Buenooo vamos a ver si con este post logro los 15 puntitos q me faltan 
no sabia q postear y luego de ver lo acurrido en chile...pense q seria bueno aprender un poco sobre los terremotos...
que son y demas ....
bueno antes que nada agamos un indice
# 1 Origen
# 2 Localizaciones
# 3 Propagación
# 4 Fallas geológicas
# 5 Ondas elásticas
# 6 Terremotos inducidos
# 7 Escalas de Magnitudes e Intensidades
-Richter
-Magnitud de momento
-Mercali
- Medvedev-Sponheuer-Karnik
y empesemos a aprender
1-Un terremoto — también llamado seísmo o sismo (del griego "σεισμός", temblor) o, simplemente, temblor de tierra (en algunas zonas se considera que un seísmo o sismo o temblor es un terremoto de menor magnitud) — es una sacudida del terreno que se produce debido al choque de las placas tectónicas y a la liberación de energía en el curso de una reorganización brusca de materiales de la corteza terrestre al superar el estado de equilibrio mecánico. Los más importantes y frecuentes se producen cuando se libera energía potencial elástica acumulada en la deformación gradual de las rocas contiguas al plano de una falla activa, pero también pueden ocurrir por otras causas, por ejemplo en torno a procesos volcánicos, por hundimiento de cavidades cársticas o por movimientos de ladera.
El origen de los terremotos se encuentra en la acumulación de energía que se produce cuando los materiales del interior de la Tierra se desplazan, buscando el equilibrio, desde situaciones inestables que son consecuencia de las actividades volcánicas y tectónicas, que se producen principalmente en los bordes de la placa.
Aunque las actividades tectónica y volcánica son las principales causas por las que se generan los terremotos, existen otros muchos factores que pueden originarlos: desprendimientos de rocas en las laderas de las montañas y el hundimiento de cavernas, variaciones bruscas en la presión atmosférica por ciclones e incluso la actividad humana. Estos mecanismos generan eventos de baja magnitud que generalmente caen en el rango de microsismos, temblores que sólo pueden ser detectados por sismógrafos.
2-Los terremotos tectónicos se suelen producir en zonas donde la concentración de fuerzas generadas por los límites de las placas tectónicas dan lugar a movimientos de reajuste en el interior y en la superficie de la Tierra. Es por esto que los sismos o seísmos de origen tectónico están íntimamente asociados con la formación de fallas geológicas. Suelen producirse al final de un ciclo denominado ciclo sísmico, que es el período de tiempo durante el cual se acumula deformación en el interior de la Tierra que más tarde se liberará repentinamente. Dicha liberación se corresponde con el terremoto, tras el cual la deformación comienza a acumularse nuevamente.
El punto interior de la Tierra donde se produce el sismo se denomina foco sísmico o hipocentro, y el punto de la superficie que se halla directamente en la vertical del hipocentro —y que, por tanto, es el primer afectado por la sacudida— recibe el nombre de epicentro.
En un terremoto se distinguen:
* hipocentro, zona interior profunda, donde se produce el terremoto.
* epicentro, área de la superficie perpendicular al hipocentro, donde repercuten con mayor intensidad las ondas sísmicas.
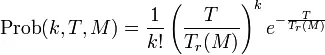
La probabilidad de ocurrencia de terremotos de una determinada magnitud en una región concreta viene dada por una distribución de Poisson. Así la probabilidad de ocurrencia de k terremotos de magnitud M durante un período T en cierta región está dada por:
Donde:
, es el tiempo de retorno de un terremoto de intensidad M, que coincide con el tiempo medio entre dos terremotos de intensidad M.
3-El movimiento sísmico se propaga mediante ondas elásticas (similares al sonido), a partir del hipocentro. Las ondas sísmicas se presentan en tres tipos principales:
* Ondas longitudinales, primarias o P: tipo de ondas de cuerpo que se propagan a una velocidad de entre 8 y 13 km/s y en el mismo sentido que la vibración de las partículas. Circulan por el interior de la Tierra, atravesando tanto líquidos como sólidos. Son las primeras que registran los aparatos de medida o sismógrafos, de ahí su nombre "P".
* Ondas transversales, secundarias o S: son ondas de cuerpo más lentas que las anteriores (entre 4 y 8 km/s) y se propagan perpendicularmente en el sentido de vibración de las partículas. Atraviesan únicamente los sólidos y se registran en segundo lugar en los aparatos de medida.
* Ondas superficiales: son las más lentas de todas (3,5 km/s) y son producto de la interacción entre las ondas P y S a lo largo de la superficie de la Tierra. Son las que producen más daños. Se propagan a partir del epicentro y son similares a las ondas que se forman sobre la superficie del mar. Este tipo de ondas son las que se registran en último lugar en los sismógrafos.
4-Una falla es una fractura que separa dos bloques de roca, los cuales pueden deslizarse uno respecto al otro en forma paralela a la fractura. A cada deslizamiento repentino de estos bloques se produce un condón. Existen tres tipos de fallas: fallas de rumbo o transcurrentes, fallas normales y fallas inversas. Las fallas de rumbo son fallas verticales (o casi verticales) donde los bloques se mueven horizontalmente. Este movimiento horizontal puede ser de tipo lateral derecho o de tipo lateral izquierdo, dependiendo de si un observador parado en uno de los bloques ve que el bloque de enfrente se mueve hacia la derecha o hacia la izquierda. Las fallas normales son fracturas inclinadas con bloques que se deslizan en forma vertical, principalmente. En este caso, los bloques reciben el nombre de techo y piso; el techo es el bloque que yace sobre la fractura inclinada. Si el techo de la falla se mueve hacia abajo, la falla es de tipo normal. En caso contrario, se trata de una falla inversa. Cuando el movimiento de los bloques es una combinación de movimiento horizontal y vertical se habla de una falla oblicua.
5-La energía liberada durante un temblor se propaga por la Tierra en forma de ondas elásticas denominadas ondas P, ondas S y ondas superficiales de Love y Rayleigh. Las ondas P hacen que el suelo se mueva hacia delante y hacia atrás en la misma dirección en la que se propagan (ondas de compresión); las ondas S producen movimientos perpendiculares a su dirección de propagación (ondas de cizalla), y las ondas de Love y Rayleigh producen movimientos horizontales y elíptico-longitudinales del suelo, respectivamente. Por su capacidad de transmitirse por el interior de la Tierra, a las ondas P y S también se les conoce como ondas de cuerpo. A diferencia de éstas, y como su nombre lo indica, las ondas superficiales solamente viajan cerca de la superficie terrestre. La onda P, por ser la más rápida, es la primera en registrarse en una estación sismológica. Se transmite por la corteza a una velocidad promedio de 6 km/s. La onda S es más lenta y se propaga a una velocidad de aproximadamente el 60% de la velocidad de la onda P.
.
6-Hoy en día se tiene la certeza de que si se inyectan en el subsuelo, ya sea como consecuencia de la eliminación de desechos en solución o en suspensión, o por la extracción de hidrocarburos, se provoca, con un brusco aumento de la presión intersticial, una intensificación de la actividad sísmica en las regiones ya sometidas a fuertes tensiones. Pronto se deberían controlar mejor estos sismos inducidos y, en consecuencia, preverlos, tal vez, pequeños sismos inducidos pudieran evitar el desencadenamiento de un terremoto de mayor magnitud.
