¿Cuántos vídeos caben en Youtube? La respuesta está en la combinatoria
Curiosa pregunta la que titula este artículo y probablemente para mucha gente también sea curioso que la respuesta a la misma se pueda encontrar en las Matemáticas. Pues es así. Vamos con la teoría correspondiente y dejemos la pregunta para el final:
Combinatoria
La combinatoria es una rama de las Matemáticas que básicamente se encarga de estudiar cuántos grupos pueden formarse con un cierto número de objetos atendiendo a determinados criterios. Como esta definición puede no ser demasiado clara vamos a poner un par de ejemplos:
* ¿Cuántos números de 5 cifras pueden formarse con los números del 1 al 9?
* ¿Cuántas manos posibles de mus pueden darse? (Cada mano de mus consta de 4 cartas)
La combinatoria se encarga de determinar esos números.
En este tipo de problemas existen dos elementos fundamentales que van a ser determinantes a la hora de elegir la fórmula adecuada: si importa el orden en el cual van apareciendo los objetos y si puede existir repetición de los mismos. En la situación planteada en la primera pregunta anterior vemos que importa el orden en el que aparecen los números (ya que si cambio de lugar dos cifras de un número de 5 cifras el número obtenido es distinto al que tenía al principio) y puede haber repetición de elementos (las cifras pueden repetirse en un mismo número). En la situación planteada en la segunda pregunta vemos que no importa el orden (da igual en qué orden me lleguen las cartas, lo importante es la mano que llevo, es decir, el conjunto de 4 cartas) y no hay repetición de elementos (no puedo tener la misma cartas 2 veces). Pueden darse todos los casos posibles: importa orden y no hay repetición, importa orden y sí hay repetición, no importa orden y hay repetición y no importa orden y sí hay repetición.
Como acabamos de ver en un problema de combinatoria tendremos dos números: elementos a elegir y elementos que forman la agrupación. La mejor manera de interpretar esto es considerar los elementos a elegir como objetos que podemos que colocar y los elementos que forman cada agrupación como huecos que tenemos que rellenar. Así en el ejemplo de los números de 5 cifras tendremos 9 objetos que podemos colocar (1,2,…,9) y 5 huecos a rellenar (cada una de las cifras del número); y en el ejemplo del mus tendremos 40 objetos que podemos colocar (las 40 cartas de la baraja española) y 4 huecos a rellenar (las 4 cartas que forman una mano de mus).
Veamos a continuación qué tipo de agrupaciones podemos encontrar y cómo contarlas:
Variaciones
-Se llaman variaciones ordinarias o sin repetición de n elementos tomados de m en m a las diferentes agrupaciones que con ellos se pueden formar de tal modo que cada agrupación contenga m elementos distintos y que dos agrupaciones se diferencien bien en alguno de sus elementos o bien en el orden de colocación de los mismos. Es decir, en las variaciones sin repetición importa el orden y no hay repetición de elementos.
El número de variaciones de n elementos tomados de m en m viene dado por la siguiente fórmula:
Por ejemplo, si queremos saber cuántos números de 5 cifras podemos forman con los números del 1 al 9 con la condición de que no se repita ninguna cifra debemos utilizar esta fórmula. El resultado sería:
-Se llaman variaciones con repetición de n elementos tomados de m en m a las diferentes agrupaciones que con ellos se pueden formar de tal modo que cada agrupación contenga m elementos y que dos agrupaciones se diferencien bien en alguno de sus elementos o bien en el orden de colocación de los mismos. Es decir, en las variaciones con repetición importa el orden y sí puede haber repetición de elementos.
El número de variaciones con repetición de n elementos tomados de m en m es:
Por ejemplo, si queremos saber cuántas posibles columnas puedo rellenar en la quiniela utilizaremos esta fórmula. Tendremos 3 objetos a colocar (1X2) y 15 huecos a rellenar (cada una de las casillas). El resultado es:
Permutaciones
-Se llaman permutaciones ordinarias o sin repetición de n elementos a las variaciones de estos n elementos tomados de n en n, es decir, a los distintas agrupaciones que podemos formar con todos ellos. Dos permutaciones sin repetición se diferencian en el orden de sus elementos. Por tanto, en las permutaciones sin repetición importa el orden y no hay repetición de elementos.
