
La gran belleza de los cuadrados mágicos

Los cuadrados mágicos, inocentes cuadrados con números que esconden propiedades tan interesantes. Pero no todos son iguales, ni mucho menos. Los hay muy simples, que cumplen con las propiedades justas para llamarlos mágicos, y también los hay que tienen características interesantes para dar y tomar.

¿Qué es un cuadrado mágico?Un cuadrado mágico se obtiene colocando una serie de números naturales en una matriz cuadrada de tal forma que todas las filas, todas las columnas y las diagonales sumen el mismo número: la constante mágica. Generalmente suelen colocarse los números entre 1 y n^2, siendo n el número de filas y columnas del cuadrado. A este número n se le denomina orden del cuadrado mágico.
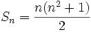
Formando un cuadrado mágico de orden n de esta forma la suma de cada fila, cada columna y cada diagonal es
Formando un cuadrado mágico de orden n de esta forma la suma de cada fila, cada columna y cada diagonal es

Una pregunta bastante lógica en ese punto es: ¿cuántos cuadrados mágicos de cada orden se pueden formar? Muy sencillo: de orden 3 hay esencialmente sólo 1 cuadrado mágico (los demás que podríamos formar surgen de rotar o reflejar este), que es:

Para los de orden 4 Frenicle De Bessy estableció en 1693 que existen 880 cuadrados mágicos. Más adelante se ha demostrado que existen 275305224 cuadrados mágicos de orden 5. Para órdenes más grandes sólo se tienen estimaciones.
Para órdenes más pequeños es bastante sencillo: para orden uno sólo existe un cuadrado mágico: el formado únicamente por el número 1. Y para orden 2 no existe ningún cuadrado mágico
Para órdenes más pequeños es bastante sencillo: para orden uno sólo existe un cuadrado mágico: el formado únicamente por el número 1. Y para orden 2 no existe ningún cuadrado mágico
La belleza de los cuadrados mágicosVimos qué era un cuadrado mágico numérico (la suma de las filas, las columnas y las diagonales es siempre la misma), qué era la constante mágica en cuadrados mágicos con los números del 1 al n^2 y métodos para construirlos. Hoy vamos a ver muchos cuadrados mágicos, pero no de los habituales, no de los simples. Vamos a ver cuadrados mágicos numéricos que cumplen muchas más propiedades que los habituales; también veremos algunos en los que el producto (en vez de la suma) es la operación protagonista; y hasta alguno que no es numérico.
Espero que después de admirar todas estas maravillas matemáticas la magia que desprenden estos cuadrados penetre en sus mentes para quedarse ahí para siempre.
Espero que después de admirar todas estas maravillas matemáticas la magia que desprenden estos cuadrados penetre en sus mentes para quedarse ahí para siempre.
El cuadrado mágico de Durero
Aparece en el grabado de Durero Melancolia I. La suma de las filas, las columnas y las diagonales es 34, número que puede encontrarse en muchas otras combinaciones de números del propio cuadrado.
El cuadrado mágico de la Sagrada FamiliaEn la Sagrada Familia de Barcelona tenemos otro cuadrado mágico interesante, que fue diseñado para la llamada Fachada de la Pasión por el escultor Josep María Subirachs. Es éste:

Es del estilo al de Durero, pero se han rebajado algunos números para forzar que la constante mágica del cuadrado sea 33, lo que hace que haya números repetidos. Hay diversas interpretaciones para ello, como que se hizo porque es la edad a la que muere Jesucristo, uno de los personajes principales de la obra literaria “La Biblia”, o que está relacionada con la masonería. Sea como fuere, este cuadrado mágico también es muy interesante, y de él han hablado, por ejemplo, en la trébede y en Microsiervos.
Cuadrados mágicos de productosPero no solamente de sumas viven los cuadrados mágicos. También los hay en los que el productos de los elementos de cada fila, columna o diagonal dan el mismo resultado, como éste, donde esos productos dan todos 216.

Cuadrados alfamágicosY no solamente de números viven los cuadrados mágicos, sino también de letras. Bueno, de la cantidad de letras, como ocurre en este cuadrado:

Es un cuadrado mágico habitual con los números que contiene. Pero, además, si sustituimos cada número por la cantidad de letras que tiene su nombre en inglés, el resultado es otro cuadrado mágico.
Un cuadrado mágico con letrasDecíamos que las letras, en lo que se refiere al número de letras del “nombre” de los números, también tienen su hueco en el mundo de los cuadrados mágicos. Pero las letras en sí también tiene su lugar reservado en este apasionante mundo. El caso más conocido es, sin duda alguna, el Cuadrado Sator, en el que aparecen las palabras latinas SATOR, AREPO, TENET, OPERA y ROTAS formando el siguiente cuadrado mágico:

Mezclando suma y producto en un cuadrado mágicoHemos visto cuadrados mágicos que lo son usando la suma y otros que lo son usando producto. ¿Y las dos a la vez? Sí amigos, hay cuadrados mágicos que lo son con la suma y también con el producto. Les dejo este ejemplo. En él, la suma de los elementos de cada fila, columna y diagonal es 840, y el producto de los elementos de cada fila, columna y diagonal es 2058068231856000:

Mezclando sumas con potenciasY también los hay dobles por sumas y potencias, como éste otro. En él la suma de los elementos de cada fila, columna y diagonal es 260, y a elevar al cuadrado todos los elementos obtenemos otro cuadrado mágico donde la suma de los elementos de toda fila, toda columna y las dos diagonales es 11180:

El cuadrado mágico del 19 y las expresiones decimalesNi siquiera las expresiones decimales se libran. En este caso le toca a las expresiones decimales de las fracciones
, con 
, con 

Todas las filas, columnas y diagonales del cuadrado formado por estos números suman 81. No me digáis que no es impresionante.
Cuadrado mágico con números primos¿Y si le pedimos a todos los elementos de un cuadrado mágico que sean primos? ¿Obtendremos alguno? ¡Claro! Por ejemplo éste:

En él todos los elementos son números primos y la suma de cada fila, columna y diagonal es 258.
Construyendo un cuadrado mágico a partir de otroCuriosísima manera de construir un cuadrado mágico a partir de otro. Se comienza con un tablero numerado y un cuadrado mágico de igual tamaño:

Luego se reemplaza cada número del cuadrado mágico por otro número formado por dos partes: la fila (columna) y la columna (fila) en que se encuentran en el tablero numerado. En el cuadrado siguiente se tomó primero la fila; para obtener el cuadrado que resulta de tomar primero la columna basta con invertir el orden de los dígitos. Así, 13 se transforma en 31, 12 en 21, 41 en 14, etc.

Este nuevo cuadrado tiene constante mágica 11 (n2 + n) / 2. Tiene, además, las mismas características que el original: constante mágica en las diagonales mayores, en los cuadrados de las esquinas y central, etc. Hay dos formas de reconstruir el cuadrado original. Una es realizar la operación inversa a la usada para construir el nuevo cuadrado. La otra es separar en sus dos dígitos cada uno de los números del nuevo cuadrado y aplicar la siguiente fórmula: n (1er_digito – 1) + 2do_dígito. Así, el 44 se transforma en 4 (4 – 1) + 4 = 16, el 21 se transforma en 4 (2 – 1) + 1 = 5, etc. Si para construir el nuevo cuadrado en vez de haberse tomado primero la fila se tomó primero la columna, la fórmula pasa a ser 1er_dígito + n (2do_dígito – 1).
Construyendo un cuadrado mágico a partir de otroY, cómo no, un gran amigo también se ha unido en algún momento a la fiebre de los cuadrados mágicos. Lo hizo con este monstruoso cuadrado mágico 13×13 que esconde una gran cantidad de propiedades interesantes:

Si tomamos el 3×3 central obtenemos un cuadrado mágico, si tomamos el 5×5 central también, y el 7×7, y el 9×9 y el 11×11…y, además, la constante mágica de cada uno de ellos es la del inmediatamente inferior más 10874. Todavía estoy con la boca abierta.
El twistEn este caso este cuadrado mágico twist, con contante mágica 157, que cumple que al girarlo 90º nos da también un cuadrado mágico con la misma constante:

El cuadrado mágico de Benjamin FranklinY aquí tenemos otro de esos cuadrados mágicos que uno no llega a entender cómo se descubren, o cómo se construyen, dada la tremenda cantidad de propiedades que contiene. Es el denominado cuadrado de Franklin:

Su constante mágica es 260 (aunque las diagonales no suman eso), pero, como decíamos, encierra una gran cantidad de curiosidades dignas de mención. Por ejemplo, cada mitad de una fila y de una columna suma 130, los cuatro números de las esquinas y los cuatro números centrales también suman 130, la suma de los elementos de cada cuadrado 2×2 que tomemos es 130 (¿¿??), los cuatro elementos de una diagonal ascendente junto con los cuatro de la correspondiente descendiente también suman 260…y seguro que hay más propiedades interesantes ocultas.
Y el remate final: cuadrados mágicos con figuras geométricasLos hay de números (de todos los tipos habidos y por haber), de letras (tanto de cantidades de letras como de letras en sí)…¿Por qué no de figuras geométricas?