7-Escalas de Magnitudes e Intensidades
Escala sismológica de Richter
Como se muestra en esta reproducción de un sismograma, las ondas P se registran antes que las ondas S: el tiempo transcurrido entre ambos instantes es Δt. Este valor y el de la amplitud máxima (A) de las ondas S, le permitieron a Richter calcular la magnitud de un terremoto.
La escala sismológica de Richter, también conocida como escala de magnitud local (ML), es una escala logarítmica arbitraria que asigna un número para cuantificar el efecto de un terremoto, denominada así en honor del sismólogo estadounidense Charles Richter (1900-1985).
Contenido
Desarrollo
Esta escala de magnitud local y solo aplicable a los terremotos originados en la falla de San Andrés, fue desarrollada por Charles Richter con la colaboración de Beno Gutenberg en 1935, ambos investigadores del Instituto de Tecnología de California, con el propósito original de separar el gran número de terremotos pequeños de los menos frecuentes terremotos mayores observados en California en su tiempo. La escala fue desarrollada para estudiar únicamente aquellos terremotos ocurridos dentro de un área particular del sur de California cuyos sismogramas hayan sido recogidos exclusivamente por el sismómetro de torsión de Wood-Anderson. Richter reportó inicialmente valores con una precisión de un cuarto de unidad, sin embargo, usó números decimales más tarde.
Richter calculó que la magnitud de un terremoto o sismo puede ser medida conociendo el tiempo transcurrido entre la aparición de las ondas P y las ondas S, y la amplitud de éstas. Las primeras hacen vibrar el medio en la misma dirección que la del desplazamiento de la onda, son ondas de compresión y expansión. De velocidad de propagación muy rápida (de 5 a 11 km/s), son las primeras en aparecer en un sismograma. A continuación, llegan las llamadas ondas S, que hacen vibrar el medio terrestre en sentido perpendicular a la dirección de su desplazamiento. Basándose en estos hechos, Richter desarrolló la siguiente ecuación:
M = \log A + 3 \log (8 \Delta t) - 2.92 \,\!
donde:
A\, = amplitud de las ondas en milímetros, tomada directamente en el sismograma.
\Delta t\, = tiempo en segundos desde el inicio de las ondas P al de las ondas S.
M\, = magnitud arbitraria pero constante a terremotos que liberan la misma cantidad de energía.
El uso del logaritmo en la escala es para reflejar la energía que se desprende en un terremoto. El logaritmo incorporado a la escala hace que los valores asignados a cada nivel aumenten de forma exponencial, y no de forma lineal. Richter tomó la idea del uso de logaritmos en la escala de magnitud estelar, usada en la astronomía para describir el brillo de las estrellas y de otros objetos celestes. Richter arbitrariamente escogió un temblor de magnitud 0 para describir un terremoto que produciría un desplazamiento horizontal máximo de 1 μm en un sismograma trazado por un sismómetro de torsión Wood-Anderson localizado a 100 km de distancia del epicentro. Esta decisión tuvo la intención de prevenir la asignación de magnitudes negativas. Sin embargo, la escala de Richter no tenía límite máximo o mínimo, y actualmente habiendo sismógrafos modernos más sensibles, éstos comúnmente detectan movimientos con magnitudes negativas.
Debido a las limitaciones del sismómetro de torsión Wood-Anderson usado para desarrollar la escala, la magnitud original ML no puede ser calculada para temblores mayores a 6,8 grados. Varios investigadores propusieron extensiones a la escala de magnitud local, siendo las más populares la magnitud de ondas superficiales MS y la magnitud de ondas de cuerpo Mb.
Problemas de la escala sismológica de Richter
El mayor problema con la magnitud local ML o de Richter radica en que es difícil relacionarla con las características físicas del origen del terremoto. Además, existe un efecto de saturación para magnitudes cercanas a 8,3-8,5, debido a la ley de Gutenberg-Richter del escalamiento del espectro sísmico que provoca que los métodos tradicionales de magnitudes (ML, Mb, MS) produzcan estimaciones de magnitudes similares para temblores que claramente son de intensidad diferente. A inicios del siglo XXI, la mayoría de los sismólogos consideró obsoletas las escalas de magnitudes tradicionales, siendo éstas reemplazadas por una medida físicamente más significativa llamada momento sísmico, el cual es más adecuado para relacionar los parámetros físicos, como la dimensión de la ruptura sísmica y la energía liberada por el terremoto.
En 1979, los sismólogos Thomas C. Hanks y Hiroo Kanamori, investigadores del Instituto de Tecnología de California, propusieron la escala sismológica de magnitud de momento (MW), la cual provee una forma de expresar momentos sísmicos que puede ser relacionada aproximadamente a las medidas tradicionales de magnitudes sísmicas.
Tabla de magnitudes
La mayor liberación de energía que ha podido ser medida ha sido durante el terremoto ocurrido en la ciudad de Valdivia (Chile), el 22 de mayo de 1960, el cual alcanzó una magnitud de momento (MW) de 9,5.
A continuación se muestra una tabla con las magnitudes de la escala y su equivalente en energía liberada.
MagnitudRichte r/ Equivalencia dela energía TNT / Referencias
–1,5 / 1 g /Rotura de una roca en una mesa de laboratorio
1,0 / 170 g /Pequeña explosión en un sitio de construcción
1,5 / 910 g / Bomba convencional de la II Guerra Mundial
2,0 / 6 kg / Explosión de un tanque de gas
2,5 / 29 kg / Bombardeo a la ciudad de Londres
3,0 / 181 kg / Explosión de una planta de gas
3,5 / 455 kg / Explosión de una mina
4,0 / 6 t / Bomba atómica de baja potencia.
5,0 / 199 t / Terremoto en Albolote de 1956 (Granada, España)
5,5 / 500 t / Terremoto en Colombia (El Calvario, Meta, Colombia; 2008
6,0 / 1.270 t / Terremoto de Double Spring Flat de 1994 (Nevada, Estados Unidos)
6,2 / Terremoto de Morón (2009) (Venezuela) Estado Carabobo
6,5 / 31.550 t /Terremoto de Northridge de 1994 (California, Estados Unidos)
7,0 / 199.000 t / Terremoto de Hyogo-Ken Nanbu de 1995 (Japón)
Terremoto de Puerto Príncipe de 2010 (Haití)
7,2 / 250.000 t / Terremoto de Spitak 1988 (Armenia) Terremoto en Puerto Rico 21 enero
7,5 / 750.000 t /Terremoto de Santiago de 1985 (Chile) Terremoto de Caucete 1977 (Argentina)
7,8 / 1.250.000 t / Terremoto de Sichuan de 2008 (China)
8,0 / 5.850.000 t / Terremoto del Perú de 2007 (Pisco, Perú)
8,1 / 6.450.000 t / Terremoto de México de 1985 (Distrito Federal, México)
8,5 / 31,55 millones de t / Terremoto de Sumatra de 2007
8,8 / 100 millones de t / Terremoto de Chile de 2010 (97 kilómetros al noroeste de Chillán)
9,0 / 150 millones de t / Terremoto de Lisboa de 1755
9,2 / 220 millones de t / Terremoto del océano Índico de 2004 Terremoto de Anchorage de 1964
9,5 260 millones de t / Terremoto de Valdivia de 1960 (Chile)
10,0 6.300 millones de t / Estimado para el choque de un meteorito rocoso de 2 km de diámetro que impacte a 25 km/s
13,0 / 108 megatones = 100 teratones / Impacto en la península de Yucatán que causó el cráter de Chicxulub hace 65 millones de años
La Escala de Magnitud de Momento
es una escala logarítmica usada para medir y comparar sismos. Está basada en la medición de la energía total que se libera en un terremoto. Fue introducida en 1979 por Thomas C. Hanks y Hiroo Kanamori como la sucesora de la escala de Richter.
