección, etc.) la señal resultante se envía al splitter, un aparato cuya única y sencilla función es la de duplicar (o triplicar, cuatriplicar,…) la señal que recibe de cada canal. O sea, por cada canal de entrada que llega al splitter, este genera -al menos- dos canales de salida exactamente iguales. Una “copia” de cada una de estas señales se envía a la mesa de mezclas principal a través de una manguera multipar, también conocida como snake. Además de los correspondientes envíos, estas mangueras cuentan también con retornos para devolver la mezcla final al escenario, y de ahí a la PA. La FOH. La mesa de mezclas principal se encuentra en el control, también conocido como FOH (Front Of the House), un nombre que describe muy bien su ubicación: enfrente “de casa” (del escenario). Desde allí, el técnico de sonido realiza la mezcla principal para la PA (Public Address), que es la parte del sistema de refuerzo sonoro dedicado a la escucha del público (los altavoces que nos permiten escuchar un concierto cuando asistimos como público). Este técnico es el encargado de ecualizar cada una de las señales que llegan hasta su mesa, y luego mezclarlas para que los volúmenes estén compensados entre sí. Básicamente es el responsable de que el concierto “suene bien” o el culpable de que “suene mal”. Algo que muy pocos profanos de este mundillo conocen es que hay otro técnico de sonido cuya labor es vital para el buen desarrollo de un concierto, y al que muy difícilmente podemos ver durante el mismo, ya que su lugar de trabajo se encuentra en uno de los laterales del escenario. Me refiero al técnico de monitores. Hasta su herramienta de trabajo, la mesa de monitores, llegará la segunda señal duplicada por el splitter. De este modo, cada uno de los técnicos del evento cuenta con una señal independiente para tratar a su gusto. Si el splitter nos brinda otra tercera “copia” de la señal, esta podría -por ejemplo- dirigirse a una mesa de grabación. Según el destino que le vayamos a dar a la señal que llega a una mesa (PA, monitores, grabación,…) necesitará una ecualización y una mezcla diferentes, de ahí la necesidad de contar con varias señales independientes de cada canal. Los monitores. Como acabamos de ver, en el escenario, generalmente en uno de los laterales, hay otro técnico de sonido cuyo trabajo es fundamental para el buen desarrollo de un concierto: el técnico de monitores. Los monitores son unos pequeños altavoces en forma de cuña (wedges) que están repartidos por el escenario, y a través de los cuales unos músicos escuchan a los otros. Es lógico pensar que si los componentes de una banda no se pueden escuchar entre sí, difícilmente podrán tocar todos a la vez y de manera coordinada o concertada. Estos monitores se complementan con otros colocados en los laterales, llamados side-fills. Estos se suelen colocar elevados, de manera que cubran una zona mayor del escenario, y su mezcla es una referencia general que puede servir para varios músicos a la vez, en contraposición con la mezcla de los wedges, que está personalizada para un músico en concreto. Hay otro tipo de monitores llamado drum-fills, con una directividad mayor de lo normal, y que están diseñados específicamente para proporcionar una buena referncia a los baterías. Últimamente se utiliza cada vez más el sistema in-ear que, como su propio nombre indica, se coloca en las orejas. Suele ser una pequeña petaca individual con un receptor inalámbrico que recibe la mezcla personalizada desde la mesa de monitores, y que el músico eschucha con la ayuda de unos cascos o auriculares. La mezcla de los monitores es una tarea compleja, ya que no depende del gusto del propio técnico, sino que éste debe lograr que cada músico escuche por su monitor la mezcla de referencia que desee, algo muy difícil de satisfacer. Por ejemplo, si yo soy el trombonista de una banda, y siempre desde un punto de vista muy personal, le puedo indicar al técnico de monitores que a través de mi monitor quiero escuchar lo siguiente: Necesito escuchar