ByMe
Usuario (Argentina)
La pluma de Monteagudo La Gaceta de Buenos Aires, enero de 1812. El 28 de enero de 1825 moría apuñalado en Lima Bernardo de Monteagudo. Este patriota de la independencia americana inició su carrera política participando en la revolución de Chuquisaca el 25 de mayo de 1809. Luego formó parte de la expedición al Alto Perú y de la expedición libertadora del Perú, a las órdenes del general José de San Martín. Fue uno de los primeros periodistas de la Revolución de Mayo. En 1812 fundó Mártir o Libre. En enero de ese mismo año, desde las páginas de La Gaceta de Buenos Aires, escribía las siguientes líneas. Observación Un pueblo que repentinamente pasa de la servidumbre a la LIBERTAD está en un próximo peligro de precipitarse en la anarquía y retrogradar a la esclavitud. El placer embriagante que recibe de un nuevo objeto, que determina su admiración, le expone a abusar de una ventaja cuya medida ignora, porque jamás ha poseído. El necesita que los peligros pongan freno a sus deseos exaltados, antes que su felicidad lo haga desgraciado, si en sus mismas alteraciones no le indica los medios de hacerse inalterable. El imperio de las pasiones sobre el corazón del hombre es demasiado lánguido cuando el peso de sus desgracias lo abruma: pero cuando la prosperidad lo dilata, y el placer lo anima, suelta entonces la brida a sus caprichos y debilidades. La América ha convertido su llanto en risa de un momento a otro, y a la humillación en que vivía se ha sucedido la independencia en que debe morir: pero aún le falta la sanción del tiempo, y es preciso confesar que entretanto influirán más las pasiones sorprendidas por este nuevo espectáculo, que la razón misma guiada por el impulso del orden. En esta precisa lid los peligros deben mirarse como un don del cielo, y yo sostengo que nuestra conservación pende de los grandes riesgos que nos rodean. Si ellos desapareciesen repentinamente de las costas del Uruguay, y de las escarpadas montañas del Perú, ¿quién duda que entonces las rivalidades, las disidencias, los odios, la, ambición y todas las pasiones, renovarían una guerra interior más funesta a la LIBERTAD, que todas las armas de los tiranos? Al abrigo de una calma exterior se suscitarían mil borrascas interiores, se animarían los celos, y ya cada uno seguro de las actuales amenazas, sólo se esforzaría a ganar partido para prevalerse después de él, y usurpar los derechos del pueblo, como lo intentarían muchos hipócritas a quienes ya conocemos, por más que se justifiquen y procuren profanar la virtud de los buenos para disfrazar sus crímenes. Por estas razones yo quiero que los escollos se amontonen delante de nosotros, quiero que nuestra cerviz esté siempre amenazada del yugo opresor, quiero ver siempre en conflictos a los que se jactan de patriotas, y quiero que alguna vez lleguemos al mismo borde del precipicio, para conocer entonces la energía de que son capaces. Observo mucho tiempo ha, que sólo cuando amenaza un peligro, se conmueven los resortes de nuestra energía, se obra con rapidez, y se proyecta con calor; pero luego que pasa el conflicto vuelve la languidez y la indiferencia; y la unión que empezaba a conciliarse a vista del riesgo, se disipa lejos de él. Yo espero que llegará un momento en que se consolide la LIBERTAD, en que se afiance la uniformidad de sentimientos, en que las pasiones enmudezcan, y éste será un gran riesgo en que la patria se estremezca y tiemble al ver su destino vacilante: pero también espero que entonces la energía hará una explosión violenta y forzará a los tiranos a doblar su trémula rodilla delante de la majestad del pueblo. Buenos Aires 23 Enero 1812 Cuando yo veo que en la capital de Lima, en ese pueblo de esclavos, en ese asilo de los déspotas, en ese teatro de la afeminación y blandura, en esa metrópoli del imperio del egoísmo, consiguió el visir Abascal levantar un cuerpo cívico bajo el nombre de la concordia, compuesto de 1500 hombres de la clase media, uniformados y armados a sus expensas, juzgo que Buenos Aires se degradaría hasta el extremo, sino imitase con doble esfuerzo este interesante ejemplo. La urgencia es mayor, y la obligación no puede ser más sagrada. El ejército de la república debe salir al campo de Marte, bien sea a ensayar el vigor de sus brazos, o a batir las falanges orgullosas que vengan a insultar nuestro pabellón: la capital debe quedar con fuerzas interiores para mantener la tranquilidad en su recinto y apoyar el decoro del gobierno: estos dos grandes objetos no pueden conciliarse sin la acelerada organización de la legión cívica que ya se ha promovido: cada momento de demora enfría el ardor de la empresa, y retarda nuestros progresos. El pueblo libre de Buenos Aires ¿no será capaz de la energía que mostraron los esclavos de Lima, cuando Abascal en los conflictos de desprenderse de sus tropas veteranas y