Una ventaja de la escala de magnitud de momento es que no se satura cerca de valores altos.
Es decir, a diferencia de otras escalas, ésta no tiene un valor mínimo por encima del cual todos los terremotos más grandes reflejen magnitudes muy similares.
Otra ventaja que posee esta escala es que coincide y continúa con los parámetros de la escala de Richter.
Por estas razones, la escala de magnitud de momento es la más usada por sismólogos para medir y comparar terremotos de grandes proporciones. Sin embargo, la Inspección Geológica de los Estados Unidos no usa esta escala para terremotos de una magnitud inferior a 3,5.
A pesar de lo anterior, la escala de Richter es la que goza de más popularidad en la prensa. Luego, es común que la prensa comunique la magnitud de un terremoto en escala de Richter cuando éste ha sido en realidad medido con la escala de magnitud de momento.
En algunos casos esto no constituye un error, dada la coincidencia de parámetros de ambas escalas, aunque se recomienda indicar simplemente "magnitud" y evitar la coletilla "escala de Richter" para evitar errores.
Contenido
Magnitud de Momento Sísmico
La magnitud de momento sísmico (Mw) resume en un único número la cantidad de energía liberada por el terremoto (llamada momento sísmico, M0). La "w" en el subíndice del símbolo "(Mw)", proviene de la palabra inglesa "work", que significa "trabajo".
Mw coincide con las estimaciones obtenidas mediante otras escalas, como por ejemplo la escala de Richter. Es decir, Mw permite entender la cantidad de energía liberada por el terremoto (M0) en términos del resto de las escalas sísmicas. Es por esto que se usa Mw en vez de M0 como parámetro de la escala.
Los periódos de oscilación de las ondas sísmicas grandes son proporcionales al momento sísmico(M0). Es por esto que se suele medir la magnitud de momento Mw a través de los períodos de oscilación por medio de sismógrafos.
La relación entre Mw y M0 está dada por una fórmula desarrollada por Hiroo Kanamori en el Instituto de Sismología de California, que es la que sigue:
M_\mathrm{w} = {2 \over 3}\left(\log_{10} \frac{M_0}{\mathrm{N}\cdot \mathrm{m}} - 9.1\right) = {2 \over 3}\left(\log_{10} \frac{M_0}{\mathrm{dina}\cdot \mathrm{cm}} - 16.1\right)
Obsérvese que la magnitud de momento sísmico (Mw) se obtiene a partir de una función logarítmica. Por tanto, es una variable adimensional. En cambio, el momento sísmico (M0), al ser una variable que mide energía (fuerza x desplazamiento), tiene como unidad derivada la N x m o dina x cm. Más concretamente, el momento sísmico (M0) es una cantidad que combina el área de ruptura y la compensación de la falla con una medida de la resistencia de las rocas mediante la siguiente ecuación:
M_0 = \mu \times A \times u , donde:
* μ es el módulo de deformación de las rocas involucradas en el terremoto. Usualmente es de 30 gigapascales.
* A es el área de ruptura a lo largo de la falla geológica donde ocurrió el terremoto.
* u es el desplazamiento promedio de A.
Comparación con la Energía Sísmica Irradiada
La energía potencial es acumulada en el borde de la falla en la forma de estrés. Durante un terremoto la energía almacenada se transforma y resulta en:
* Rotura y deformación de las rocas
* Calor
* Energía Sísmica Irradiada Es
El momento sísmico M0 es una medida de la cantidad total de energía que se transforma durante el terremoto. Solo una pequeña fracción del momento sísmico M0 es convertida en Energía Sísmica Irradiada Es, que es la que los sismógrafos registran.
Usandola relación estimada:
E_\mathrm{s} = M_0\cdot10^{-4.8}=M_0\cdot1.6\times10^{-5}
Choy y Boatwright definieron en 1995 la magnitud de energía
M_\mathrm{e} = {2\over 3}\log_{10}\left(E_\mathrm{s}\right)-2.9
Comparación con explosiones nucleares
La energía liberada por armas nucleares es tradicionalmente expresada en términos de la energía almacenada en un kilotón o megatón del explosivo convencional trinitrotolueno (TNT).
Muchos académicos aseveran que una explosión de 1kt TNT es más o menos equivalente a un terremoto de magnitud 4 (regla de uso común en sismología). Esto lleva a la siguiente ecuación:
M_\mathrm{n} = {2 \over 3}\log_{10} \frac{m_{\mathrm{TNT}}}{\mbox{Mt}} + 6.
Donde mTNT es la masa del explosivo de TNT que es citado para fines comparativos.
Tal comparación no es muy significativa. En los terremotos, al igual que las explosiones de armas nucleares subterráneas, sólo una pequeña fracción del la cantidad total de energía transformada termina siendo radiada como energía sísmica. Luego, una eficiencia sísmica debe ser elegida para una bomba que es citada como comparación. Usando la energía específica del TNT (4.184 MJ/kg), la fórmula indicada anteriormente implica el asumir el hecho de que alrededor del 0,5% de la energía de la bomba es convertida en energía sísmica irradiada Es. Para verdaderas pruebas nucleares subterráneas, la actual eficiencia sísmica obtenida varía significativamente y depende del los parámetros de diseño y el lugar de la prueba llevada a cabo.
La Escala de Mercalli
es una escala de 12 puntos desarrollada para evaluar la intensidad de los terremotos a través de los efectos y daños causados a distintas estructuras. Debe su nombre al físico italiano Giuseppe Mercalli.
Los niveles bajos de la escala están asociados por la forma en que las personas sienten el temblor, mientras que los grados más altos se relacionan con el daño estructural observado.
Contenido
Historia
Esta escala de intensidad fue creada por el vulcanólogo italiano Giuseppe Mercalli un domingo por la mañana de 1883 y revisada en 1902, siendo expandida a doce grados por el alemán August Heinrich Sieberg y es la escala sismológica adecuada para medir la energía y no los efectos o intensidad por donde se había orientado la idea de Mercalli. Esta idea permite saber cuanto daño causa un terremoto.
Escala de Mercalli Modificada
Escala de Mercalli Modificada.
Grado - Descripción
I. Muy débil Imperceptible para la mayoría excepto en condiciones favorables.
II. Débil Perceptible sólo por algunas personas en reposo, particularmente aquellas que se encuentran ubicadas en los pisos superiores de los edificios. Los objetos colgantes suelen oscilar.
III. Leve Perceptible por algunas personas dentro de los edificios, especialmente en pisos altos. Muchos no lo reconocen como terremoto. Los automóviles detenidos se mueven ligeramente. Sensación semejante al paso de un camión pequeño.
IV. Moderado Perceptible por la mayoria de personas dentro de los edificios, por pocas personas en el exterior durante el día. Durante la noche algunas personas pueden despertarse. Perturbación en cerámica, puertas y ventanas. Las paredes suelen hacer ruido. Los automóviles detenidos se mueven con más energía. Sensación semejante al paso de un camión grande.