El número de permutaciones sin repetición de n elementos se deduce fácilmente de la fórmula de las variaciones sin repetición y es:
Por ejemplo, si queremos saber de cuántas formas podemos sentar a 6 personas en 6 sillas utilizaremos esta fórmula. El resultado es:
-Se llaman permutaciones con repetición de n elementos donde el primero se repite a veces, el segundo b veces,…,el último k veces (a+b+…+k=n) a las distintas agrupaciones que podemos formar de modo que en cada una de ellas el primer elemento se repita a veces, el segundo b veces,…,el último k veces y que dos agrupaciones se diferencien únicamente en el orden de colocación de los elementos. Por tanto, en las permutacion con repetición importa el orden y sí hay repetición de elementos.
El número de permutaciones con repetición de n elementos donde el primero se repite a veces, el segundo b veces,…,el último k veces (a+b+…+k=n) es el siguiente:
Por ejemplo, si queremos saber cuántas palabras podemos formar con las letras de la palabra MATEMATICAS utilizaremos esta fórmula. En este caso tenemos 11 objetos a colocar (las 11 letras) y uno que repite 3 veces (A), dos que se repiten 2 veces (M y T) y cuatro que se repiten una ves (E, I, C y S). El resultado es:
Combinaciones
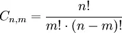
-Se llaman combinaciones ordinarias o sin repetición de n elementos tomados de m en m a las agrupaciones de m elementos que podemos formar con los n de que disponemos. Dos combinaciones son distintas sólo si difieren en algún elemento. Por tanto en las combinaciones sin repetición no importa el orden y no hay repetición.
El número de combinaciones sin repetición de n elementos tomados de m en m es:
Por ejemplo, en la primitiva podemos elegir el siguiente número de combinaciones distintas:
-Se llaman combinaciones con repetición de n elementos tomados de m en m a las agrupaciones de m elementos iguales o distintos que se pueden formar con los n de que disponemos. Dos combinaciones con repetición son distintas sólo si difieren en alguno de sus elementos. Por tanto en las combinaciones con repetición no importa el orden y sí puede haber repetición de elementos.
El número de combinaciones con repetición de n elementos tomados de m en m es:
Por ejemplo, si queremos saber de cuántas formas podemos colocar 7 anillos idénticos en 4 dedos de una mano utilizaremos esta fórmula. En este caso, como nos tenemos que poner los 7 anillos y todos son iguales, los objetos a colocar serán los dedos y los huecos a rellenar serán los anillos (si lo hiciéramos al revés quedarían anillos sin poner). El resultado sería:
¿Cuántos vídeos caben en Youtube?
Después de la necesaria teoría vamos a responder a la pregunta que se formula en el título de post. Para ello vamos a tener en cuenta la forma que tiene un enlace a un vídeo de Youtube: http://www.youtube.com/watch?v={ID del vídeo}. Esa ID consta de 11 caracteres que pueden ser letras minúsculas, letras mayúsculas, números del 0 al 9, guión y guión bajo (creo que no hay más posibilidades; si estoy equivocado comentadlo). Es decir, tenemos 26+26+10+1+1=64 objetos donde elegir y 11 huecos que rellenar. En este caso importa el orden de colocación de cada uno de los elementos y puede haber repetición de los mismos. Por tanto, según todo lo comentado anteriormente, debemos utilizar variaciones con repetición de 64 elementos tomados de 11 en 11. El resultado de esta operación es el siguiente:
Como podéis ver es una cantidad realmente considerable. No sé cuántos llevarán ya, pero seguro que queda mucho tiempo para que las ID’s se les terminen.