provinciales, abrazó aquel arbitrio para asegurar su existencia, amenazada entonces por el espíritu de LIBERTAD, que empezaba a difundir el autor del Diario secreto y sus muchos prosélitos? No lo creo, antes espero que todos los que se consideran dignos de ser ciudadanos, serán desde hoy soldados, y correrán a tomar la divisa del valor entrando en competencia con los aguerridos orientales y demás campeones que se han señalado en nuestra historia. Argentinos: la LIBERTAD no se consigue sino con grandes y continuos sacrificios: las voces y clamores de una multitud acalorada no han hecho independiente a ningún pueblo: las obras, la energía, la energía y el entusiasmo son los que han llenado los anales de la LIBERTAD triunfante. Tomad las armas, o id a buscar los grillos en un tranquilo calabozo. A los pueblos interiores Cuando en el número 12 interesé a los ciudadanos ilustrados, para que consagrasen sus desvelos a los intereses de la patria, borrando con su influencia las impresiones del vicio y el error; creí que el eco de mi voz penetraría hasta lo interior de esas provincias, convenciendo a sus habitantes de la obligación en que están de propagar sus luces, su energía y esfuerzos para auxiliar los de esta capital. No ignoro que en el interior hay hombres capaces de llenar este sagrado objeto, y sus reflexiones serían muy interesantes, aun cuando no se contrajesen más que a indicar los recursos, que en cada pueblo pueden apurarse para fomentar el espíritu público; interés el más urgente a que debemos contraernos en estos días de conflicto. No quiero que por esto se prescinda enteramente de los arbitrios que conducen al fomento de la industria, comercio y agricultura, de cuyos progresos pende la opulencia de un estado, que empieza a desenvolver el embrión de sus facultades: pero sí sostengo, que nuestro principal objeto debe ser formar el espíritu público con cuyo auxilio triunfaremos fácilmente de las dificultades, hasta hollar los mayores peligros. Calculemos con exactitud nuestros intereses: la América, atendidas sus ventajas naturales, está en actitud de elevarse con rapidez al mayor grado de prosperidad, luego que se consolide su deseada independencia: hasta tanto, querer entrar en combinaciones de detalle y planes particulares de felicidad, sería poner trabas y embarazos al principal objeto, sin progresar en éste ni en aquellos. Cuando un pueblo desea salir de la servidumbre, no debe pensar sino en ser libre: si antes de serlo quiere ya gozar los frutos de la libertad es como un insensato labrador que quiere cosechar, sin haber sembrado. Foméntese el espíritu público y entonces será fácil subir por el tronco hasta la copa del árbol santo de nuestra salud: pero mientras ese fuego sagrado no inflame a todas las almas capaces de sentir, yo veo pendiente sobre nuestra cabeza la espada de los tiranos y próximos a unirse de nuevo los eslabones de esa ronca cadena que acabamos de tronchar. Americanos: ¿cuándo os veré correr con la tea de la LIBERTAD en la mano, a comunicar el incendio de vuestros corazones a los fríos y lánguidos que confunden la pusilanimidad con la prudencia, la frialdad con la moderación, la lentitud con la dignidad y el decoro, y lo que es más, el saludable entusiasmo de los verdaderos republicanos con el delirio, la ligereza o poca madurez en los juicios? Pueblos: ¿cuándo seréis tan entusiastas por vuestra independencia, como habéis sido fanáticos por la esclavitud? Habitantes de los últimos ángulos del continente austral: la LIBERTAD de la patria está en peligro; tomad, tomad el puñal en la mano antes de acabar de leer este período si posible es, y corred, corred a exterminar a los tiranos; y antes que su sangre acabe de humear, presentadla en holocausto a las mismas víctimas que ellos han inmolado desde el descubrimiento de la América. Ciudadanos ilustrados: fomentad este furor virtuoso contra los agresores de nuestros derechos: perezcamos todos, antes de verlos triunfar: vamos a descansar en los sepulcros, antes que ser espectadores de la desolación de la patria. Si ellos sobreviven a nuestro dolor, que no encuentren sino ruinas, tumbas, desiertos solitarios, en lugar de las ciudades que habitamos: que enarbolen su pabellón sobre esos mudos y expresivos monumentos de nuestro odio eterno a la esclavitud. Firmeza y coraje, mis caros compatriotas: vamos a ser independientes o morir como héroes, imitando a los Guatimozines y Atahualpas. Fuente: www.elhistoriador.com.ar