la voz de la cantante solista. (Esa necesitáis escucharla todos, listillo.) De la batería sólo quiero escuchar el bombo y la caja, nada más. (Pues dile al batería que toque mucho más piano, porque seguro que lo escuchas hasta sin monitores.) Quiero escuchar bien el piano y el bajo, pero las guitarras solamente un poco (Espera, que voy a buscar en el diccionario la definición de “un poco”.) La trompeta no la quiero escuchar, porque la tengo justo a mi lado, pero el saxo sí, ya que está más alejado y necesito tenerlo presente. (¿Qué será lo que entiende este tío por “tenerlo presente”?) Mi propio sonido lo quiero escuchar, pero no demasiado. Además, creo que estoy un poco grave. (Si, a punto de morirte, gilipollas. ¡Venga, termina ya que no tengo toda la tarde!) Mejor, mucho mejor. Ahora está mejor ecualizado. (He hecho como giraba un par de potenciómetros, sin tocar nada, y al memo éste le parece que ahora suena diez veces mejor. O soy un genio, o este tío se cree mierda y no llega ni a pedo.) Estas serían unas hipotéticas primeras indicaciones que se le pueden dar al técnico de monitores durante la prueba de sonido, aunque después se suelen ir corrigiendo a lo largo de la misma con expresiones del estilo: “Dame más piano y quítame bombo, que me voy a volver loco”. Ahí reside la mayor dificultad del trabajo de un técnico de monitores, en contraposición con el técnico de sonido de la mesa de mezclas principal. Mientras que éste último solamente realiza una mezcla retocando a su gusto lo que escucha por la PA, el técnico de monitores tiene que realizar una mezcla diferente para cada monitor (que pueden ser muchos), y siempre según el gusto y las indicaciones de cada músico, ya que ni él decide cómo debe ser esa mezcla, ni tampoco escucha el monitor desde su mesa; se debe guiar por las indicaciones de cada músico. Y hay que ver lo raritos que pueden llegar a ser algunos… Además, la cercanía de los micrófonos a los monitores favorece los temidos acoples (feedback o realimentación), lo que dificulta más todavía la labor del técnico de monitores. En los últimos años, y con la llegada de nuevos gadgets tecnológicos, el trabajo de estos técnicos se ha facilitado bastante. Ahora, por ejemplo, es muy frecuente ver a los técnicos de monitores ir micro por micro y monitor por monitor haciendo la mezca “in situ” en lugar de hacerla desde la propia mesa. Así él mismo puede escuchar lo que suena por cada monitor e ir ecualizando y mezclando de una manera más acertada, sin tener que fiarse únicamente de su instinto. ¿Que cómo se puede hacer esto? Pues basta con tener un iPad conectado vía WiFi con la mesa de mezclas (suele hacer falta un router WiFi conectado a ésta) y la aplicación correspondiente para poder controlarla desde el iPad y de manera remota. Todo un sueño cumplido para los técnicos de monitores que , aún así siguen teniendo la difícil tarea de ecualizar y mezclar según el gusto personal de cada componente de la banda. La PA. Como ya he apuntado antes, la PA es la parte del sistema de refuerzo sonoro dirigido al público o para que escuche el público. Aunque hay de diversos tipos de altavoces, los más utilizados en grandes eventos son los denominados line array (arreglo lineal), ya que “escupen” el sonido de manera muy direcional, y nos permiten controlar más o menos la cantidad de sonido que queremos hacer llegar a cada zona del recinto, evitando además las temidas cancelaciones de fase. Esta direccionalidad viene dada porque en lugar de generar ondas esféricas, como los altavoces tradicionales, los line array generan ondas [ casi ] cilíndricas (o , al menos, eso prometen los fabricantes, aunque físicamente es imposible). Aprovechando esta y otras características de los line array, al ensamblar varias unidades podemos conseguir que el conjunto se comporte [ casi ] como una única fuente sonora. Esta es, en resumen, la principal diferencia con los sistemas convencionales. En cuanto a la potencia de los altavoces, si bien tradicionalmente se ha venido estimando