V. Poco Fuerte La mayoría de los objetos se caen, caminar es dificultoso, las ventanas suelen hacer ruido.
VI. Fuerte Lo perciben todas las personas, muchas personas asustadas suelen correr al exterior, paso insostenible. Ventanas, platos y cristalería dañadas. Los objetos se caen de sus lugares, muebles movidos o caídos. Revoque dañado. Daños leves a estructuras.
VII. Muy fuerte Pararse es dificultoso. Muebles dañados. Daños insignificantes en estructuras de buen diseño y construcción. Daños leves a moderados en estructuras ordinarias bien construidas. Daños considerables estructuras pobremente construidas. Mampostería dañada. Perceptible por personas en vehículos en movimiento.
VIII. Destructivo Daños leves en estructuras especializadas. Daños considerables en estructuras ordinarias bien construidas, posibles colapsos. Daño severo en estructuras pobremente construidas. Mampostería seriamente dañada o destruida. Muebles completamente fuera de lugar.
IX. Ruinoso Pánico generalizado. Daños considerables en estructuras especializadas, paredes fuera de plomo. Grandes daños en importantes edificios, con colapsos parciales. Edificios desplazados fuera de las bases.
X. Desastroso Algunas estructuras de madera bien construida destruidas. La mayoría de las estructuras de mampostería y el marco destruido con sus bases. Rieles doblados.
XI. Muy desastroso Pocas, si las hubiera, estructuras de mampostería permanecen en pie. Puentes destruidos. Rieles curvados en gran medida.
XII. Catastrófico Destrucción total con pocos sobrevivientes. Los objetos saltan al aire. Los niveles y perspectivas quedan distorsionadas.
La escala Medvedev-Sponheuer-Karnik
es una escala de intensidad macrosísmica usada para evaluar la fuerza de los movimientos de tierra basándose en los efectos destructivos en las construcciones humanas y en el cambio de aspecto del terreno, así como en el grado de afectación entre la población. Tiene doce grados de intensidad, siendo el más bajo el número uno, y expresados en números romanos para evitar el uso de decimales.
Fue propuesta en 1964 por Sergei Medvedev (Antigua URSS), Wilhelm Sponheuer (Antigua Alemania del Este, RDA) y Vít Kárník (Antigua Checoslovaquia). Está basada en los datos disponibles a principios de los años sesenta obtenidos mediante la aplicación de la escala Mercalli Modificada y también mediante la aplicación de la versión de 1953 de la escala de Medvedev conocida como la escala de intensidad sísmica de GEOFIAN.
La escala MSK pasó a ser muy utilizada en Europa y en la URSS con pequeñas modificaciones en la década de los setenta y a principios de los ochenta. Al inicio de la década de los noventa, la Comisión Sismológica Europea usó muchos de los principios postulados en la escala MSK para desarrollar la Escala Macroseísmica Europea, que es utilizada como estándar para la medición de la actividad sísmica y de su intensidad en los países europeos. La escala MSK-64 se usa aún en India, Israel, Rusia y en la Commonwealth.
La escala MSK es parecida a la escala Mercalli Modificada, que se utiliza en Estados Unidos.
Contenido
Grados
o 1.1 Grado I: no perceptible
o 1.2 Grado II: difícilmente perceptible
o 1.3 Grado III: débil
o 1.4 Grado IV: bastante notado
o 1.5 Grado V: algo fuerte
o 1.6 Grado VI: fuerte
o 1.7 Grado VII: muy fuerte
o 1.8 Grado VIII: bastante dañino
o 1.9 Grado IX: destructivo
o 1.10 Grado X: devastador
o 1.11 Grado XI: catastrófico
o 1.12 Grado XII: extremadamente catastrófico
Grados
Terremoto en Sicilia.
Grado I: no perceptible
Registrado sólo por los sismógrafos más sensibles. No afecta ni a objetos ni a edificios ni estructuras.
Grado II: difícilmente perceptible
Las estructuras y objetos no lo notan, pero sí pueden notarlo personas en reposo.
Grado III: débil
Los edificios no sufren daño, aunque algunos objetos colgantes pueden balancearse ligeramente. Puede ser notado por unos pocos dentro de casas. Vibración comparable a las provocadas por un camión pequeño.
Grado IV: bastante notado
Dentro de los edificios es notado por muchos. Algunas personas dormidas se despiertan. Cristales, porcelana, ventanas y puertas tiemblan y hacen pequeños golpeteos. Algunos pocos muebles que no pesen pueden vibrar visiblemente. Vibraciones moderadas, comparadas a las provocadas por un camión grande.
Grado V: algo fuerte
La mayoría de las personas dentro de edificios lo nota, pero sólo unos pocos al aire libre, donde corren algunos pocos, asustados. Los observadores notan el balanceo del edificio, de los muebles o el temblor de las paredes. Los objetos colgantes se balancean muy notablemente. La porcelana y los vasos chocan entre sí y hacen bastante ruido. Muchas personas que duermen despiertan. Las ventanas y las puertas empiezan a abrirse y cerrarse. En algunos casos, incluso algunas ventanas pueden llegar a romperse. Los líquidos se desplazan y se pueden salir de recipientes llenos. Los animales en casas pueden empezar a sentirse intranquilos. Algunos edificios mal construidos sufren ligeros daños.
Grado VI: fuerte
La gran mayoría lo siente dentro de edificios y ya son muchos los que lo sienten fuera. Unas pocas personas pierden el equilibrio. Mucha gente corre asustada hacia la calle. Pueden caerse pequeños objetos y los muebles sufren un leve desplazamiento. Vajillas y cristalerías pueden romperse. Puede que animales de granja se sientan inquietos. Daño visible en obras de trabajos de mampostería, como grietas en la escayola. También hay grietas solitarias en el suelo.
Grado VII: muy fuerte
La mayoría de la gente está asustada e intenta correr hacia la calle. Los muebles se desplazan y pueden llegar a volcarse. Los objetos en las estanterías caen. El agua salpica en los recipientes. Daño grave a edificios viejos. Las chimeneas de mampostería se desploman. Aparecen grietas en los edificios. Se producen pequeños corrimientos de tierra.
Grado VIII: bastante dañino
A muchas personas les es difícil mantener el equilibrio, incluso al aire libre. Los muebles corren riesgo de volcarse. Se agravan las grietas, los edificios más antiguos se derrumban parcialmente o sufren grandes daños. Se pueden apreciar ondas en suelos muy blandos. Se pueden producir corrimientos de tierra y desprendimiento de rocas.
Puente Yamabe en Chuetsu en 2004.
Grado IX: destructivo
Pánico general. Mucha gente cae a la fuerza al suelo. Se ven ondas en suelos no tan blandos. Se desploman las estructuras no muy bien construidas. Daño considerable a estructuras bien construidas. Se rompen las canalizaciones subterráneas. Grietas en el suelo y corrimientos de tierra generalizados.
Grado X: devastador
Se destruyen puentes y diques y se tuercen las vías de ferrocarril, así que las infraestructuras quedan inutilizadas. Desprendimientos de tierra más que generalizados y más graves.
Grado XI: catastrófico
La mayoría de las construcciones son destruidas. Las perturbaciones del terreno se extienden por todos lados. Riesgo de tsunamis.
Grado XII: extremadamente catastrófico
Todas las construcciones, subterráneas o no, han sido destruidas. El terreno y el paisaje han cambiado, así como el cauce de los ríos. Tsunamis.