De visita: con esclavo y farol Fuente: Eizaguirre, José Manuel, Páginas argentinas ilustradas, Casa Editorial Maucci Hermano, 1907. Los que viven hoy en Buenos Aires - escribía en 1868 don Juan María Gutiérrez - y transitan por sus cómodas veredas, no se imaginan como eran sus calles en el siglo próximo pasado. A mediados de él, en 1757, y a consecuencia de una lluvia continuada de treinta y cinco días, quedó el vecindario confinado en las casas, alimentándose con viandas secas, como en una plaza sitiada, porque la completa incomunicación con la campaña y con las quintas, no permitía el abasto de legumbres y carne fresca. Formáronse tales pantanos y tan profundas hondonadas, que fue necesario poner centinelas en una de las cuadras de la calle de las Torres (Rivadavia), de las más cercanas de la plaza principal, para evitar que se hundieran y se ahogasen los transeúntes, principalmente los de a caballo. Este debió ser todavía el estado de nuestras vías urbanas, cuando por medio del intendente, don Francisco de Paula Sanz, se propuso el Virrey, "limpiar esta ciudad de las inmundicias e incomodidades en que la habían tenido constituida hasta entonces el abandono y ninguna policía de sus calles, para que se respire un aire más puro, y se remuevan de un todo las causas que casi anualmente hacen padecer varias epidemias que destruyen y aniquilan parte de su vecindario..." El Virrey Vértiz, nombrado en 1777, tomó el gobierno del Virreinato, en agosto de 1778, y desde entonces se inició una verdadera época de progreso, la primera en la vida ya secular de Buenos Aires. El trazado urbano de Garay había sido respetado; pero el trabajo administrativo de urbanización, era en absoluto desconocido. La población había crecido, siguiendo también una natural proporción el número de casas en cuya edificación la municipalidad intervenía sólo para marcarles la línea en las calles. Sobre construcción de aceras, sino enlosadas simplemente marcadas, no existía ninguna disposición. En las bocacalles, a manera de defensa, los propietarios plantaban generalmente dos postes de madera dura, alejando así el tráfico de la proximidad de los muros, lo cual no era imprudente ni inútil, pues muchas veces para evitar los pantanos del centro de las calzadas, los carros lastimaban con sus ejes y ruedas las paredes y ventanas de las casas. Pero la misma capital de la monarquía en la península no gozaba de mayores comodidades, con su servicio bisemanal de acarreo de basuras acumuladas frente a los portales de las casas. Sus calles empedradas y sus aceras enlosadas eran también escasas en número. Si hacemos excepción del barrio central de Buenos Aires, que comprendía la parroquia de San Ignacio y los conventos de San Francisco y Santo Domingo, donde por iniciativa de los vecinos existían pasos de piedra en cada bocacalle, en todos los demás puntos urbanos salir de noche equivalía a realizar una aventura peligrosa. No se trataba solamente de la seguridad personal, por falta de policía y abundancia de gente de mala vida; sino también por el estado deplorable de las calles. ¡Y ya se ha visto que en algún momento, fue necesario colocar centinelas para que no se hundieran en los pantanos los transeúntes! Entonces, cuando algún vecino se encontraba en la obligación de salir, aunque no fuese de posición desahogada, comerciante o funcionario, cargaba armas y llevaba un farol de mano. Las dificultades eran menores cuando no había llovido: secos los baches, la silenciosa y obscura ciudad se animaba. Las familias organizaban tertulias a las que concurrían numerosas niñas, las "estrellas" de la belleza colonial y de los barrios. Al retirarse, cuando más tarde a las diez de la noche, las velas de sebo del alumbrado escaso, encendidas al anochecer, se habían extinguido, y los interesantes grupos se hacían guiar por esclavos y sirvientes, quienes con chuzo y farol iban señalando a las niñas el camino bueno, y sacando los obstáculos, si alguno encontraban. Con las niñas iban también los caballeros de la tertulia, que se repartían la misión, grata siempre, de acompañarlas. En los malos pasos, de acuerdo con la etiqueta de la época, severa en sus formalismos, franca, espontánea y amable en su esencia, los caballeros no daban el brazo ni la mano; se colocaban en terreno seguro para evitar el mal trance y ofrecían el antebrazo, en el que las niñas apoyaban su mano. Traer un esclavo o sirviente para que llevase armas o farol, en las noches de la colonia, era ya un título de señoría; pues si muchos en sus excursiones nocturnas preferían ser ellos mismos portadores de su farol, así como en tiempos anteriores llamaban la atención aquellos de "capa y espada", en los que anotamos no se distinguían menos los que marchaban a través de las oscuras calles, "con esclavo y farol". Fue el Virrey Vértiz el primero que se preocupó del embellecimiento urbano, y gracias a aquellas poderosas iniciativas bien encauzadas, el siglo XIX no encontró a la capital del Virreinato en una situación en extremo deplorable. Los vecinos tranquilos de aquella lejana época, ni en sueño calcularían los progresos que realizaríamos y de los cuales gozan hoy los habitantes de la populosa Buenos Aires. Fuente: www.elhistoriador.com.ar