según los watios de cada caja acústica, hoy en día la potencia de un altavoz se mide según su SPL (Sound Pressure Level), o el nivel máximo de presión sonora que es capaz de generar dicho altavoz, medido siempre a una distancia de un metro desde la membrana, y expresado en dB (decibelios). Llegados a este punto, conviene aclarar que los dB no son una medida lineal, sino que son una medida referencial y logarítmica. La referencia de partida (0 db) es el umbral de audición, la intensidad mínima de sonido capaz de impresionar el oído humano, y equivale a unos 20 micropascales. A partir de ahí, cada incremento de 3 dB supone multiplicar por dos la potencia sonora. Por ejemplo, si tengo un altavoz que me proporciona 100 dB, al añadir otro altavoz de iguales características (duplicamos la fuente sonora) el resultado total no son 200 dB, sino 103 dB. El SPL máximo que suelen tener los altavoces profesionales supera los 140 dB (suficiente para dejarte sordo de por vida), aunque debido a la propagación del sonido como frente de ondas esféricas, y según la ley de la inversa de los cuadrados, cada vez que doblamos la distancia a la fuente sonora tenemos una atenuación de 6 dB. Otra de las ventajas de los line array frente a los sistemas tradicionales, debido a que sus ondas son cilíndricas y no esféricas (o casi, como ya he comentado anteriormente), es que dicha atenuación no es de 6 dB, sino que solamente es de 3 dB. Esto nos proporciona el doble de rendimiento (no porque 6 sea el doble de 3, sino porque la diferencia entre ambos es de 3 dB). Ya por último, para terminar de enumerar las virtudes más importantes de los sistemas line array, hay que hablar sobre su alta direccionalidad. Mientras que un altavoz normal emite su sonido en un ángulo de 100º horizontal y 60º vertical (por poner un ejemplo real de un altavoz profesional, aunque estos valores pueden variar significativamente), los sistemas line array tienen una cobertura horizontal amplia (entre 100º y 120º), que consiguen cambiando la orientación de los conos dentro de la caja acústica, pero a su vez presentan una directividad vertical muy pequeña (± 20º). Los line array, en lugar de colocarse sobre el escenario o sobre torres auxiliares como los sistemas tradicionales, se suelen “volar” (colgar) de un truss (estructura metálica) con ayuda de una grúa o un elevador, aunque los altavoces subgraves (específicos para la reproducción de las frecuencias más bajas), sí que se suelen colocar en el suelo, generalmente debajo o delante del escenario. Los sistemas de volado colocan los altavoces lo más juntos posible (para que no queden zonas vacías de sonido), y permiten controlar la inclinación de cada altavoz. Esto nos permite, aprovechando su direccionalidad, agrupar y disponer los altavoces de manera que tengamos varios tiros: cada caja cubre una determinada zona del público. Las cajas superiores, orientadas hacia el frente, cubrirán las zonas más lejanas. Cuanto más abajo esté situada una caja en la configuración del sistema, mayor inclinación tendrá, y de este modo cubrirá las zonas más cercanas. Cuentan que los Beatles dejaron de hacer conciertos en directo porque no sonaban con la misma calidad que en sus discos. La razón no es, como algún malpensado puede creer, que ellos tuvieran dificultades técnicas para ejecutar algunos de los temas más difíciles, sino que los equipos de refuerzo sonoro de por aquél entonces no tenían la calidad y las cualidades que ellos necesitaban. Los equipos de PA no eran lo suficientemente potentes como para brindar una buena escucha a un público que era cada vez mucho más numeroso. Además, los sistemas de monitoraje eran por aquél entonces inexistentes, de modo que apenas podían escucharse entre ellos durante los conciertos, con la consiguiente dificultad para interpretar sus temas satisfactoriamente. Prefirieron no dar conciertos, antes que hacerlo mal. Una sabia decisión que también no podemos aplicar hoy en día: si no cuentas con el equipo necesario, no te subas a un escenario.