no sabia q postear y luego de ver lo acurrido en chile...pense q seria bueno aprender un poco sobre los terremotos...
que son y demas ....
bueno antes que nada agamos un indice

# 1 Origen
# 2 Localizaciones
# 3 Propagación
# 4 Fallas geológicas
# 5 Ondas elásticas
# 6 Terremotos inducidos
# 7 Escalas de Magnitudes e Intensidades
-Richter
-Magnitud de momento
-Mercali
- Medvedev-Sponheuer-Karnik
y empesemos a aprender

1-Un terremoto — también llamado seísmo o sismo (del griego "σεισμός", temblor) o, simplemente, temblor de tierra (en algunas zonas se considera que un seísmo o sismo o temblor es un terremoto de menor magnitud) — es una sacudida del terreno que se produce debido al choque de las placas tectónicas y a la liberación de energía en el curso de una reorganización brusca de materiales de la corteza terrestre al superar el estado de equilibrio mecánico. Los más importantes y frecuentes se producen cuando se libera energía potencial elástica acumulada en la deformación gradual de las rocas contiguas al plano de una falla activa, pero también pueden ocurrir por otras causas, por ejemplo en torno a procesos volcánicos, por hundimiento de cavidades cársticas o por movimientos de ladera.
El origen de los terremotos se encuentra en la acumulación de energía que se produce cuando los materiales del interior de la Tierra se desplazan, buscando el equilibrio, desde situaciones inestables que son consecuencia de las actividades volcánicas y tectónicas, que se producen principalmente en los bordes de la placa.
Aunque las actividades tectónica y volcánica son las principales causas por las que se generan los terremotos, existen otros muchos factores que pueden originarlos: desprendimientos de rocas en las laderas de las montañas y el hundimiento de cavernas, variaciones bruscas en la presión atmosférica por ciclones e incluso la actividad humana. Estos mecanismos generan eventos de baja magnitud que generalmente caen en el rango de microsismos, temblores que sólo pueden ser detectados por sismógrafos.
2-Los terremotos tectónicos se suelen producir en zonas donde la concentración de fuerzas generadas por los límites de las placas tectónicas dan lugar a movimientos de reajuste en el interior y en la superficie de la Tierra. Es por esto que los sismos o seísmos de origen tectónico están íntimamente asociados con la formación de fallas geológicas. Suelen producirse al final de un ciclo denominado ciclo sísmico, que es el período de tiempo durante el cual se acumula deformación en el interior de la Tierra que más tarde se liberará repentinamente. Dicha liberación se corresponde con el terremoto, tras el cual la deformación comienza a acumularse nuevamente.
El punto interior de la Tierra donde se produce el sismo se denomina foco sísmico o hipocentro, y el punto de la superficie que se halla directamente en la vertical del hipocentro —y que, por tanto, es el primer afectado por la sacudida— recibe el nombre de epicentro.
En un terremoto se distinguen:
* hipocentro, zona interior profunda, donde se produce el terremoto.
* epicentro, área de la superficie perpendicular al hipocentro, donde repercuten con mayor intensidad las ondas sísmicas.
La probabilidad de ocurrencia de terremotos de una determinada magnitud en una región concreta viene dada por una distribución de Poisson. Así la probabilidad de ocurrencia de k terremotos de magnitud M durante un período T en cierta región está dada por:
Donde:
, es el tiempo de retorno de un terremoto de intensidad M, que coincide con el tiempo medio entre dos terremotos de intensidad M.
3-El movimiento sísmico se propaga mediante ondas elásticas (similares al sonido), a partir del hipocentro. Las ondas sísmicas se presentan en tres tipos principales:
* Ondas longitudinales, primarias o P: tipo de ondas de cuerpo que se propagan a una velocidad de entre 8 y 13 km/s y en el mismo sentido que la vibración de las partículas. Circulan por el interior de la Tierra, atravesando tanto líquidos como sólidos. Son las primeras que registran los aparatos de medida o sismógrafos, de ahí su nombre "P".
* Ondas transversales, secundarias o S: son ondas de cuerpo más lentas que las anteriores (entre 4 y 8 km/s) y se propagan perpendicularmente en el sentido de vibración de las partículas. Atraviesan únicamente los sólidos y se registran en segundo lugar en los aparatos de medida.
* Ondas superficiales: son las más lentas de todas (3,5 km/s) y son producto de la interacción entre las ondas P y S a lo largo de la superficie de la Tierra. Son las que producen más daños. Se propagan a partir del epicentro y son similares a las ondas que se forman sobre la superficie del mar. Este tipo de ondas son las que se registran en último lugar en los sismógrafos.
4-Una falla es una fractura que separa dos bloques de roca, los cuales pueden deslizarse uno respecto al otro en forma paralela a la fractura. A cada deslizamiento repentino de estos bloques se produce un condón. Existen tres tipos de fallas: fallas de rumbo o transcurrentes, fallas normales y fallas inversas. Las fallas de rumbo son fallas verticales (o casi verticales) donde los bloques se mueven horizontalmente. Este movimiento horizontal puede ser de tipo lateral derecho o de tipo lateral izquierdo, dependiendo de si un observador parado en uno de los bloques ve que el bloque de enfrente se mueve hacia la derecha o hacia la izquierda. Las fallas normales son fracturas inclinadas con bloques que se deslizan en forma vertical, principalmente. En este caso, los bloques reciben el nombre de techo y piso; el techo es el bloque que yace sobre la fractura inclinada. Si el techo de la falla se mueve hacia abajo, la falla es de tipo normal. En caso contrario, se trata de una falla inversa. Cuando el movimiento de los bloques es una combinación de movimiento horizontal y vertical se habla de una falla oblicua.
5-La energía liberada durante un temblor se propaga por la Tierra en forma de ondas elásticas denominadas ondas P, ondas S y ondas superficiales de Love y Rayleigh. Las ondas P hacen que el suelo se mueva hacia delante y hacia atrás en la misma dirección en la que se propagan (ondas de compresión); las ondas S producen movimientos perpendiculares a su dirección de propagación (ondas de cizalla), y las ondas de Love y Rayleigh producen movimientos horizontales y elíptico-longitudinales del suelo, respectivamente. Por su capacidad de transmitirse por el interior de la Tierra, a las ondas P y S también se les conoce como ondas de cuerpo. A diferencia de éstas, y como su nombre lo indica, las ondas superficiales solamente viajan cerca de la superficie terrestre. La onda P, por ser la más rápida, es la primera en registrarse en una estación sismológica. Se transmite por la corteza a una velocidad promedio de 6 km/s. La onda S es más lenta y se propaga a una velocidad de aproximadamente el 60% de la velocidad de la onda P.
.
6-Hoy en día se tiene la certeza de que si se inyectan en el subsuelo, ya sea como consecuencia de la eliminación de desechos en solución o en suspensión, o por la extracción de hidrocarburos, se provoca, con un brusco aumento de la presión intersticial, una intensificación de la actividad sísmica en las regiones ya sometidas a fuertes tensiones. Pronto se deberían controlar mejor estos sismos inducidos y, en consecuencia, preverlos, tal vez, pequeños sismos inducidos pudieran evitar el desencadenamiento de un terremoto de mayor magnitud.