Son MUCHÍSIMOS los que ya saben que el mundo no se acaba. Sin embargo, siempre estará esa parte de la gente que sí lo cree. Y está bien, no podemos culparlos... Nadie tiene la culpa de ser ignorante. Muchos saben que lo del 21 de diciembre de 2012 es una farsa, pero... ¿Cómo probarlo? ¿Cómo estipular con atinencia la falsedad del fin del mundo? Empecemos explicando cosas sobre los años bisiestos: Según wikipedia: Un año es bisiesto si es divisible entre 4, a menos que sea divisible entre 100. Sin embargo, si un año es divisible entre 100 y además es divisible entre 400, también resulta bisiesto. Obviamente, esto elimina los años finiseculares (últimos de cada siglo, que ha de terminar en 00) divisibles sólo entre 4 y entre 100. Yo cuando lo leí pensé: Wikipedia... ¿En qué mierda estás pensando? Explicándolo así muchísimos son los que no van a entenderte nada. Está bien lo que dice wikipedia, pero yo voy a dar una explicación más amplia: Resulta que siempre nos han enseñado que los años tienen 365 días. Ahora yo les pregunto: la tierra debe dar una vuelta completa alrededor del sol, funcionando mediante leyes gravitatorias que no vienen al caso... ¿De verdad creen que tardará 365 días TAN JUSTITO? Piénselo... ¿365 días, clavados? Un poco difícil, eh? Ok. Entonces vamos a distinguir dos cosas: Año humano: Un año humano dura exactamente 365 días. Año sideral: El tiempo que tarda la tierra en realizar por completo un ciclo de traslación. Bien... Resulta que la tierra tarda, aproximadamente, 365 días y 6 horas. Osea, que el año sideral y el año humano, en primera instancia, DIFERIRÍAN POR 6 HORAS, no es así? Si pasan cuatro años seguidos... El año sideral y el año humano diferirían por 24 horas, osea... ¡¡Un día!! (Nótese que 6x4=24) Entonces... ¿Qué hacer al respecto? Simple: como el año sideral difiere por aproximadamente un día entero, le agregamos un día al año humano: entonces, a FEBRERO, que normalmente tiene 28 días, se le suma uno y pasa a tener 29 días. Es decir, que cada cuatro años, tenemos un 29 de febrero. De esta forma, volvemos a ajustar el año humano y al año sideral al mismo punto de partida. Pensémoslo de este modo: Si no existieran los años bisiestos... ¿Qué pasaría? Les doy un ejemplo: Supongamos que cuando empiece 2013 no usamos más los años bisiestos. Luego, pasan 400 años. Estaríamos en 2413... ¿Cierto? Bien. Ese año, 2413, diferiría 100 días del año sideral, ya que cuatrocientos dividido entre 4 es igual a 100. Ese año, como es habitual, celebraríamos la navidad el 25 de diciembre... Pero como diferimos 100 días del año sideral, sería ¡¡¡INVIERNO!!! Al diferir cien días, nosotros estaríamos en 25 de diciembre según el año humano... Pero el año sideral nos diría que estamos a FINALES DE AGOSTO. No sé ustedes, pero no me agrada la idea de celebrar la navidad encerrado y con frío (Como le sucede a los que están en el hemisferio opuesto). Nop... Yo prefiero la pirotecnia y la multitud en una fiesta colectiva interminable Pero lo cierto es que el año sideral no tiene 365 días y 6 horas. Resulta que, 365 días y 6 horas sigue pareciendo algo muy "justo y clavado" para algo natural como es la traslación terrestre. Razonar de este modo es estar en lo correcto: los años siderales tienen 365 días y algunos minutos. ¿Qué se hace entonces? Esos minutos pueden desajustar y desmoronar la cosa... Entonces, LAS MATEMÁTICAS NOS DAN LA RESPUESTA: Para solucionar el problema que nos dan esos minutitos, cada 100 años (Nótese que 100 es múltiplo de 4) NO se le agrega un día a febrero, es decir, cada 100 años, no hay año bisiesto. Esos 100 años concuerdan con cada inicio de siglo. Es decir: por cada inicio de siglo, supuestamente debería ser año bisiesto, pero NO SE HACE para arreglar el desfase que nos dan los minutos adicionales. Aún así, 365 días, 6 horas y algunos minutos sigue pareciendo algo justo y clavado. Y de nuevo, el que piensa así está en lo correcto. El año sideral tiene 365 días, 6 horas, algunos minutos y también algunos segundos. Esos segundos también nos complican la vida, porque ya ajustamos todos nuestros calendarios para evitar que esos minutos nos desfasen el año humano y el año sideral, pero estos segunditos nos complican todo de nuevo. Pero HAY UNA SOLUCIÓN: Cada 1000 años, es decir, cada 10 siglos, SÍ es año bisiesto. Anteriormente dijimos que cada inicio de siglo NO es año bisiesto por los minutos que contribuyen a que difieran el año humano y el sideral. Bueno, cada milenio, hay una "excepción a la excepción" y SÍ es año bisiesto. Es decir: cada inicio de siglo debería ser año bisiesto pero NO lo es por los minutos adicionales a esos 365 días y 6 horas. Pero cada 10 siglos SÍ es año bisiesto por esos segundos adicionales. Cada inicio de milenio es a la vez un inicio de siglo. Los inicios de siglo no son años bisiestos, pero cuando el inicio de siglo es a la vez un inicio de milenio, hay una excepción y en ese caso SÍ se usa un