Accesos: El acceso principal tanto General como VIP estará ubicado en la intersección de Av. Dellepiane y Benito Correa. El mismo será vehicular y peatonal. También será el primer punto de control de tickets, VIPs y acreditaciones. En la boletería señalizada, se realizará venta de tickets y venta de Parkings (con capacidad limitada). Las puertas abrirán a las 20:00 hs el día martes 19, y a las 16:00 hs el día sábado 23. Recordá llegar temprano para disfrutar el festival. Los accesos VIPs y Generales estarán debidamente señalizados en el predio. Por favor seguir las instrucciones. Si vas en auto, recomendamos tomar los caminos indicados en el mapa (ver más abajo), tener a mano las entradas de todos los ocupantes del auto, ya que esto es obligatorio para el ingreso con vehículos. Sugerimos evitar desvíos y tener paciencia a posibles demoras en los ingresos. El predio cuenta conun estacionamiento general, con capacidad limitada de vehículos. Para asegurarte conseguir un espacio, podés comprarlo anticipadamente por Ticketek. Si vas en grupo de amigos, recomendamos la contratación de transporte privado para agilizar el ingreso. Importante: el festival es solamente para mayores de 18 años. Se realizará unestricto control de documentos en las puertas de ingreso. Llevá DNI o CI que acredite que sos mayor de 18 años. No se admitirán fotocopias, certificados provisorios, documentos ilegibles, etc. Se realizará un estricto control personal en el ingreso. No estará permitido el ingreso con bengalas y pirotecnia, aerosoles (desodorantes u otros), artículos de vidrio, paraguas o cualquier otro objeto que ponga en riesgo tu seguridad y la de otros.No está permitido ingresar con comida, bebidas y cámaras fotográficas / filmadoras profesionales. El evento cuenta con un sistema de seguridad y prevención a cargo de la Prefectura Naval Argentina, la Policía Federal Argentina y Agencias de Seguridad Privada, dentro y fuera del predio del festival. El show no se suspende por lluvia. Mapa de Servicios del Predio

La ciencia ha logrado desentrañar una serie de misterios sorprendentes acerca del cuerpo humano, que muchos desconocen. El portal Yahoo! Health publicó una columna de la especialista Lisa Collier Cool, quien enumeró algunas de estas curiosidades. 1. La salud del corazón está directamente relacionada con los lóbulos de las orejas Un estudio realizado en 1992 determinó que quienes tienen un pliegue diagonal en el lóbulo de la oreja eran mucho más propensos a tener enfermedad arterial coronaria (CAD, por sus siglas en inglés). De hecho, este indicador tuvo una precisión de 94% en la predicción de pacientes que tenían CAD, lo que llevó a los investigadores a sugerir que esta señal se podría utilizar para ayudar a identificar a los pacientes en riesgo. Otros estudios además han vinculado las líneas del lóbulo de la oreja al riesgo de muerte súbita cardíaca en los hombres. 2. El bostezo es contagioso, pero no tanto en el verano Ver a otras personas bostezando, incluso en fotos, puede hacerte bostezar. Sin embargo, un estudio realizado en 2011 con 80 participantes demostró que el bostezo contagioso por imágenes sólo pasa un 24% de las veces en el verano y en invierno un 45%. Según los especialistas, al parecer el bostezo enfría el cerebro, así que la temperatura exterior hace una gran diferencia en torno a este impulso. Los científicos informan que éste también nos ayuda a mantenernos alerta, pues las tareas mentales más difíciles literalmente calientan nuestro cerebro, y el bostezo ayuda a disminuir la temperatura. 3. El órgano más grande del cuerpo es del tamaño de 6 canchas de tenis, pero tiene sólo una célula de espesor Se trata del endotelio, el recubrimiento interior de los más de 60.000 kilómetros de vasos sanguíneos del cuerpo. A este tejido se le llama “el cerebro de las arterias”, ya que actúa como una barrera inteligente para controlar qué sustancias pueden pasar de la sangre a la pared arterial. El endotelio también hace “decisiones ejecutivas” como la liberación de moléculas que ayudan a regular la presión arterial, combatir las enfermedades, controlar la coagulación de la sangre. 4. Hay personas que sienten sabores al escuchar palabras En la mayoría de las personas, el gusto, el oído y la visión están claramente separados, pero aquellos con una rara condición llamada sinestesia existe una difuminación de sus experiencias sensoriales. Pueden realmente experimentar sabores al escuchar palabras, mientras que otros oyen sonidos al ver ciertos colores. Los científicos aún trabajan para entender cómo la sinestesia afecta al cerebro. 5. Puedes oler el miedo, literalmente Una investigación financiada por DARPA (U.S. Defense Advanced Research Projects Agency) muestra que existen diferentes feromonas (sustancias químicas detectables) del olor axilar que son perceptibles cuando las personas tienen miedo. Para determinar esta situación, los investigadores pusieron almohadillas absorbentes en las axilas a 20 personas justo después de que corrieran en una máquina de gimnasio, y luego justo antes de que estuvieran a punto de dar un salto en paracaídas por primera vez. Un grupo de voluntarios fue capaz de distinguir entre los dos tipos de sudor, y algunas áreas del cerebro reaccionaban más al sudor del paracaidismo que el de la máquina caminadora. 6. El olor de las lágrimas de las mujeres reducen la excitación sexual de los hombres Un estudio publicado en la revista Science demostró que las lágrimas tienen una sustancia química detectable por otros. En este sentido, determinaron que un grupo de hombres que olió lágrimas femeninas encontró menos atractivas a las mujeres que aparecían en una serie de fotografías y estaban menos excitados sexualmente, que quienes no estuvieron en contacto con el fluido.