7-Escalas de Magnitudes e Intensidades
Escala sismológica de Richter
Como se muestra en esta reproducción de un sismograma, las ondas P se registran antes que las ondas S: el tiempo transcurrido entre ambos instantes es Δt. Este valor y el de la amplitud máxima (A) de las ondas S, le permitieron a Richter calcular la magnitud de un terremoto.
La escala sismológica de Richter, también conocida como escala de magnitud local (ML), es una escala logarítmica arbitraria que asigna un número para cuantificar el efecto de un terremoto, denominada así en honor del sismólogo estadounidense Charles Richter (1900-1985).
Contenido
Desarrollo
Esta escala de magnitud local y solo aplicable a los terremotos originados en la falla de San Andrés, fue desarrollada por Charles Richter con la colaboración de Beno Gutenberg en 1935, ambos investigadores del Instituto de Tecnología de California, con el propósito original de separar el gran número de terremotos pequeños de los menos frecuentes terremotos mayores observados en California en su tiempo. La escala fue desarrollada para estudiar únicamente aquellos terremotos ocurridos dentro de un área particular del sur de California cuyos sismogramas hayan sido recogidos exclusivamente por el sismómetro de torsión de Wood-Anderson. Richter reportó inicialmente valores con una precisión de un cuarto de unidad, sin embargo, usó números decimales más tarde.
Richter calculó que la magnitud de un terremoto o sismo puede ser medida conociendo el tiempo transcurrido entre la aparición de las ondas P y las ondas S, y la amplitud de éstas. Las primeras hacen vibrar el medio en la misma dirección que la del desplazamiento de la onda, son ondas de compresión y expansión. De velocidad de propagación muy rápida (de 5 a 11 km/s), son las primeras en aparecer en un sismograma. A continuación, llegan las llamadas ondas S, que hacen vibrar el medio terrestre en sentido perpendicular a la dirección de su desplazamiento. Basándose en estos hechos, Richter desarrolló la siguiente ecuación:
M = \log A + 3 \log (8 \Delta t) - 2.92 \,\!
donde:
A\, = amplitud de las ondas en milímetros, tomada directamente en el sismograma.
\Delta t\, = tiempo en segundos desde el inicio de las ondas P al de las ondas S.
M\, = magnitud arbitraria pero constante a terremotos que liberan la misma cantidad de energía.
El uso del logaritmo en la escala es para reflejar la energía que se desprende en un terremoto. El logaritmo incorporado a la escala hace que los valores asignados a cada nivel aumenten de forma exponencial, y no de forma lineal. Richter tomó la idea del uso de logaritmos en la escala de magnitud estelar, usada en la astronomía para describir el brillo de las estrellas y de otros objetos celestes. Richter arbitrariamente escogió un temblor de magnitud 0 para describir un terremoto que produciría un desplazamiento horizontal máximo de 1 μm en un sismograma trazado por un sismómetro de torsión Wood-Anderson localizado a 100 km de distancia del epicentro. Esta decisión tuvo la intención de prevenir la asignación de magnitudes negativas. Sin embargo, la escala de Richter no tenía límite máximo o mínimo, y actualmente habiendo sismógrafos modernos más sensibles, éstos comúnmente detectan movimientos con magnitudes negativas.
Debido a las limitaciones del sismómetro de torsión Wood-Anderson usado para desarrollar la escala, la magnitud original ML no puede ser calculada para temblores mayores a 6,8 grados. Varios investigadores propusieron extensiones a la escala de magnitud local, siendo las más populares la magnitud de ondas superficiales MS y la magnitud de ondas de cuerpo Mb.
Problemas de la escala sismológica de Richter
El mayor problema con la magnitud local ML o de Richter radica en que es difícil relacionarla con las características físicas del origen del terremoto. Además, existe un efecto de saturación para magnitudes cercanas a 8,3-8,5, debido a la ley de Gutenberg-Richter del escalamiento del espectro sísmico que provoca que los métodos tradicionales de magnitudes (ML, Mb, MS) produzcan estimaciones de magnitudes similares para temblores que claramente son de intensidad diferente. A inicios del siglo XXI, la mayoría de los sismólogos consideró obsoletas las escalas de magnitudes tradicionales, siendo éstas reemplazadas por una medida físicamente más significativa llamada momento sísmico, el cual es más adecuado para relacionar los parámetros físicos, como la dimensión de la ruptura sísmica y la energía liberada por el terremoto.
En 1979, los sismólogos Thomas C. Hanks y Hiroo Kanamori, investigadores del Instituto de Tecnología de California, propusieron la escala sismológica de magnitud de momento (MW), la cual provee una forma de expresar momentos sísmicos que puede ser relacionada aproximadamente a las medidas tradicionales de magnitudes sísmicas.
Tabla de magnitudes
La mayor liberación de energía que ha podido ser medida ha sido durante el terremoto ocurrido en la ciudad de Valdivia (Chile), el 22 de mayo de 1960, el cual alcanzó una magnitud de momento (MW) de 9,5.
A continuación se muestra una tabla con las magnitudes de la escala y su equivalente en energía liberada.
MagnitudRichte r/ Equivalencia dela energía TNT / Referencias
–1,5 / 1 g /Rotura de una roca en una mesa de laboratorio
1,0 / 170 g /Pequeña explosión en un sitio de construcción
1,5 / 910 g / Bomba convencional de la II Guerra Mundial
2,0 / 6 kg / Explosión de un tanque de gas
2,5 / 29 kg / Bombardeo a la ciudad de Londres
3,0 / 181 kg / Explosión de una planta de gas
3,5 / 455 kg / Explosión de una mina
4,0 / 6 t / Bomba atómica de baja potencia.
5,0 / 199 t / Terremoto en Albolote de 1956 (Granada, España)
5,5 / 500 t / Terremoto en Colombia (El Calvario, Meta, Colombia; 2008
6,0 / 1.270 t / Terremoto de Double Spring Flat de 1994 (Nevada, Estados Unidos)
6,2 / Terremoto de Morón (2009) (Venezuela) Estado Carabobo
6,5 / 31.550 t /Terremoto de Northridge de 1994 (California, Estados Unidos)
7,0 / 199.000 t / Terremoto de Hyogo-Ken Nanbu de 1995 (Japón)
Terremoto de Puerto Príncipe de 2010 (Haití)
7,2 / 250.000 t / Terremoto de Spitak 1988 (Armenia) Terremoto en Puerto Rico 21 enero
7,5 / 750.000 t /Terremoto de Santiago de 1985 (Chile) Terremoto de Caucete 1977 (Argentina)
7,8 / 1.250.000 t / Terremoto de Sichuan de 2008 (China)
8,0 / 5.850.000 t / Terremoto del Perú de 2007 (Pisco, Perú)
8,1 / 6.450.000 t / Terremoto de México de 1985 (Distrito Federal, México)
8,5 / 31,55 millones de t / Terremoto de Sumatra de 2007
8,8 / 100 millones de t / Terremoto de Chile de 2010 (97 kilómetros al noroeste de Chillán)
9,0 / 150 millones de t / Terremoto de Lisboa de 1755
9,2 / 220 millones de t / Terremoto del océano Índico de 2004 Terremoto de Anchorage de 1964
9,5 260 millones de t / Terremoto de Valdivia de 1960 (Chile)
10,0 6.300 millones de t / Estimado para el choque de un meteorito rocoso de 2 km de diámetro que impacte a 25 km/s
13,0 / 108 megatones = 100 teratones / Impacto en la península de Yucatán que causó el cráter de Chicxulub hace 65 millones de años
La Escala de Magnitud de Momento
es una escala logarítmica usada para medir y comparar sismos. Está basada en la medición de la energía total que se libera en un terremoto. Fue introducida en 1979 por Thomas C. Hanks y Hiroo Kanamori como la sucesora de la escala de Richter.