año bisiesto. De esta forma, usando el clásico m.c.m. (múltiplo común menor, o mínimo común múltiplo) que nos enseñaron en la escuela, se calcula matemáticamente la forma de evitar que vivamos una navidad muriéndonos de frío. Las matemáticas se merecen nuestro agradecimiento. Para quienes tengan curiosidad: el año sideral dura 365 días, 6 horas, 9 minutos y 9,76 segundos. OK... ¿Pero qué tiene que ver esto con el fin del mundo? Fijate cómo: Antes, una aclaración: Ab urbe condita (AUC o a. u. c.) significa "desde la fundación de la ciudad" y se refiere a la fundación de Roma, que fue en el 753 antes de Cristo. Es decir, que el año 1 que usamos nosotros equivale al año 754 a. u. c. Ahora sí... Abandonamos las matemáticas y nos introducimos a la historia: (Usted podrá clickear en los nombres que aparezcan para conocer más información acerca de ellos) Año 704 a. u. c., es decir, 49 a.C., Cayo Julio César llega a Egipto. Este señor tenía muy en claro todo este tema del año sideral y el año humano. Por aquellos tiempos el año bisiesto no existía, y los calendarios que se usaban habían tenido muchas modificaciones. Debido a esto, el calendario Romano difería muchísimo del año sideral. Julio César, en las tierras de Cleopatra había encontrado un calendario excelente, y entonces le designó a Sosígenes de Alejandría, un filósofo, matemático y astrónomo, la tarea de crear un calendario que corrija los desfases entre al año humano y el año sideral. Este matemático realizó sus cálculos y creó un calendario de 365 días con un día adicional cada tres años, con el fin de evitar los desfases. Sin embargo, esto no era suficiente, puesto que muchísimos años habían pasado y el calendario romano estaba muuuuuuuy desfasado. Entonces, el 46 a.C. se llama "año juliano" o "año de la confusión" puesto que fue ese año el que corrigió los desfases, pues tuvo una duración de 445 días. Ese fue el año más largo de la historia. El año 27 a.C. accede Cayo Julio César Augusto al poder como primer emperador romano. Este hombre corrigió los cálculos de Sosígenes y creó el desde entonces calendario oficial romano, con un día adicional cada cuatro años. Este fue el inicio del concepto de año bisiesto. ¡¡Sigo sin entender qué tiene que ver todo esto con el fin del mundo!! La gente cree que los Mayas dijeron que el mundo se acabaría el 21 de diciembre de 2012. Y es aquí cuando las matemáticas nuevamente se imponen ante las creencias inatinentes: Si no existieran los años bisiestos, hoy estaríamos en mayo de 2014. Resulta, queridos amigos, que el calendario maya NO tenía años bisiestos, por lo que el mundo, damas y caballeros, debería haberse acabado hace unos 17 meses. El calendario maya, al no tener años bisiestos, se ha quedado atrás, y SU 21 de diciembre de 2012 es más o menos en julio de 2011 de nuestro calendario. Eso desmiente por completo a los mayas. Aún así, lo cierto es que los mayas NUNCA dijeron que el mundo se acabaría, y muchos historiadores pueden afirmarlo. Una profesora, coordinadora del área de Historia en una escuela regida por la Universidad Nacional de Cuyo, afirma que los Mayas jamás dijeron eso. Pero hay más: suponiendo que los mayas sí tuvieran año bisiesto, y suponiendo también que sí hayan dicho que el mundo se acaba, muchos creen que basan sus teorías de acuerdo a un cálculo matemático astrónomo que decía que los planetas se alinearían. Voy a refutar esto de dos formas: La primera: es un rumor falso, los mayas se basaron principalmente en un solsticio. La segunda: El año pasado emprendí un viaje a Malargüe (Mendoza) y visité el Observatorio de Rayos Cósmicos Pierre Auger que contenía un planteario digital altamente sofisticado. Era excelente: con él, uno podía dirigirse a cualquier parte del universo conocido y poner cualquier fecha, y entonces se mostraba cómo estaría esa parte del universo en esa fecha. Cuando surgió este tema del 2012, quien manejaba el planetario digital se dirigió a las órbitas planetarias de nuestro sistema solar y colocó la fecha del 21 de diciembre de 2012. Créanme que lo que menos diría yo acerca de los planetas era que estaban alineados... Un posible contraargumento: Pero los mayas no son los únicos que afirmaron el fin del mundo en el 2012, también lo dicen muchas creencias religiosas. Las creencias religiosas que afirman el fin del mundo el 21 de diciembre de 2012 son reinterpretaciones de las supuestas teorías mayas (que recuerdo, nunca existieron) por más que muchas de esas creencias se empeñen en hacerte creer que no fueron reinterpretaciones. Como dato adicional, y con esto me despido, la NASA ha comparado los temores sobre el 2012 con el temor al fin del mundo del 31 de diciembre de 999 y el 31 de diciembre de 1999. Fuentes: conocimientos propios adquiridos hace mucho tiempo a través de diversas fuentes, tales como internet, libros y citas de historiadores, entre otros.