La lucha por las patentes es pan de cada día entre compañías que claman ser dueñas intelectuales de tecnologías que otras utilizan sin permiso, algo que se ejemplifica a la perfección cuando revisamos la actual batalla campal que hay entre Apple y Samsung. Sin embargo, esta vez podría tocarnos a todos, simples mortales, sufrir las consecuencias por esta clase de actos, ya que una compañía de Estados Unidos llamada Innovatio IP Ventures dice ser dueña de patentes relacionadas con el Wi-Fi, por lo que estamos todos metidos.Resulta que estas ideas habrían sido gestadas durante la década entre 1990 y 2000 por dos personas: Robert Meier y Ronald Mahany. Estos personajes trabajaban para Broadcom y luego sus patentes pasaron de mano en mano hasta llegar, el 28 de febrero de este año, al regazo de Innovatio IP Ventures. Y lo primero que ellos hicieron con el documento fue demandar a varias corporaciones por el uso de Wi-Fi, algo que motivó la reacción de Motorola y Cisco en la corte, quienes reclamaron con la intención de invalidar la patente, algo que aún sigue pendiente.Mientras tanto, en Innovatio continuaron con las demandas, aunque a menor escala, pues durante este mes se hicieron seis movimientos legales en contra de varias empresas más pequeñas que Cisco o Motorola, lo que incluye, según información incompleta, varias cadenas de hoteles en Estados Unidos, cafeterías y tiendas de retail, a las cuales se les están pidiendo sumas de dinero de hasta $5 mil dólares para abandonar el caso y dejarlos tranquilos.¿Qué hay de los hogares de cada familia? Los abogados de Innovatio dicen que “por el momento” no se hará nada en contra de este segmento, aunque hasta el momento ya son más de trece las demandas que hay en todo el país del norte por esta licencia. ¿Tendrán éxito? ¿Será válida la licencia? ¿Es el fin del Wi-Fi? Habrá que esperar el desarrollo de la contra-demanda de Motorola y Cisco, que en este caso, juega a nuestro favor.
El mes pasado Intel lanzó su microprocesador Core i7-3960X, el primer chip basado en el núcleo Sandy Bridge-E, al impresionante precio de $999, y esta vez es el turno de sus 2 hermanos menores: Core i7-3930K ($583) y Core i7-3820 ($294).Core i7-3930K posee 6 núcleos funcionando a 3.2GHz (a 3.8GHz en modo Turbo Boost), gracias a su tecnología HyperThreading es capaz de ejecutar 12 hilos de procesamiento simultáneamente, tiene un TDP de 130W, y un precio sugerido de $555 (aunque por el momento no es posible encontrarlo a precios inferiores a los $583). Core i7-3820 posee 4 núcleos funcionando a 3.6GHz (a 3.9GHz en modo Turbo Boost), gracias a su tecnología HyperThreading es capaz de ejecutar 8 hilos de procesamiento simultáneamente, su TDP es de 130W, y actualmente está disponible a precios desde los $294. Ambos microprocesadores poseen un controlador de memoria integrado DDR3-1600 con soporte al modo cuádruple canal.Sin mayor preámbulo aquí algunos de los test realizados por los de Tom´s Hardware:Core i7-3930K mostró ser una gran opción a un precio ligeramente inferior a los $600, mientras que el económico Core i7-3820 también se impuso ante el Core i7-2600K, y aunque tiene un precio inferior al del 2600K, también hay que mencionar que su consumo es mayor, y las tarjetas madre compatibles son más costosas, factor que termina eliminando esta aparente ventaja en el precio, pero que de seguro no importará para muchos usuarios exigentes. Les recomendamos leer el review completo de Tom´s Hardware.