En la galería de Geomagic Squares aparecen muchísimos, como el de la figura superior (en Microsiervos también hablaron sobre ellos). Realmente curiosos, ¿verdad?
Y, para terminar, les dejo uno de estos con figuras geométricas que habría venido muy bien para el día de San Valentín. Un bonito cuadrado mágico de figuras y corazones:
Y, para terminar, les dejo uno de estos con figuras geométricas que habría venido muy bien para el día de San Valentín. Un bonito cuadrado mágico de figuras y corazones:


HistoriaYa en la antigua China, sobre el tercer milenio a.C., se conocían los cuadrados mágicos. También los indios, los egipcios, los árabes y los griegos tuvieron constancia de su existencia. En todas estas civilizaciones generalmente se le atribuían a estos cuadrados propiedades místicas.
La entrada de estos objetos en Europa se sitúa sobre el siglo XIV. Sus curiosas e interesnates características atrajeron la atención de muchos matemáticos importantes como Fermat, Pascal, Leibnitz, Euler…
El cuadrado mágico de Durero está considerado como el primero de las artes europeas:
La entrada de estos objetos en Europa se sitúa sobre el siglo XIV. Sus curiosas e interesnates características atrajeron la atención de muchos matemáticos importantes como Fermat, Pascal, Leibnitz, Euler…
El cuadrado mágico de Durero está considerado como el primero de las artes europeas:

La constante mágica de este cuadrado es 34. Además sus cuatros esquinas suman 34, los cuatro número centrales suman 34, los cuatro números centrales de las filas superior e inferior suman 34 al igual que los cuatro números centrales de las columnas izquierda y derecha. Si dividimos el cuadrado en cuatro cuadrados tenemos que los números que integran cada uno de ellos suman 34. Los números 3, 8, 14, 15 (movimiento de caballo de ajedrez a partir del 3) suman 34 al igual que el 2, 5, 15, 12. Y si reemplazamos cada número por su cuadrado o por su cubo obtenemos otros dos cuadrados que aunque no son mágicos también tienen propiedades interesantes. Este cuadrado mágico aparece en la obra Melancolía de Durero que data de 1514, fecha también reflejada en el propio cuadrado en los dos números centrales de la fila inferior.
En la Fachada de la Pasión de la Sagrada Familia de Barcelona también aparece otro cuadrado mágico, aunque tiene un par de números modificados para que la constante mágica sea 33, la edad de Cristo en la Pasión.
En la Fachada de la Pasión de la Sagrada Familia de Barcelona también aparece otro cuadrado mágico, aunque tiene un par de números modificados para que la constante mágica sea 33, la edad de Cristo en la Pasión.
Construcción de cuadrados mágicosPara la construcción de cuadrados mágicos tenemos varios procedimientos cuyo uso depende del orden del cuadrado que queramos construir. Tenemos reglas para construir cuadrados de orden impar, cuadrados de orden 4k y cuadrados de orden 4k + 2. Es decir, podemos construir cuadrados de cualquier orden pero con procedimientos distintos según el mismo.
1.- Cuadrados mágicos de orden impar: Método de Loubere
El primer método para la construcción de cuadrados mágicos de orden impar se debe a Loubere. Veamos en qué consiste construyendo un cuadrado mágico de orden 5:
Colocamos el 1 en la posición central de la fila superior y vamos rellenando en diagonal, es decir, el 2 se coloca en la posición (5,4) (fila 5, columna 4), el 3 en la posición (4,5), el 4 en la (3,1), y así sucesivamente. Cuando al intentar colocar un número en la posición que debe ocupar nos la encontramos ya ocupada colocamos ese número justo debajo del último que hemos colocado y continuamos colocando en diagonal.
El cuadrado mágico de orden 5 obtenido con este procedimiento es el siguiente:
1.- Cuadrados mágicos de orden impar: Método de Loubere
El primer método para la construcción de cuadrados mágicos de orden impar se debe a Loubere. Veamos en qué consiste construyendo un cuadrado mágico de orden 5:
Colocamos el 1 en la posición central de la fila superior y vamos rellenando en diagonal, es decir, el 2 se coloca en la posición (5,4) (fila 5, columna 4), el 3 en la posición (4,5), el 4 en la (3,1), y así sucesivamente. Cuando al intentar colocar un número en la posición que debe ocupar nos la encontramos ya ocupada colocamos ese número justo debajo del último que hemos colocado y continuamos colocando en diagonal.
El cuadrado mágico de orden 5 obtenido con este procedimiento es el siguiente:

Este cuadrado mágico tiene al número 65 como constante mágica.
2.- Cuadrados mágicos de orden impar: Método de Bachet
Otro método para construir cuadrados mágicos de orden impar es el denominado método de Bachet. Veamos en qué consiste construyendo también un cuadrado mágico de orden 5:
Dibujamos en cuadrado de 5×5. A partir de ahí disponemos los números del 1 al 25 como muestra la siguiente figura:
2.- Cuadrados mágicos de orden impar: Método de Bachet
Otro método para construir cuadrados mágicos de orden impar es el denominado método de Bachet. Veamos en qué consiste construyendo también un cuadrado mágico de orden 5:
Dibujamos en cuadrado de 5×5. A partir de ahí disponemos los números del 1 al 25 como muestra la siguiente figura:

Ahora colocamos los números que han quedado fuera del cuadrado en las posiciones opuestas que quedaron libres. Queda el siguiente cuadrado:

3.- Cuadrados mágicos de orden 4k
Construímos un cuadrado con los números dispuestos de forma consecutiva. Una vez hecho esto conservamos la submatriz central de orden n/2 y las cuatro submatrices de las esquinas de orden n/4. Los números restantes se giran 180º respecto del centro del cuadrado, o si se prefiere se recolocan en orden decreciente.
Para k = 2 obtenemos el siguiente cuadrado mágico de orden 8:
Construímos un cuadrado con los números dispuestos de forma consecutiva. Una vez hecho esto conservamos la submatriz central de orden n/2 y las cuatro submatrices de las esquinas de orden n/4. Los números restantes se giran 180º respecto del centro del cuadrado, o si se prefiere se recolocan en orden decreciente.
Para k = 2 obtenemos el siguiente cuadrado mágico de orden 8:

Partiendo del cuadrado con los números dispuestos consecutivamente y eligiendo patrones simétricos distintos podemos obtener otros cuadrados mágicos. Por ejemplo:

4.- Cuadrados mágicos de orden 4k + 2
Este es el método más complicado de todos los que hemos comentado. Por eso simplemente voy a dar algunas pautas para usarlo.
El método se denomina LUX. Consiste en dividir el cuadrado en subcuadrados 2×2 y etiquetarlos según ciertas reglas con las letras L, U y X. Después se realiza algún intercambio entre cuadrados 2×2 y luego se colocan números siguiendo en procedimiento de Loubere comentado antes para etiquetar cada subcuadrado también con un número. Después se asocian los números que corresponden a cada subcuadrado y luego se colocan de una cierta forma según la letra que correspondía a cada uno.
Este es el método más complicado de todos los que hemos comentado. Por eso simplemente voy a dar algunas pautas para usarlo.
El método se denomina LUX. Consiste en dividir el cuadrado en subcuadrados 2×2 y etiquetarlos según ciertas reglas con las letras L, U y X. Después se realiza algún intercambio entre cuadrados 2×2 y luego se colocan números siguiendo en procedimiento de Loubere comentado antes para etiquetar cada subcuadrado también con un número. Después se asocian los números que corresponden a cada subcuadrado y luego se colocan de una cierta forma según la letra que correspondía a cada uno.
ConclusionesComo habrán podido ver el mundo de los cuadrados mágicos es muy interesante. Quedaron muchas cosas por comentar, como por ejemplo los cuadrados p-mágicos (cuadrados que siguen siendo mágicos si colocamos en cada casilla la potencia p de cada número), cuadrados mágicos esotéricos (que cumplen que entre los números que forman el cuadrado hay tantas cifras como casillas tiene el cuadrado), etc. Sólo una cosa más:
Utilizando el procedimiento de Loubere podemos obtener un cuadrado mágico de orden 3. Si queremos obtener un cuadrado mágico de orden 9 también podemos utilizar ese procedimiento con los número del 1 al 81, pero podemos actuar de otra forma: construir el de orden 3 del 1 al 9, el de orden 3 del 10 al 18, y así sucesivamente y luego colocarlos en un cuadrado 9×9 dividido en cuadrados 3×3 también mediante el procedimiento de Loubere.
Utilizando el procedimiento de Loubere podemos obtener un cuadrado mágico de orden 3. Si queremos obtener un cuadrado mágico de orden 9 también podemos utilizar ese procedimiento con los número del 1 al 81, pero podemos actuar de otra forma: construir el de orden 3 del 1 al 9, el de orden 3 del 10 al 18, y así sucesivamente y luego colocarlos en un cuadrado 9×9 dividido en cuadrados 3×3 también mediante el procedimiento de Loubere.
No pueden negar que todo esto es maravilloso. Espero que el espíritu mágico de estos objetos matemáticos los rodee ahora, que estos cuadrados mágicos los hayan encandilado de la misma forma que lo hicieron (y lo siguen haciendo) conmigo. Y, como siempre, espero sus aportes y comentarios.

Eso fue todo, espero que les haya gustado.
