La corriente eléctrica
Lo que conocemos como corriente eléctrica no es otra cosa que la circulación de cargas o electrones a través de un circuito eléctrico cerrado, que se mueven siempre del polo negativo al polo positivo de la fuente de suministro de fuerza electromotriz (FEM).
En un circuito eléctrico cerrado la. corriente circula siempre del polo. negativo al polo positivo de la. fuente de fuerza electromotriz. (FEM),
Quizás hayamos oído hablar o leído en algún texto que el sentido convencional de circulación de la corriente eléctrica por un circuito es a la inversa, o sea, del polo positivo al negativo de la fuente de FEM. Ese planteamiento tiene su origen en razones históricas y no a cuestiones de la física y se debió a que en la época en que se formuló la teoría que trataba de explicar cómo fluía la corriente eléctrica por los metales, los físicos desconocían la existencia de los electrones o cargas negativas.
Al descubrirse los electrones como parte integrante de los átomos y principal componente de las cargas eléctricas, se descubrió también que las cargas eléctricas que proporciona una fuente de FEM (Fuerza Electromotriz), se mueven del signo negativo (–) hacia el positivo (+), de acuerdo con la ley física de que "cargas distintas se atraen y cargas iguales se rechazan". Debido al desconocimiento en aquellos momentos de la existencia de los electrones, la comunidad científica acordó que, convencionalmente, la corriente eléctrica se movía del polo positivo al negativo, de la misma forma que hubieran podido acordar lo contrario, como realmente ocurre. No obstante en la práctica, ese “error histórico” no influye para nada en lo que al estudio de la corriente eléctrica se refiere.
Requisitos para que circule la corriente eléctrica
Para que una corriente eléctrica circule por un circuito es necesario que se disponga de tres factores fundamentales:
1. Fuente de fuerza electromotriz (FEM). 2. Conductor. 3. Carga o resistencia conectada al circuito. 4. Sentido de circulación de la corriente eléctrica.
1.....................Una fuente de fuerza electromotriz (FEM) como, por ejemplo, una batería, un generador o cualquier otro dispositivo capaz de bombear o poner en movimiento las cargas eléctricas negativas cuando se cierre el circuito eléctrico.
2.....................Un camino que permita a los electrones fluir, ininterrumpidamente, desde el polo negativo de la fuente de suministro de energía eléctrica hasta el polo positivo de la propia fuente. En la práctica ese camino lo constituye el conductor o cable metálico, generalmente de cobre.
3.....................Una carga o consumidor conectada al circuito que ofrezca resistencia al paso de la corriente eléctrica. Se entiende como carga cualquier dispositivo que para funcionar consuma energía eléctrica como, por ejemplo, una bombilla o lámpara para alumbrado, el motor de cualquier equipo, una resistencia que produzca calor (calefacción, cocina, secador de pelo, etc.), un televisor o cualquier otro equipo electrodoméstico o industrial que funcione con corriente eléctrica.
Cuando las cargas eléctricas circulan normalmente por un circuito, sin encontrar en su camino nada que interrumpa el libre flujo de los electrones, decimos que estamos ante un “circuito eléctrico cerrado”. Si, por el contrario, la circulación de la corriente de electrones se interrumpe por cualquier motivo y la carga conectada deja de recibir corriente, estaremos ante un “circuito eléctrico abierto”. Por norma general todos los circuitos eléctricos se pueden abrir o cerrar a voluntad utilizando un interruptor que se instala en el camino de la corriente eléctrica en el propio circuito con la finalidad de impedir su paso cuando se acciona manual, eléctrica o electrónicamente.
Intensidad de la corriente eléctrica
La intensidad del flujo de los electrones de una corriente eléctrica que circula por un circuito cerrado depende fundamentalmente de la tensión o voltaje (V) que se aplique y de la resistencia (R) en ohm que ofrezca al paso de esa corriente la carga o consumidor conectado al circuito. Si una carga ofrece poca resistencia al paso de la corriente, la cantidad de electrones que circulen por el circuito será mayor en comparación con otra carga que ofrezca mayor resistencia y obstaculice más el paso de los electrones.