Fuente
edit:
Curiosa pregunta la que titula este artículo y probablemente para mucha gente también sea curioso que la respuesta a la misma se pueda encontrar en las Matemáticas. Pues es así. Vamos con la teoría correspondiente y dejemos la pregunta para el final:
Combinatoria
La combinatoria es una rama de las Matemáticas que básicamente se encarga de estudiar cuántos grupos pueden formarse con un cierto número de objetos atendiendo a determinados criterios. Como esta definición puede no ser demasiado clara vamos a poner un par de ejemplos:
* ¿Cuántos números de 5 cifras pueden formarse con los números del 1 al 9?
* ¿Cuántas manos posibles de mus pueden darse? (Cada mano de mus consta de 4 cartas)
La combinatoria se encarga de determinar esos números.
En este tipo de problemas existen dos elementos fundamentales que van a ser determinantes a la hora de elegir la fórmula adecuada: si importa el orden en el cual van apareciendo los objetos y si puede existir repetición de los mismos. En la situación planteada en la primera pregunta anterior vemos que importa el orden en el que aparecen los números (ya que si cambio de lugar dos cifras de un número de 5 cifras el número obtenido es distinto al que tenía al principio) y puede haber repetición de elementos (las cifras pueden repetirse en un mismo número). En la situación planteada en la segunda pregunta vemos que no importa el orden (da igual en qué orden me lleguen las cartas, lo importante es la mano que llevo, es decir, el conjunto de 4 cartas) y no hay repetición de elementos (no puedo tener la misma cartas 2 veces). Pueden darse todos los casos posibles: importa orden y no hay repetición, importa orden y sí hay repetición, no importa orden y hay repetición y no importa orden y sí hay repetición.
Como acabamos de ver en un problema de combinatoria tendremos dos números: elementos a elegir y elementos que forman la agrupación. La mejor manera de interpretar esto es considerar los elementos a elegir como objetos que podemos que colocar y los elementos que forman cada agrupación como huecos que tenemos que rellenar. Así en el ejemplo de los números de 5 cifras tendremos 9 objetos que podemos colocar (1,2,…,9) y 5 huecos a rellenar (cada una de las cifras del número); y en el ejemplo del mus tendremos 40 objetos que podemos colocar (las 40 cartas de la baraja española) y 4 huecos a rellenar (las 4 cartas que forman una mano de mus).
Veamos a continuación qué tipo de agrupaciones podemos encontrar y cómo contarlas:
Variaciones
-Se llaman variaciones ordinarias o sin repetición de n elementos tomados de m en m a las diferentes agrupaciones que con ellos se pueden formar de tal modo que cada agrupación contenga m elementos distintos y que dos agrupaciones se diferencien bien en alguno de sus elementos o bien en el orden de colocación de los mismos. Es decir, en las variaciones sin repetición importa el orden y no hay repetición de elementos.
El número de variaciones de n elementos tomados de m en m viene dado por la siguiente fórmula:
Por ejemplo, si queremos saber cuántos números de 5 cifras podemos forman con los números del 1 al 9 con la condición de que no se repita ninguna cifra debemos utilizar esta fórmula. El resultado sería:
-Se llaman variaciones con repetición de n elementos tomados de m en m a las diferentes agrupaciones que con ellos se pueden formar de tal modo que cada agrupación contenga m elementos y que dos agrupaciones se diferencien bien en alguno de sus elementos o bien en el orden de colocación de los mismos. Es decir, en las variaciones con repetición importa el orden y sí puede haber repetición de elementos.
El número de variaciones con repetición de n elementos tomados de m en m es:
Por ejemplo, si queremos saber cuántas posibles columnas puedo rellenar en la quiniela utilizaremos esta fórmula. Tendremos 3 objetos a colocar (1X2) y 15 huecos a rellenar (cada una de las casillas). El resultado es:
Permutaciones
-Se llaman permutaciones ordinarias o sin repetición de n elementos a las variaciones de estos n elementos tomados de n en n, es decir, a los distintas agrupaciones que podemos formar con todos ellos. Dos permutaciones sin repetición se diferencian en el orden de sus elementos. Por tanto, en las permutaciones sin repetición importa el orden y no hay repetición de elementos.