Hay varios posts sobre esto, y muchas explicaciones por internet. Sin embargo, como esto está hecho completamente por mí, y no hay copy-paste, no es repost, esto es solo una explicación alternativa a las muchas que hay. Me gusta aclarar este punto para que toda persona que vea el post no se sienta incómoda ni nada. Disfruten, el conocimiento es libre. Espero que sea de su agrado. Que empiece el post: Phi El número áureo o el número de oro, el cual tiene otras denominaciones tales como número dorado, divina proporción, proporción áurea y razón áurea, fue descubierto en la antigüedad como relación o proporción, y a los objetos que siguen la divina proporción se les atribuye un carácer estético especial. Es un número irracional, es decir, que consta de infinitas cifras decimales no periódicas. El símbolo de este número de oro es este: Este número está presente en muchas cosas. En la naturaleza, en la física, en la geometría, en la arquitectura... Incluso hay casos de aviones que han caído por no seguir la divina proporción de este número. Muchas plantas e incluso figuras humanas siguen la divina proporción. Y a toda cosa que siga esa divina proporción es especial en su clase, poco a poco vamos a ir viendo ejemplos. ¿Y cómo obtenemos ese número? A partir de una cuenta simple, que puede sacarse con una calculadora, obtenemos el resultado de este número tan importante para muchísimos aspectos. La divina proporción está al alcance de su mano, y se resuelve mediante esta cuenta: Ese número que ven, al cual probablemente no le vean nada de especial, tiene mucha filosofía y muchas aplicaciones, y es un número muy intrigante e importante. Veamos por qué: El número de oro puede apreciarse en muuchas cosas. Vamos a dar unos ejemplos: La naturaleza: La anatomía de los seres humanos está basada en una relación Phi aproximada y estadística. Varios ejemplos de estas relaciones son: La relación entre la distancia existente entre el hombro y los dedos y la distancia entre el codo y los dedos. La relación entre el primer hueso de los dedos (metacarpiano) y la primera falange, o entre la primera falange y la segunda, o entre la segunda y la tercera. La relación existente entre el diámetro de la boca y el diámetro de la nariz. La relación entre la altura de un ser humano y la altura del ombligo. La relación existente entre la altitud de la cadera y la altura de la rodilla. La geometría: Pentágono regular: Bueno, ya conocen el dicho: una imagen vale más que mil palabras: Si tenemos un pentágono regular y realizamos el producto entre la medida de una diagonal y el inverso multiplicativo de uno de sus lados, o equivalente, el cociente entre una diagonal y un lado, obtenemos como resultado la divina proporción, Phi. Esto, al parecer no tiene nada de importante ni curioso, pero lo increíble llega cuando una figura humana tiene esas proporciones y por lo cual es considerada como una persona de belleza ideal. El rectángulo áureo: Fue Euclides quien lo descubrió. En un rectángulo áureo, el cociente entre su lado mayor y su lado menor es igual a Phi. Y dibujar un rectángulo áureo es fácil. Se comienza dibujando un cuadrado. Luego, se marca el punto medio de uno de sus lados y se crea un segmento que una ese punto con uno de los dos vértices del lado opuesto. Si a la distancia del segmento que nos queda entre el punto medio de un lado y un vértice del lado opuesto la llevamos sobre el lado inicial, obtenemos el lado mayor del rectángulo. (Este proceso puede llevarse a cabo usando un compás). El lado menor sería uno de los lados del cuadrado. Igual, como dije antes: Una imagen vale más que mil palabras: Investigando un poco encontré una manera de generar un rectángulo áureo a partir de otro: Pentagrama: Un pentagrama es una estrella de cinco puntas conformada por las diagonales de un pentágono regular. En este no voy a hacer mucho énfasis. Solo vean esta imagen, y terminamos con Geometría. Arquitectura y Arte: Partenón de Atenas: En el siglo V antes de cristo, el escultor Fidias, utilizó las propiedades de la divina proporción en su destacada obra artística. Fue el autor del friso y del frontis del Partenón de Atenas. (Click en la imagen para agrandar) Leda Atómica: Es el nombre que recibe una pintura hecha por Dalí en 1949 basada en la proporción divina del pentagrama. (Le censuré los senos a la mujer de la pintura para evitar problemas) Gran Pirámide de Keops: La Gran Pirámide de Keops es una de las tres pirámides a las cuales en conjunto se las denomina "Las Pirámides de Giza". La Pirámide de Keops es la más grande de las tres. Si realizamos el cociente entre la altura de uno de los tres triángulos que forman la superficie de la pirámide y el lado obtenemos como resultado el doble valor de Phi. Leonardo da Vinci: Él aplicó las proporciones armoniosas del cuerpo en este dibujo: En este dibujo, el cociente entre la altura del hombre, equivalente al lado del cuadradado, y la distancia que hay entre la punta de la mano y el ombligo, equivalente al radio de la circunferencia, es igual a Phi. Física: Los agujeros negros: Un agujero negro, pasa de calentarse a enfriarse cuando el cuadrado de su masa dividido por el cuadrado de la velocidad con la que rota da