Analogía hidráulica. El tubo del depósito "A", al tener un diámetro reducido, ofrece más resistencia a< la salida del líquido que el tubo del tanque "B", que tiene mayor diámetro. Por tanto, el caudal o cantidad. de agua que sale por el tubo "B" será mayor que la que sale por el tubo "A".
Mediante la representación de una analogía hidráulica se puede entender mejor este concepto. Si tenemos dos depósitos de líquido de igual capacidad, situados a una misma altura, el caudal de salida de líquido del depósito que tiene el tubo de salida de menos diámetro será menor que el caudal que proporciona otro depósito con un tubo de salida de más ancho o diámetro, pues este último ofrece menos resistencia a la salida del líquido.
De la misma forma, una carga o consumidor que posea una resistencia de un valor alto en ohm, provocará que la circulación de los electrones se dificulte igual que lo hace el tubo de menor diámetro en la analogía hidráulica, mientras que otro consumidor con menor resistencia (caso del tubo de mayor diámetro) dejará pasar mayor cantidad de electrones. La diferencia en la cantidad de líquido que sale por los tubos de los dos tanques del ejemplo, se asemeja a la mayor o menor cantidad de electrones que pueden circular por un circuito eléctrico cuando se encuentra con la resistencia que ofrece la carga o consumidor.
La intensidad de la corriente eléctrica se designa con la letra ( I ) y su unidad de medida en el Sistema Internacional ( SI ) es el ampere (llamado también “amperio”), que se identifica con la letra ( A ).
El ampére
De acuerdo con la Ley de Ohm, la corriente eléctrica en ampere ( A ) que circula por un circuito está estrechamente relacionada con el voltaje o tensión ( V ) y la resistencia en ohm (
) de la carga o consumidor conectado al circuito.
Definición de ampere
Un ampere ( 1 A ) se define como la corriente que produce una tensión de un volt ( 1 V ), cuando se aplica a una resistencia de un ohm ( 1
).
Un ampere equivale una carga eléctrica de un coulomb por segundo ( 1C/seg ) circulando por un circuito eléctrico, o lo que es igual, 6 300 000 000 000 000 000 = ( 6,3 · 10'18º ) (seis mil trescientos billones) de electrones por segundo fluyendo por el conductor de dicho circuito. Por tanto, la intensidad ( I ) de una corriente eléctrica equivale a la cantidad de carga eléctrica ( Q ) en coulomb que fluye por un circuito cerrado en una unidad de tiempo.
Los submúltiplos más utilizados del ampere son los siguientes:
miliampere ( mA ) = 10-3 A = 0,001 ampere
microampere ( mA ) = 10-6 A = 0, 000 000 1 ampere
Medición de la intensidad de corriente eléctrica o amperaje
La medición de la corriente que fluye por un circuito cerrado se realiza por medio de un amperímetro o un. miliamperímetro, según sea el caso, conectado en serie en el propio circuito eléctrico. Para medir. ampere se emplea el "amperímetro" y para medir milésimas de ampere se emplea el miliamperímetro.
La intensidad de circulación de corriente eléctrica por un circuito cerrado se puede medir por medio de un amperímetro conectado en serie con el circuito o mediante inducción electromagnética utilizando un amperímetro de gancho. Para medir intensidades bajas de corriente se puede utilizar también un multímetro que mida miliampere (mA).
..................................
..................................
Amperímetro de gancho...........................Multímetro digital..................................Multímetro analógico
El ampere como unidad de medida se utiliza, fundamentalmente, para medir la corriente que circula por circuitos eléctricos de fuerza en la industria, o en las redes eléctricas doméstica, mientras que los submúltiplos se emplean mayormente para medir corrientes de poca intensidad que circulan por los circuitos electrónicos.
Tipos de corriente eléctrica
En la práctica, los dos tipos de corrientes eléctricas más comunes son: corriente directa (CD) o continua y corriente alterna (CA). La corriente directa circula siempre en un solo sentido, es decir, del polo negativo al positivo de la fuente de fuerza electromotriz (FEM) que la suministra. Esa corriente mantiene siempre fija su polaridad, como es el caso de las pilas, baterías y dinamos.
............................
Gráfico de una corriente directa (C.D.) o continua (C.C.)..........Gráfico de la sinusoide que posee una corriente alterna (C.A.).