Una ventaja de la escala de magnitud de momento es que no se satura cerca de valores altos.
Es decir, a diferencia de otras escalas, ésta no tiene un valor mínimo por encima del cual todos los terremotos más grandes reflejen magnitudes muy similares.
Otra ventaja que posee esta escala es que coincide y continúa con los parámetros de la escala de Richter.
Por estas razones, la escala de magnitud de momento es la más usada por sismólogos para medir y comparar terremotos de grandes proporciones. Sin embargo, la Inspección Geológica de los Estados Unidos no usa esta escala para terremotos de una magnitud inferior a 3,5.
A pesar de lo anterior, la escala de Richter es la que goza de más popularidad en la prensa. Luego, es común que la prensa comunique la magnitud de un terremoto en escala de Richter cuando éste ha sido en realidad medido con la escala de magnitud de momento.
En algunos casos esto no constituye un error, dada la coincidencia de parámetros de ambas escalas, aunque se recomienda indicar simplemente "magnitud" y evitar la coletilla "escala de Richter" para evitar errores.
Contenido
Magnitud de Momento Sísmico
La magnitud de momento sísmico (Mw) resume en un único número la cantidad de energía liberada por el terremoto (llamada momento sísmico, M0). La "w" en el subíndice del símbolo "(Mw)", proviene de la palabra inglesa "work", que significa "trabajo".
Mw coincide con las estimaciones obtenidas mediante otras escalas, como por ejemplo la escala de Richter. Es decir, Mw permite entender la cantidad de energía liberada por el terremoto (M0) en términos del resto de las escalas sísmicas. Es por esto que se usa Mw en vez de M0 como parámetro de la escala.
Los periódos de oscilación de las ondas sísmicas grandes son proporcionales al momento sísmico(M0). Es por esto que se suele medir la magnitud de momento Mw a través de los períodos de oscilación por medio de sismógrafos.
La relación entre Mw y M0 está dada por una fórmula desarrollada por Hiroo Kanamori en el Instituto de Sismología de California, que es la que sigue:
M_\mathrm{w} = {2 \over 3}\left(\log_{10} \frac{M_0}{\mathrm{N}\cdot \mathrm{m}} - 9.1\right) = {2 \over 3}\left(\log_{10} \frac{M_0}{\mathrm{dina}\cdot \mathrm{cm}} - 16.1\right)
Obsérvese que la magnitud de momento sísmico (Mw) se obtiene a partir de una función logarítmica. Por tanto, es una variable adimensional. En cambio, el momento sísmico (M0), al ser una variable que mide energía (fuerza x desplazamiento), tiene como unidad derivada la N x m o dina x cm. Más concretamente, el momento sísmico (M0) es una cantidad que combina el área de ruptura y la compensación de la falla con una medida de la resistencia de las rocas mediante la siguiente ecuación:
M_0 = \mu \times A \times u , donde:
* μ es el módulo de deformación de las rocas involucradas en el terremoto. Usualmente es de 30 gigapascales.
* A es el área de ruptura a lo largo de la falla geológica donde ocurrió el terremoto.
* u es el desplazamiento promedio de A.
Comparación con la Energía Sísmica Irradiada
La energía potencial es acumulada en el borde de la falla en la forma de estrés. Durante un terremoto la energía almacenada se transforma y resulta en:
* Rotura y deformación de las rocas
* Calor
* Energía Sísmica Irradiada Es
El momento sísmico M0 es una medida de la cantidad total de energía que se transforma durante el terremoto. Solo una pequeña fracción del momento sísmico M0 es convertida en Energía Sísmica Irradiada Es, que es la que los sismógrafos registran.
Usandola relación estimada:
E_\mathrm{s} = M_0\cdot10^{-4.8}=M_0\cdot1.6\times10^{-5}
Choy y Boatwright definieron en 1995 la magnitud de energía
M_\mathrm{e} = {2\over 3}\log_{10}\left(E_\mathrm{s}\right)-2.9
Comparación con explosiones nucleares
La energía liberada por armas nucleares es tradicionalmente expresada en términos de la energía almacenada en un kilotón o megatón del explosivo convencional trinitrotolueno (TNT).
Muchos académicos aseveran que una explosión de 1kt TNT es más o menos equivalente a un terremoto de magnitud 4 (regla de uso común en sismología). Esto lleva a la siguiente ecuación:
M_\mathrm{n} = {2 \over 3}\log_{10} \frac{m_{\mathrm{TNT}}}{\mbox{Mt}} + 6.
Donde mTNT es la masa del explosivo de TNT que es citado para fines comparativos.
Tal comparación no es muy significativa. En los terremotos, al igual que las explosiones de armas nucleares subterráneas, sólo una pequeña fracción del la cantidad total de energía transformada termina siendo radiada como energía sísmica. Luego, una eficiencia sísmica debe ser elegida para una bomba que es citada como comparación. Usando la energía específica del TNT (4.184 MJ/kg), la fórmula indicada anteriormente implica el asumir el hecho de que alrededor del 0,5% de la energía de la bomba es convertida en energía sísmica irradiada Es. Para verdaderas pruebas nucleares subterráneas, la actual eficiencia sísmica obtenida varía significativamente y depende del los parámetros de diseño y el lugar de la prueba llevada a cabo.
La Escala de Mercalli
es una escala de 12 puntos desarrollada para evaluar la intensidad de los terremotos a través de los efectos y daños causados a distintas estructuras. Debe su nombre al físico italiano Giuseppe Mercalli.
Los niveles bajos de la escala están asociados por la forma en que las personas sienten el temblor, mientras que los grados más altos se relacionan con el daño estructural observado.
Contenido
Historia
Esta escala de intensidad fue creada por el vulcanólogo italiano Giuseppe Mercalli un domingo por la mañana de 1883 y revisada en 1902, siendo expandida a doce grados por el alemán August Heinrich Sieberg y es la escala sismológica adecuada para medir la energía y no los efectos o intensidad por donde se había orientado la idea de Mercalli. Esta idea permite saber cuanto daño causa un terremoto.
Escala de Mercalli Modificada
Escala de Mercalli Modificada.
Grado - Descripción
I. Muy débil Imperceptible para la mayoría excepto en condiciones favorables.
II. Débil Perceptible sólo por algunas personas en reposo, particularmente aquellas que se encuentran ubicadas en los pisos superiores de los edificios. Los objetos colgantes suelen oscilar.
III. Leve Perceptible por algunas personas dentro de los edificios, especialmente en pisos altos. Muchos no lo reconocen como terremoto. Los automóviles detenidos se mueven ligeramente. Sensación semejante al paso de un camión pequeño.
IV. Moderado Perceptible por la mayoria de personas dentro de los edificios, por pocas personas en el exterior durante el día. Durante la noche algunas personas pueden despertarse. Perturbación en cerámica, puertas y ventanas. Las paredes suelen hacer ruido. Los automóviles detenidos se mueven con más energía. Sensación semejante al paso de un camión grande.