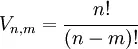
Curiosa pregunta la que titula este post y probablemente para mucha gente también sea curioso que la respuesta a la misma se pueda encontrar en las Matemáticas. Pues es así. Vamos con la teoría correspondiente y dejemos la pregunta para el final: Combinatoria La combinatoria es una rama de las Matemáticas que básicamente se encarga de estudiar cuántos grupos pueden formarse con un cierto número de objetos atendiendo a determinados criterios. Como esta definición puede no ser demasiado clara vamos a poner un par de ejemplos: - ¿Cuántos números de 5 cifras pueden formarse con los números del 1 al 9? - ¿Cuántas manos posibles de mus pueden darse? (Cada mano de mus consta de 4 cartas) La combinatoria se encarga de determinar esos números. En este tipo de problemas existen dos elementos fundamentales que van a ser determinantes a la hora de elegir la fórmula adecuada: si importa el orden en el cual van apareciendo los objetos y si puede existir repetición de los mismos. En la situación planteada en la primera pregunta anterior vemos que importa el orden en el que aparecen los números (ya que si cambio de lugar dos cifras de un número de 5 cifras el número obtenido es distinto al que tenía al principio) y puede haber repetición de elementos (las cifras pueden repetirse en un mismo número). En la situación planteada en la segunda pregunta vemos que no importa el orden (da igual en qué orden me lleguen las cartas, lo importante es la mano que llevo, es decir, el conjunto de 4 cartas) y no hay repetición de elementos (no puedo tener la misma cartas 2 veces). Pueden darse todos los casos posibles: importa orden y no hay repetición, importa orden y sí hay repetición, no importa orden y hay repetición y no importa orden y sí hay repetición. Como acabamos de ver en un problema de combinatoria tendremos dos números: elementos a elegir y elementos que forman la agrupación. La mejor manera de interpretar esto es considerar los elementos a elegir como objetos que podemos que colocar y los elementos que forman cada agrupación como huecos que tenemos que rellenar. Así en el ejemplo de los números de 5 cifras tendremos 9 objetos que podemos colocar (1,2,…,9) y 5 huecos a rellenar (cada una de las cifras del número); y en el ejemplo del mus tendremos 40 objetos que podemos colocar (las 40 cartas de la baraja española) y 4 huecos a rellenar (las 4 cartas que forman una mano de mus). Veamos a continuación qué tipo de agrupaciones podemos encontrar y cómo contarlas: Variaciones - Se llaman variaciones ordinarias o sin repetición de n elementos tomados de m en m a las diferentes agrupaciones que con ellos se pueden formar de tal modo que cada agrupación contenga m elementos distintos y que dos agrupaciones se diferencien bien en alguno de sus elementos o bien en el orden de colocación de los mismos. Es decir, en las variaciones sin repetición importa el orden y no hay repetición de elementos. El número de variaciones de n elementos tomados de m en m viene dado por la siguiente fórmula: Por ejemplo, si queremos saber cuántos números de 5 cifras podemos forman con los números del 1 al 9 con la condición de que no se repita ninguna cifra debemos utilizar esta fórmula. El resultado sería: - Se llaman variaciones con repetición de n elementos tomados de m en m a las diferentes agrupaciones que con ellos se pueden formar de tal modo que cada agrupación contenga m elementos y que dos agrupaciones se diferencien bien en alguno de sus elementos o bien en el orden de colocación de los mismos. Es decir, en las variaciones con repetición importa el orden y sí puede haber repetición de elementos. El número de variaciones con repetición de n elementos tomados de m en m es: Por ejemplo, si queremos saber cuántas posibles columnas puedo rellenar en la quiniela utilizaremos esta fórmula. Tendremos 3 objetos a colocar (1X2) y 15 huecos a rellenar (cada una de las casillas). El resultado es: Permutaciones - Se llaman permutaciones ordinarias o sin repetición de n elementos a las variaciones de estos n elementos tomados de n en n, es decir, a los distintas agrupaciones que podemos formar con todos ellos. Dos permutaciones sin repetición se diferencian en el orden de sus elementos. Por tanto, en las permutaciones sin repetición importa el orden y no hay repetición de elementos. El número de permutaciones sin repetición de n elementos se deduce fácilmente de la fórmula de las variaciones sin repetición y es: Por ejemplo, si queremos saber de cuántas formas podemos sentar a 6 personas en 6 sillas utilizaremos esta fórmula. El resultado es: - Se