La corriente alterna se diferencia de la directa en que cambia su sentido de circulación periódicamente y, por tanto, su polaridad. Esto ocurre tantas veces como frecuencia en hertz (Hz) tenga esa corriente . A la corriente directa (C.D.) también se le llama "corriente continua" (C.C.).
La corriente alterna es el tipo de corriente más empleado en la industria y es también la que consumimos en nuestros hogares. La corriente alterna de uso doméstico e industrial cambia su polaridad o sentido de circulación 50 ó 60 veces por segundo, según el país de que se trate. Esto se conoce como frecuencia de la corriente alterna.
En los países de Europa la corriente alterna posee 50 ciclos o hertz (Hz) por segundo de frecuencia, mientras que los en los países de América la frecuencia es de 60 ciclos o hertz.
Otros datos
Aunque desde hace años el Sistema Internacional de Medidas (SI) estableció oficialmente como “ampere” el nombre para designar la unidad de medida del amperaje o intensidad de la corriente eléctrica, en algunos países de habla hispana se le continúa llamando “amperio”.
El ampere recibe ese nombre en honor al físico y matemático francés André-Marie Ampère (1775 – 1836), quién demostró que la corriente eléctrica, al circular a través de un conductor, producía un campo magnético a su alrededor. Este físico formuló también la denominada “Ley de Ampere”.
La corriente o intensidad eléctrica es el flujo de carga por unidad de tiempo que recorre un material. Se debe al movimiento de los electrones en el interior del material. En el Sistema Internacional de Unidades se expresa en C/s (culombios sobre segundo), unidad que se denomina amperio. Una corriente eléctrica, puesto que se trata de un movimiento de cargas, produce un campo magnético, un fenómeno que puede aprovecharse en el electroimán.
El instrumento usado para medir la intensidad de la corriente eléctrica es el galvanómetro que, calibrado en amperios, se llama amperímetro, colocado en serie con el conductor cuya intensidad se desea medir.
El término corriente eléctrica, o simplemente corriente, se emplea para describir la tasa de flujo de carga que pasa por alguna región de espacio. La mayor parte de las aplicaciones prácticas de la electricidad tienen que ver con corrientes eléctricas. Por ejemplo, la batería de una luz de destellos suministra corriente al filamento de la bombilla cuando el interruptor se conecta. Una gran variedad de aparatos domésticos funcionan con corriente alterna. En estas situaciones comunes, el flujo de carga fluye por un conductor, por ejemplo, un alambre de cobre. Es posible también que existan corrientes fuera de un conductor. Por ejemplo, una haz de electrones en el tubo de imagen de una TV constituye una corriente.
Resúmen
Siempre que se mueven cargas eléctricas de igual signo se establece una corriente eléctrica. Para definir la corriente de manera más precisa, suponga que las cargas se mueven perpendiculares a una superficie de área A, como en la figura 27.1. (Esta sería el área de la sección transversal de un alambre, por ejemplo.) La corriente es la tasa a la cual fluye la carga por esta superficie. Si Q es la cantidad de carga que pasa por esta rea en un intervalo de tiempo t, la corriente promedio, Ipro, es igual a la carga que pasa por A por unidad de tiempo:
Cargas en movimiento a través de un área A. La tasa de flujo de carga en el tiempo a través del área se define como la corriente I. la dirección de a la cual la carga positiva fluiría si tuviera libertad de hacerlo.
Si la tasa a la cual fluye la carga varía en el tiempo, la corriente también varía en el tiempo, y definimos a la corriente instantánea I como el límite diferencial de la ecuación:
La unidad de corriente del Sistema Internacional es el ampere (A).
Esto significa que 1ª de corriente es equivalente a 1C de carga que pasa por el área de la superficie en 1s.
Una sección de una conductor uniforme de área de sección transversal A. los portadores de carga se mueven con una velocidad vd y la distancia que recorren en un tiempo t esta dada por x = vdt. El número de portadores de cargas móviles en la sección de longitud x está dado por nAvdt , donde n es el nmero de portadores de carga móviles por unidad de volumen.