El número de permutaciones sin repetición de n elementos se deduce fácilmente de la fórmula de las variaciones sin repetición y es:
Por ejemplo, si queremos saber de cuántas formas podemos sentar a 6 personas en 6 sillas utilizaremos esta fórmula. El resultado es:
-Se llaman permutaciones con repetición de n elementos donde el primero se repite a veces, el segundo b veces,…,el último k veces (a+b+…+k=n) a las distintas agrupaciones que podemos formar de modo que en cada una de ellas el primer elemento se repita a veces, el segundo b veces,…,el último k veces y que dos agrupaciones se diferencien únicamente en el orden de colocación de los elementos. Por tanto, en las permutacion con repetición importa el orden y sí hay repetición de elementos.
El número de permutaciones con repetición de n elementos donde el primero se repite a veces, el segundo b veces,…,el último k veces (a+b+…+k=n) es el siguiente:
Por ejemplo, si queremos saber cuántas palabras podemos formar con las letras de la palabra MATEMATICAS utilizaremos esta fórmula. En este caso tenemos 11 objetos a colocar (las 11 letras) y uno que repite 3 veces (A), dos que se repiten 2 veces (M y T) y cuatro que se repiten una ves (E, I, C y S). El resultado es:
Combinaciones
-Se llaman combinaciones ordinarias o sin repetición de n elementos tomados de m en m a las agrupaciones de m elementos que podemos formar con los n de que disponemos. Dos combinaciones son distintas sólo si difieren en algún elemento. Por tanto en las combinaciones sin repetición no importa el orden y no hay repetición.
El número de combinaciones sin repetición de n elementos tomados de m en m es:
Por ejemplo, en la primitiva podemos elegir el siguiente número de combinaciones distintas:
-Se llaman combinaciones con repetición de n elementos tomados de m en m a las agrupaciones de m elementos iguales o distintos que se pueden formar con los n de que disponemos. Dos combinaciones con repetición son distintas sólo si difieren en alguno de sus elementos. Por tanto en las combinaciones con repetición no importa el orden y sí puede haber repetición de elementos.
El número de combinaciones con repetición de n elementos tomados de m en m es:
Por ejemplo, si queremos saber de cuántas formas podemos colocar 7 anillos idénticos en 4 dedos de una mano utilizaremos esta fórmula. En este caso, como nos tenemos que poner los 7 anillos y todos son iguales, los objetos a colocar serán los dedos y los huecos a rellenar serán los anillos (si lo hiciéramos al revés quedarían anillos sin poner). El resultado sería:
¿Cuántos vídeos caben en Youtube?
Después de la necesaria teoría vamos a responder a la pregunta que se formula en el título de post. Para ello vamos a tener en cuenta la forma que tiene un enlace a un vídeo de Youtube: http://www.youtube.com/watch?v={ID del vídeo}. Esa ID consta de 11 caracteres que pueden ser letras minúsculas, letras mayúsculas, números del 0 al 9, guión y guión bajo (creo que no hay más posibilidades; si estoy equivocado comentadlo). Es decir, tenemos 26+26+10+1+1=64 objetos donde elegir y 11 huecos que rellenar. En este caso importa el orden de colocación de cada uno de los elementos y puede haber repetición de los mismos. Por tanto, según todo lo comentado anteriormente, debemos utilizar variaciones con repetición de 64 elementos tomados de 11 en 11. El resultado de esta operación es el siguiente:
Como podéis ver es una cantidad realmente considerable. No sé cuántos llevarán ya, pero seguro que queda mucho tiempo para que las ID’s se les terminen.
Fuente
Ahora...
¿Cuantos posts entran en Taringa!?
¿Cuantos posts entran en Taringa!?
edit:
Cita:gandalfoide | 22.09.2007 18:14:51 dijo:
nahhh vi todas esas formulas y me dio miedo... empece a temblar... desde 5 año (2002) q no veo una ecuación.... BRRRRR
ponele fotos de gatos... algo, no se...

Igual, este es mi gato preferido




Nadie respondio esto:
¿Cuantos posts entran en Taringa!?

¿Cuantos posts entran en Taringa!?