V. Poco Fuerte La mayoría de los objetos se caen, caminar es dificultoso, las ventanas suelen hacer ruido.
VI. Fuerte Lo perciben todas las personas, muchas personas asustadas suelen correr al exterior, paso insostenible. Ventanas, platos y cristalería dañadas. Los objetos se caen de sus lugares, muebles movidos o caídos. Revoque dañado. Daños leves a estructuras.
VII. Muy fuerte Pararse es dificultoso. Muebles dañados. Daños insignificantes en estructuras de buen diseño y construcción. Daños leves a moderados en estructuras ordinarias bien construidas. Daños considerables estructuras pobremente construidas. Mampostería dañada. Perceptible por personas en vehículos en movimiento.
VIII. Destructivo Daños leves en estructuras especializadas. Daños considerables en estructuras ordinarias bien construidas, posibles colapsos. Daño severo en estructuras pobremente construidas. Mampostería seriamente dañada o destruida. Muebles completamente fuera de lugar.
IX. Ruinoso Pánico generalizado. Daños considerables en estructuras especializadas, paredes fuera de plomo. Grandes daños en importantes edificios, con colapsos parciales. Edificios desplazados fuera de las bases.
X. Desastroso Algunas estructuras de madera bien construida destruidas. La mayoría de las estructuras de mampostería y el marco destruido con sus bases. Rieles doblados.
XI. Muy desastroso Pocas, si las hubiera, estructuras de mampostería permanecen en pie. Puentes destruidos. Rieles curvados en gran medida.
XII. Catastrófico Destrucción total con pocos sobrevivientes. Los objetos saltan al aire. Los niveles y perspectivas quedan distorsionadas.
La escala Medvedev-Sponheuer-Karnik
es una escala de intensidad macrosísmica usada para evaluar la fuerza de los movimientos de tierra basándose en los efectos destructivos en las construcciones humanas y en el cambio de aspecto del terreno, así como en el grado de afectación entre la población. Tiene doce grados de intensidad, siendo el más bajo el número uno, y expresados en números romanos para evitar el uso de decimales.
Fue propuesta en 1964 por Sergei Medvedev (Antigua URSS), Wilhelm Sponheuer (Antigua Alemania del Este, RDA) y Vít Kárník (Antigua Checoslovaquia). Está basada en los datos disponibles a principios de los años sesenta obtenidos mediante la aplicación de la escala Mercalli Modificada y también mediante la aplicación de la versión de 1953 de la escala de Medvedev conocida como la escala de intensidad sísmica de GEOFIAN.
La escala MSK pasó a ser muy utilizada en Europa y en la URSS con pequeñas modificaciones en la década de los setenta y a principios de los ochenta. Al inicio de la década de los noventa, la Comisión Sismológica Europea usó muchos de los principios postulados en la escala MSK para desarrollar la Escala Macroseísmica Europea, que es utilizada como estándar para la medición de la actividad sísmica y de su intensidad en los países europeos. La escala MSK-64 se usa aún en India, Israel, Rusia y en la Commonwealth.
La escala MSK es parecida a la escala Mercalli Modificada, que se utiliza en Estados Unidos.
Contenido
Grados
o 1.1 Grado I: no perceptible
o 1.2 Grado II: difícilmente perceptible
o 1.3 Grado III: débil
o 1.4 Grado IV: bastante notado
o 1.5 Grado V: algo fuerte
o 1.6 Grado VI: fuerte
o 1.7 Grado VII: muy fuerte
o 1.8 Grado VIII: bastante dañino
o 1.9 Grado IX: destructivo
o 1.10 Grado X: devastador
o 1.11 Grado XI: catastrófico
o 1.12 Grado XII: extremadamente catastrófico
Grados
Terremoto en Sicilia.
Grado I: no perceptible
Registrado sólo por los sismógrafos más sensibles. No afecta ni a objetos ni a edificios ni estructuras.
Grado II: difícilmente perceptible
Las estructuras y objetos no lo notan, pero sí pueden notarlo personas en reposo.
Grado III: débil
Los edificios no sufren daño, aunque algunos objetos colgantes pueden balancearse ligeramente. Puede ser notado por unos pocos dentro de casas. Vibración comparable a las provocadas por un camión pequeño.
Grado IV: bastante notado
Dentro de los edificios es notado por muchos. Algunas personas dormidas se despiertan. Cristales, porcelana, ventanas y puertas tiemblan y hacen pequeños golpeteos. Algunos pocos muebles que no pesen pueden vibrar visiblemente. Vibraciones moderadas, comparadas a las provocadas por un camión grande.
Grado V: algo fuerte
La mayoría de las personas dentro de edificios lo nota, pero sólo unos pocos al aire libre, donde corren algunos pocos, asustados. Los observadores notan el balanceo del edificio, de los muebles o el temblor de las paredes. Los objetos colgantes se balancean muy notablemente. La porcelana y los vasos chocan entre sí y hacen bastante ruido. Muchas personas que duermen despiertan. Las ventanas y las puertas empiezan a abrirse y cerrarse. En algunos casos, incluso algunas ventanas pueden llegar a romperse. Los líquidos se desplazan y se pueden salir de recipientes llenos. Los animales en casas pueden empezar a sentirse intranquilos. Algunos edificios mal construidos sufren ligeros daños.
Grado VI: fuerte
La gran mayoría lo siente dentro de edificios y ya son muchos los que lo sienten fuera. Unas pocas personas pierden el equilibrio. Mucha gente corre asustada hacia la calle. Pueden caerse pequeños objetos y los muebles sufren un leve desplazamiento. Vajillas y cristalerías pueden romperse. Puede que animales de granja se sientan inquietos. Daño visible en obras de trabajos de mampostería, como grietas en la escayola. También hay grietas solitarias en el suelo.
Grado VII: muy fuerte
La mayoría de la gente está asustada e intenta correr hacia la calle. Los muebles se desplazan y pueden llegar a volcarse. Los objetos en las estanterías caen. El agua salpica en los recipientes. Daño grave a edificios viejos. Las chimeneas de mampostería se desploman. Aparecen grietas en los edificios. Se producen pequeños corrimientos de tierra.
Grado VIII: bastante dañino
A muchas personas les es difícil mantener el equilibrio, incluso al aire libre. Los muebles corren riesgo de volcarse. Se agravan las grietas, los edificios más antiguos se derrumban parcialmente o sufren grandes daños. Se pueden apreciar ondas en suelos muy blandos. Se pueden producir corrimientos de tierra y desprendimiento de rocas.
Puente Yamabe en Chuetsu en 2004.
Grado IX: destructivo
Pánico general. Mucha gente cae a la fuerza al suelo. Se ven ondas en suelos no tan blandos. Se desploman las estructuras no muy bien construidas. Daño considerable a estructuras bien construidas. Se rompen las canalizaciones subterráneas. Grietas en el suelo y corrimientos de tierra generalizados.
Grado X: devastador
Se destruyen puentes y diques y se tuercen las vías de ferrocarril, así que las infraestructuras quedan inutilizadas. Desprendimientos de tierra más que generalizados y más graves.
Grado XI: catastrófico
La mayoría de las construcciones son destruidas. Las perturbaciones del terreno se extienden por todos lados. Riesgo de tsunamis.
Grado XII: extremadamente catastrófico
Todas las construcciones, subterráneas o no, han sido destruidas. El terreno y el paisaje han cambiado, así como el cauce de los ríos. Tsunamis.