Las cargas que pasan por la superficie en la figura 27.1 pueden ser positivas negativas o de ambos signos. Es una convención dar a la corriente la misma dirección que la del flujo de carga positiva. En un conductor como el cobre la corriente se debe al movimiento de electrones cargados negativamente. Por lo tanto, cuando hablamos de corriente en un conductor ordinario, como un alambre de cobre, la dirección de la corriente es opuesta a la dirección del flujo de los electrones. Por otra parte, si se considera un haz de protones cargados positivamente en un acelerador, la corriente está en la dirección del movimiento de los protones. En algunos casos —gases y electrolitos, por ejemplo— la corriente es el resultado del flujo tanto de cargas positivas como negativas. Es común referirse a una carga en movimiento (ya sea positiva o negativa) como un portador de carga móvil. Por ejemplo, los portadores de carga en un metal son los electrones.
Es útil relacionar la corriente con el movimiento de partículas cargadas. Pan ilustrar este punto, considere la corriente en un conductor de área de sección transversal A (figura 27.2). El volumen de un elemento del conductor de longitud x (la regin sombreada en la figura 27.2) es A x. Si n representa el nmero de portadores de carga móvil por unidad de volumen, entonces el número de portadores de carga móvil en el elemento de volumen es nA Por lo tanto, la carga Q en este elemento es
Q= Nmero de cargas x carga por partícula = (nA x)q
Donde q es la carga en cada partícula. Si los portadores de cargas se mueven con una velocidad vd la distancia que se mueven en un tiempo t es x = vdt. En consecuencia, podemos escribir q en la forma
Q = (nAvdt)q
Si dividimos ambos lados de la ecuación por t, vemos que la corriente en el conductor está dada por
Fuentes de corriente eléctrica
La energía eléctrica apenas existe libre en la Naturaleza de manera aprovechable. El ejemplo más relevante y habitual de esta manifestación son las tormentas eléctricas. La electricidad tampoco tiene una utilidad biológica directa para el ser humano, salvo en aplicaciones muy singulares, como pudiera ser el uso de corrientes en medicina, resultando en cambio normalmente desagradable e incluso peligrosa, según las circunstancias. Sin embargo es una de las más utilizadas, una vez aplicada a procesos y aparatos de la más diversa naturaleza, debido fundamentalmente a su limpieza y a la facilidad con la que se la genera, transporta y convierte en otras formas de energía. Para contrarrestar todas estas virtudes hay que reseñar la dificultad que presenta su almacenamiento directo en los aparatos llamados acumuladores.
La generación se lleva a cabo mediante técnicas muy diferentes. Las que suministran las mayores cantidades y potencias de electricidad aprovechan un movimiento rotatorio para generar corriente continua en una dinamo o corriente alterna en un alternador. El movimiento rotatorio resulta a su vez de una fuente de energía mecánica directa, como puede ser la corriente de un salto de agua o la producida por el viento, o de un ciclo termodinámico. En este último caso se calienta un fluido, al que se hace recorrer un circuito en el que mueve un motor o una turbina. El calor de este proceso se obtiene mediante la quema de combustibles fósiles, reacciones nucleares y otros procesos.
La generación de energía eléctrica es una actividad humana básica, ya que está directamente relacionada con los requerimientos actuales del hombre. Todas la formas de utilización de las fuentes de energía, tanto las más habituales como las denominadas alternativas o no convencionales, agreden en mayor o menor medida el ambiente, siendo de todos modos la energía eléctrica una de las que causan menor impacto.
Las Fuentes de Corriente Eléctrica
Un generador químico: es considerado una pila en la cual la diferencia de potencial entre los polos es mantenida gracias a las reacciones químicas internas que son capaces de liberar energía que mantiene la diferencia de potencia.
Los Generadores Magnéticos: se basan en el hecho que cuando varia un campo magnético se produce un campo eléctrico y como consecuencia una corriente. Estos efectos fueron descubiertos por Michael Faraday y Joseph Henry, quienes observaron que la variar la magnitud de un campo magnético en una región cercana al conductor, aparece un campo eléctrico.
El Par Termoeléctrico: es un generador capaz de transformar calor en energía eléctrica. Un uso importante de este generador esta dada en medidas y regulación de la temperatura.