llaman permutaciones con repetición de n elementos donde el primero se repite a veces, el segundo b veces,…,el último k veces (a+b+…+k=n) a las distintas agrupaciones que podemos formar de modo que en cada una de ellas el primer elemento se repita a veces, el segundo b veces,…,el último k veces y que dos agrupaciones se diferencien únicamente en el orden de colocación de los elementos. Por tanto, en las permutacion con repetición importa el orden y sí hay repetición de elementos. El número de permutaciones con repetición de n elementos donde el primero se repite a veces, el segundo b veces,…,el último k veces (a+b+…+k=n) es el siguiente: Por ejemplo, si queremos saber cuántas palabras podemos formar con las letras de la palabra MATEMATICAS utilizaremos esta fórmula. En este caso tenemos 11 objetos a colocar (las 11 letras) y uno que repite 3 veces (A), dos que se repiten 2 veces (M y T) y cuatro que se repiten una ves (E, I, C y S). El resultado es: Combinaciones - Se llaman combinaciones ordinarias o sin repetición de n elementos tomados de m en m a las agrupaciones de m elementos que podemos formar con los n de que disponemos. Dos combinaciones son distintas sólo si difieren en algún elemento. Por tanto en las combinaciones sin repetición no importa el orden y no hay repetición. El número de combinaciones sin repetición de n elementos tomados de m en m es: Por ejemplo, en la primitiva podemos elegir el siguiente número de combinaciones distintas: -Se llaman combinaciones con repetición de n elementos tomados de m en m a las agrupaciones de m elementos iguales o distintos que se pueden formar con los n de que disponemos. Dos combinaciones con repetición son distintas sólo si difieren en alguno de sus elementos. Por tanto en las combinaciones con repetición no importa el orden y sí puede haber repetición de elementos. El número de combinaciones con repetición de n elementos tomados de m en m es: Por ejemplo, si queremos saber de cuántas formas podemos colocar 7 anillos idénticos en 4 dedos de una mano utilizaremos esta fórmula. En este caso, como nos tenemos que poner los 7 anillos y todos son iguales, los objetos a colocar serán los dedos y los huecos a rellenar serán los anillos (si lo hiciéramos al revés quedarían anillos sin poner). El resultado sería: ¿Cuantos Videos se Pueden Subir a YouTube? Después de la necesaria teoría vamos a responder a la pregunta que se formula en el título de post. Para ello vamos a tener en cuenta la forma que tiene un enlace a un vídeo de Youtube: http://www.youtube.com/watch?v={ID del vídeo}. Esa ID consta de 11 caracteres que pueden ser letras minúsculas, letras mayúsculas, números del 0 al 9, guión y guión bajo (creo que no hay más posibilidades; si estoy equivocado comentadlo). Es decir, tenemos 26+26+10+1+1=64 objetos donde elegir y 11 huecos que rellenar. En este caso importa el orden de colocación de cada uno de los elementos y puede haber repetición de los mismos. Por tanto, según todo lo comentado anteriormente, debemos utilizar variaciones con repetición de 64 elementos tomados de 11 en 11. El resultado de esta operación es el siguiente: 73.786.976.300.000.000.000 Como pueden ver es una cantidad realmente considerable. No sé cuántos llevarán ya, pero seguro que queda mucho tiempo para que las ID’s se les terminen.
Es cierto que Google Maps tiene casi todo el planeta registrado, a través de planos de calles o fotos satelitales. Pero por algunos motivos, ciertos lugares aparecen como manchas o borrones. “Las imágenes aéreas y satelitales de Google Earth proceden de una amplia gama de fuentes comerciales y públicas. Los proveedores de estás imágenes están obligados a cumplir con la ley de los países en los que operan, por lo que algunos de ellos pueden distorsionarlas”, explicó Deanna Yick, portavoz de Google a Mashable. Esta es una lista de 10 lugares censurados: El Palacio Real de Amsterdam, en Holanda La base militar de Vlissingen, también en Holanda El Aeropuerto Internacional Buffalo Niagara, en Nueva York El Parque Nacional Tantauco, en Chile Lugar en la tundra siberiana de Rusia no se sabe qué hay que causara que aparezca borroso Aérea del embalse Keowee Dam en Carolina del Sur, Estados Unidos El Aeropuerto Minami Torishima, en Japón Utilizado por las Fuerzas Aéreas de Defensa. El edificio Michael Aaf, en Utah, Estados Unidos. Está en una zona ocupada por el Ejército para probar armas biológicas y químicas. La planta de energía del campus de la Universidad de Cornell, en Ithaca EE.UU. Las instalaciones generan electricidad a partir del gas natural. Babilonia, Irak. borrado por razones de seguridad.