El Efecto Fotoeléctrico: es el fenómeno que ocurre cuando un rayo de luz incide sobre la superficie de un metal alcalino y éste es capaz de emitir electrones. Un dispositivo basado en este hecho es llamada célula fotoeléctrica, capaz de transformar energía radiante en energía eléctrica. Ella constituye el fundamento básico de los instrumentos o mecanismos regulados por la luz, tales como la televisión, el cien y el abrir y cerrar las puertas eléctricas.
El Efecto Piezoeléctrico: es el fenómeno que ocurre cuando hay aparición de cargas positivas y negativas al comprimir y dilatar ciertos cristales (cuarzo). Los generadores que son capaces de funcionar mediante este fenómeno, se caracterizan porque cuando son sometidos a presiones débiles, originan potenciales pequeños que pueden ser amplificados. Este tipo de generador es usado en micrófonos, tocadiscos y estabilizadores de frecuencia.
Intensidad de corriente eléctrica:
Una corriente eléctrica consiste en el flujo de partículas cargadas. Ésta definición es aplicable a los iones de cada solución electrolítica a los de un gas ionizado, o a los electrones de un conductor metálico. A fin de que se produzca una corriente eléctrica, debe aplicarse un campo eléctrico para mover las partículas cargadas que se desplazaran en una dirección determinada y realizando un trabajo o energía potencial eléctrica.
En un conductor metálico los portadores de carga son los electrones (-) por lo que su desplazamiento se producirá del extremo del conductor de menor potencial hacia el extremo de mayor potencial o en términos de signos desde el polo negativo hacia el positivo.
En una disolución salina los portadores de carga son iones (átomos o grupos de átomos con carga eléctrica) tanto positivos como negativos; cuando se somete dicha disolución a una diferencia de potencial constante como la producida entre los bornes de una pila, se generarán movimientos de carga de sentidos opuestos; las cargas positivas se desplazaran por la disolución del extremo de mayor potencial al de menor potencial o lo que es lo mismo, del polo positivo de la pila al polo negativo, y las negativas en sentido contrario.
Algo semejante sucede en un medio gaseoso ionizado como el que se produce en el interior de un tubo fluorescente o de neón sometido a una diferencia de potencial intensa.
Si en un tiempo T pasan N partículas, cada una con carga q a través de una sección del conductor, la carga total Q que ha pasado es: Q= N. q y la intensidad de la corriente es la cantidad de carga eléctrica (q) que pasa a través de una sección del área (A) de un conductor, por una unidad de tiempo T.
La intensidad de la corriente eléctrica es la cantidad de carga (q) que pasa por una sección del conductor en una unidad de tiempo (t).
Esta definición puede escribirse en forma de ecuación así:
En donde:
I: es la intensidad de de la corriente.
q: es la carga que pasa por la sección del conductor.
t: es el tiempo que tarda en pasar dicha carga.
Corriente continua
Representación de la tensión en corriente continua.
La corriente continua (c.c.) es el flujo continuo de electricidad a través de un conductor entre dos puntos de distinto potencial. A diferencia de la corriente alterna (c.a.), en este caso, las cargas eléctricas circulan siempre en la misma dirección del punto de mayor potencial al de menor potencial. Aunque comúnmente se identifica la corriente continua con la corriente constante (por ejemplo la suministrada por una batería), es continua toda corriente que mantenga siempre la misma polaridad.
Corriente alterna
Se denomina corriente alterna (abreviada CA en castellano y AC en inglés) a la corriente eléctrica en la que la magnitud y dirección varía cíclicamente, en oposición a la corriente continua, en la que la dirección (esto es que pasa por cero) siempre permanece constante.
La forma de onda de la corriente alterna más comúnmente utilizada es la de una onda senoidal, con lo que se consigue una transmisión más eficiente de la energía. Sin embargo, en algunas aplicaciones, se utilizan otras formas de onda, tales como la triangular o la cuadrada.
Conductividad eléctrica
La conductividad eléctrica es la capacidad de un medio o espacio físico de permitir el paso de la corriente eléctrica a su través. También es definida como la propiedad natural característica de cada cuerpo que representa la facilidad con la que los electrones pueden pasar por él. Varía con la temperatura. Es una de las características más importantes de los electrolitos en solución, ya que representa la capacidad de éstos para transportar la corriente eléctrica.
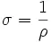
La conductividad es la inversa de la resistividad, por tanto
, y su unidad es el S/m (siemens por metro).
Conductividad en los Gases: en forma general los gases en condiciones ordinarias no son buenos conductores de la electricidad. Es ésta, la razón por la cual, un electroscopio permanece cargado durante mucho tiempo cuando se coloca un gas alrededor de su caja. Una vez ionizado el gas, las laminillas se cierran, porque existe una perdida o ganancia de electrones. De aquí se induce que la corriente eléctrica en los gases no es mas que el movimiento de iones positivos y negativos, además de electrones libres.
Conductividad en las disoluciones: las disoluciones, tales como las bases, las sales y los ácidos, se dice que son conductores de la electricidad llamándoles electrólitos. Las moléculas de esta sustancia se disuelven en dos partes electrizadas, una llamadas catines y la otra llamada aniones.
Conductividad en los metales: mientras en los líquidos y gases los transportadores de cargas son los átomos o grupos de átomos que han perdido su carga, en los metales no tienen libertad para moverse de un lugar a otro. Son los electrones libres los portadores de cargas por lo que podemos decir: la corriente en los metales esta constituida por los electrones libres en movimiento que se desplazan de un lugar a otro.
El Amperímetro: La corriente es una de las cantidades más importantes que uno quisiera medir en un circuito eléctrico. Se conoce como amperímetro al dispositivo que mide corriente. La corriente que se va a medir debe pasar directamente por el amperímetro, debido a que éste debe conectarse a la corriente. Los alambres deben cortarse para realizar las conexiones en el amperímetro.
El voltímetro: El voltímetro es un aparato que mide la diferencia de potencial entre dos puntos. Para efectuar esta medida se coloca en paralelo entre los puntos cuya diferencia de potencial se desea medir. La diferencia de potencial se ve afectada por la presencia del voltímetro. Para que este no influya en la medida, debe de desviar la mínima intensidad posible, por lo que la resistencia interna del aparato debe de ser grande.
Como rV es conocida, la medida de la intensidad I, permite obtener la diferencia de potencial. La resistencia serie debe de ser grande, para que la intensidad que circule por el voltímetro sea despreciable. Se puede cambiar de escala sin mas que cambiar la resistencia serie.
Un dispositivo que mide diferencias de potencial recibe el nombre de voltímetro
Resistencia y ley de OHM
Las cargas se mueven en un conductor para producir una corriente bajo la acción de un campo eléctrico dentro del conductor. Un campo eléctrico puede existir en el conductor en este caso debido a que estamos tratando con cargas en movimiento, una situación no electrostática.
Considere un conductor de área transversal A que conduce una corriente I. La densidad de corriente J en el conductor se define como la corriente por unidad de área. Puesto que la corriente I=nqvdA, la densidad de corriente es:
Donde J tiene unidades del Sistema Internacional A/m2. La expresión es válida sólo si la densidad de corriente es uniforme y sólo si la superficie del área de la sección transversal A es perpendicular a la dirección de la corriente. En general, la densidad de corriente es una cantidad vectorial:
A partir de esta definición, vemos otra vez que la densidad de corriente, al igual que la corriente, está en la dirección del movimiento de los portadores de carga negativa.
Una densidad de corriente J y un campo eléctrico E se establece en un conductor cuando se mantiene una diferencia de potencial a través del conductor. Si la diferencia de potencia es constante, la corriente también lo es. Es muy común que la densidad de corriente sea proporcional al campo eléctrico.
Donde la constante de proporcionalidad recibe el nombre de conductividad del conductor. Los materiales que obedecen la ecuación 27.7 se dice que cumplan la ley de Ohm, en honor de Simon Ohm (1787-1854). Más específicamente, la ley de Ohm establece que
En muchos materiales (incluidos la mayor parte de los metales), la proporción entre la densidad de corriente y el campo eléctrico es una constante, , que es independiente del campo eléctrico productor de la corriente.
Los materiales que obedecen la ley de Ohm y que, en consecuencia, presentan este comportamiento lineal entre E y J se dice que son óhmicos. El comportamiento eléctrico de la mayor parte de los materiales es bastante lineal para pequeños cambios
de la corriente. Experimentalmente, sin embargo, se encuentra que no todos los materiales tienen esta propiedad. Los materiales que no obedecen la ley de Ohm se dice que son no óhmicos. La ley de Ohm no es una ley fundamental de la naturaleza sino más bien una relación empírica válida sólo para ciertos materiales.
Una forma de la ley de Ohm útil en aplicaciones prácticas puede obtenerse considerando un segmento de un alambre recto de área de sección transversal A y longitud e, como se ve en la figura 27.4. Una diferencia de potencial V =Vb — Va se mantiene a través del alambre, creando un campo eléctrico en éste y una corriente. Si el campo eléctrico en el alambre se supone uniforme, la diferencia de potencial se relaciona con el campo eléctrico por medio de la relación
Por tanto, podemos expresar la magnitud de la densidad de la corriente en el alambre como
Conductor eléctrico
Se dice que un cuerpo es conductor eléctrico cuando puesto en contacto con un cuerpo cargado de electricidad transmite ésta a todos los puntos de su superficie.
Generalmente es un elemento metálico capaz de conducir la electricidad cuando es sometido a una diferencia de potencial eléctrico. Para que ello sea efectuado eficientemente, se requiere que posea una baja resistencia para evitar pérdidas desmedidas por Efecto Joule y caída de tensión.
Para el transporte de la energía eléctrica el metal empleado universalmente es el cobre en forma de cables de uno o varios hilos. Alternativamente se emplea el aluminio, metal que si bien tiene una conductividad eléctrica del orden del 60% de la del cobre es, sin embargo, un material mucho más ligero, lo que favorece su empleo en líneas de transmisión de energía eléctrica
Factores de los cuales depende la resistencia de un conductor:
Desde la época de Ohm hasta nuestros días, se han venido haciendo experimentos con el objeto de conocer la mayor o menor capacidad de los materiales para conducir electricidad. Los resultados obtenidos a través de esos experimentos han conducido a decir que el valor de la resistencia de un conductor depende de la longitud, el área de la sección y el material del cual esta fabricado.
De acuerdo a todo esto podemos escribir que:
La resistencia R del conductor es directamente proporcional a la longitud L.
La resistencia es inversamente proporcional al área A del conductor.
La resistencia depende del material del conductor a través de una constante que designaremos con la letra ro (p) y que llamaremos resistividad o resistencia especifica.
R = p. L / A
R: es la resistencia del conductor
P: es la resistividad o resistencia especifica
A: es el área o sección del conductor
Dependencia entre la resistencia y la temperatura:
Sabemos que la resistencia en conductores metálicos es producto de choques de los portadores de cargas con los obstáculos que encuentran en su camino. Al chocar pierden velocidad y energía pero el campo eléctrico les hace recuperar esa velocidad. Esa energía del campo, gastada en lograr que los portadores de carga recuperen su energía hace que el conductor aumente su temperatura.
Si llamamos R1 a la resistencia del conductor a la temperatura T1 r R2 la resistencia de la temperatura T2, se tendrá que la variación de la resistencia R2 - R1 se debe a la relación de temperatura. Ésta variación de resistencia, producto de la variación de temperatura es proporcional a la variación inicial, pudiéndose escribir:
R2 - R1 = . R1 (T2 - T1)
Si llamamos "t a la variación de temperatura podemos escribir:
R2 - R1 = . R1"t
Donde:
R2: Resistencia final
R1: Resistencia inicial
: coeficiente de temperatura (ºC-1)
T2: Temperatura final
T1: Temperatura inicial
Tabla de valores de coeficientes de temperatura:
Conclusión
Corriente Eléctrica: es el movimiento ordenado y permanente de las partículas cargadas de un conductor, bajo la influencia de un campo eléctrico.
Fuentes de Corriente Eléctrica: son dispositivos capaces de transformar las diferentes formas de energía química, mecánica o térmica, en energía eléctrica necesaria para producir la diferencia de potencial entre dos puntos.
Mi comunidad:
Click a la imagen para acceder a mi comunidad
................