como resultado Phi. No se sabe por qué, pero da intriga que suceda esto cuando esta divina proporción es involucrada. --------------------------------------------------------------------- Bueno, con todo esto es suficiente, pero si desean profundizar los conocimientos sobre este tema tan intrigante, y conocer más sobre lo involucrado que está en la naturaleza, vean este video: Link: http://www.youtube.com/watch?v=j9e0auhmxnc Ahí van a ver cómo el número determina muchas cosas, como las formas de las semillas de las flores, las espirales naturales e incluso la forma del tallo de una planta. Esto no hace falta que lo vean a menos que les haya interesado mucho el tema y quieran aprender cosas un poco más complejas. Hasta acá el post. Espero que les haya gustado. Actualización: Hice una "segunda parte", sería como la secuela de este post. Esto lo hice debido a que hay muchisimo más para aprender acerca de la proporción divina... Y como vi que a muchos le gustó el post, decidí hacer una segunda parte. Yo la verdad no quería hacer un análisis más profundo que el que hice en este post, ya que me parecía un poco complejo, pero bueno... Me mandaron mensajes, en las comunidades les gustó mucho... Prácticamente la gente lo pidió jeje. (Ni que fueran tantos, pero bueno, ya saben: la cantidad no hace la calidad jaja) Este es el link de la segunda parte: http://www.taringa.net/posts/ciencia-educacion/16205901/Phi_-el-numero-de-la-proporcion-aurea.html PERO LES ADVIERTO: Esa segunda parte ya no va a ser como este post. En este post hubo muchas imágenes, mucho arte, mucho dibujo... En el segundo post ya nos metemos a un análisis más matemático. No había otra forma de profundizar en el tema si no era de ese modo... Así que no esperen ver un post como este que están viendo ahora. Este post es prácticamente autónomo, cualquier persona puede entenderlo, no se requieren conocimientos matemáticos previos (salvo lo básico, de primaria jaja). Sin embargo, en el segundo post se usan técnicas matemáticas que sí requieren cierto conocimiento previo. Ya no va a ser todo "colores"e "imágenes bonitas", ahora va a ser un análisis matemático más profundo. Pero tranquilos, hice lo posible por que quede lo más claro que se pueda
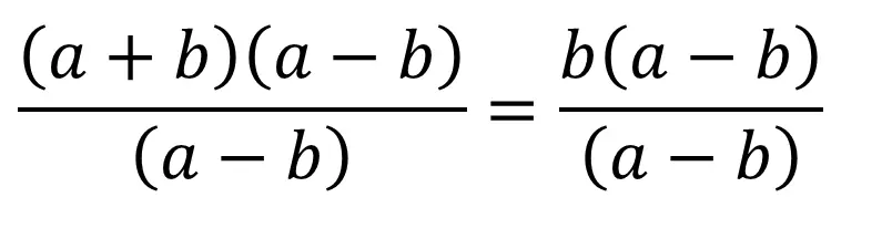
Hay muchísimas explicaciones sobre este tema tan peculiar en las matemáticas: El Cuadrado de un Binomio. Sin embargo, por más que haya muchísimas explicaciones que pueden obtenerse a través de internet, libros o explicaciones por parte de un tutor, yo simplemente les facilito una explicación más. Lo que van a ver ahora es una explicación alternativa a las muchas que hay, explicada con mis propias palabras. Quiero aclarar que todo fue escrito y diseñado por mí. En un par de ocasiones voy a facilitarles un enlace donde habrá explicaciones de unos pequeños detalles para los cuales no me conviene detenerme mucho, aunque siempre voy a adjuntar un pantallazo de la explicación que aparece en ese enlace, por si por algún motivo ese enlace "desaparece" o se borra. Sin más preámbulos, que empiece el post. Cuadrado de un Binomio Antes de preguntarnos qué es un binomio, debemos preguntarnos: ¿Qué es un monomio? Acá les dejo un enlace donde está explicado muy brevemente y en lenguaje entendible lo que es un monomio: http://alvne.wordpress.com/2007/08/27/que-es-un-monomio/ Un monomio consta de un término Un binomio consta de dos términos Un trinomio consta de tres términos Un cuatrinomio consta de cuatro términos Un polinomio consta de dos o más términos. El binomio, el trinomio y el cuatrinomio son ejemplos de polinomio, pero el monomio no puesto que este consta únicamente de un término. Dejando en claro esto, háganse la siguiente pregunta: ¿Qué se imaginan al escuchar la frase "Cuadrado de un Binomio"? Si usan un poco de lógica, obviamente se refiere a un binomio elevado al cuadrado. Hay una regla muy general para esto, y dice así: (a + b)² = a² + 2ab + b² y ahora voy a facilitarles una demostración de esto. (A partir de este momento, la mayoría del post estará hecho de imágenes) Claro, que todo lo que enseñé hasta este momento es "convertir" un cuadrado de un binomio en un trinomio cuadrado perfecto. ¿Pero qué pasa si queremos hacer lo contrario? Es decir, convertir un trinomio cuadrado perfecto en un cuadrado de un binomio. Es posible mediante un proceso denominado Factorización de un trinomio cuadrado perfecto. Pero antes de explicar este proceso, uno debe preguntarse: ¿Qué es factorizar? Voy a facilitarles otro enlace con la definición de factorización: http://www.mathematicsdictionary.com/spanish/vmd/full/f/factorization.htm (Quiero aclarar que si quieren pueden leerlo todo, pero con que lean los primeros dos renglones será suficiente). (Click en la imagen para agrandar) Una vez leído eso, están preparados para la explicación que viene a continuación. Es muy importante que tengan en cuenta esta regla: Puesto que es de suma importancia para realizar bien el proceso. Ejemplos de factorización de un trinomio cuadrado perfecto. Ejemplo 1: Ejemplo 2:

Malvinas Hoy Autor: Felipe Pigna, Editorial Caras y Caretas, abril de 2006. Malvinas hoy. Una fortaleza, una especie de portaaviones con forma de hermanita perdida. Después de haber estado ahí, después de haber palpado el poderío militar, y la prosperidad económica, uno estaría tentado a lamentarse por otra hermanita perdida para siempre, lo que no quita de ninguna manera que se pueda y se deba insistir con nuestros justos reclamos de recuperación de nuestra soberanía. Antes de la guerra las islas vivían haciéndole honor al nombre español de una de ellas, en absoluta Soledad. Su contacto más estrecho y directo era con Argentina y las relaciones sociales, políticas y humanas estaban, por razones geográficas y de la lógica más cerca de Buenos Aires que de Londres. La rubia Albión había vivido sin ellas, ignorándolas y acordándose de las Falklands sólo para ratificar su política colonialista e intransigente cuando algún “argie” levantaba su voz en defensa de nuestros derechos históricos sobre las islas. Pero llegó abril del 82 y llegó la guerra, el manotazo de aquella dictadura feroz que empezada a preocuparse por el clima de agitación social y político que se vivía en todo el país. La concepción de la soberanía de los Videla, de los Galtieri, de los Martínez de Hoz y los Alemann, no deja de ser curiosa, aunque harto conocida. Consiste en reclamar hipócritamente por los puestos fronterizos, por las islas, mientras entregaban a la soberanía extranjera y a sus socios nativos, el manejo total de nuestra economía, de nuestros recursos y proponían que daba lo mismo fabricar “acero que caramelos”. Les molestaba Pink Floyd o John Lennon, porque cantaban en inglés, pero ni se les cruzó por la cabeza expropiar las 500.000 hectáreas de la Patagonia que estaban en manos inglesas mientras la Thatcher no dudó un instante y el mismo 2 de abril de 1982 bloqueó las cuentas argentinas en todos los bancos del Reino Unido. Dialécticas del amo y del sirviente. La guerra por una causa noble y justa fue conducida por injustos e innobles comandantes que despreciaron, humillaron y mataron de hambre y frío a su propia tropa, nuestros muchachos. Y allí están hoy a 24 años los vestigios, usted los verá querido lector en las páginas que siguen. Quisimos traernos esas imágenes captadas magistralmente por Daniel Flores a quien no pocas veces se le empañaba la cámara y la mirada. Allí puede verse la precariedad, la indefensión de nuestros chicos de la guerra, la disparidad brutal de fuerzas y el coraje y el heroísmo que nos recuerda al Quijote y su “que buen vasallo si buen señor tuviera”. Hay un gran monumento en Stanley- Puerto Argentino, o al revés, a la victoria, a nuestra derrota. Aquella victoria de la Tatcher, que ganó unas elecciones que tenía perdidas, de los Estados Unidos que acompañó calurosamente a sus aliados de siempre, del Chile de Pinochet que brindó un apoyo invalorable, valorado personalmente en aquel desagradable encuentro de Londres entre la Dama de Hierro y el Dictador que se hacía el “insano” en un confortable castillo cedido por el laborista pero amable señor Blair. La guerra salvó a las islas, pasaron de la Soledad a la prosperidad, llovieron los recursos, los servicios, las armas. “tendríamos que hacerle un monumento a Galtieri, dicen los kelpers. Frase terrible que nos recuerda –esperemos– lo que le pasa a un país cuando, desoyendo las lecciones de la historia, confía su suerte a impresentables improvisados que sólo están preparados para apuntar sus armas y sus “inteligencias” contra sus propios compatriotas. Para que nunca más se repita, para honrar a nuestros muchachos y para denunciar al colonialismo y a los jefes de aquella guerra va este número de Caras y Caretas, para que aquellos queridos pibes no sean solo conocidos por Dios. Felipe Pigna, Editorial Caras y Caretas, abril de 2006 www.elhistoriador.com.ar
La Guerra de los Cien Años Como Guerra de los Cien Años se conoce al enfrentamiento bélico que sostuvieron Francia e Inglaterra durante gran parte de la Baja Edad Media. Auténtica sucesión de conflictos, esta pugna acabó arrastrando a otros reinos occidentales, por lo que puede ser considerada como la primera gran guerra internacional europea. La reclamación de los derechos de Eduardo III de Inglaterra (1327-1377) al trono de Francia ha sido considerada tradicionalmente el origen de la guerra. Sin embargo, esta coartada o pretexto dinástico, que en ocasiones sí impulsó el conflicto, fue sólo una de sus causas, y no la primera. En la génesis de esta prolongada guerra convergen diferentes razones político-económicas: la principal fue el control de la rica Guyena o Gascuña, último reducto francés del Imperio Angevino de Enrique II Plantagenet (1154-1189), lo que convierte esta guerra en el último episodio de la secular pugna Capeto-Plantagenet por el dominio de Francia. Guyena era feudo inglés, pero los reyes de Francia consideraban que, como soberanos feudales, tenían derecho a intervenir en sus asuntos internos. Esta inadaptación feudal a las nuevas circunstancias políticas y económicas generaría permanentes incidentes, como las confiscaciones francesas de Guyena en 1294 y 1323. La hostilidad anglo-francesa se agudizó debido a los conflictos periféricos menores, como el apoyo francés a Escocia contra la hegemonía inglesa, el control del estratégico ducado de Bretaña y la cuestión sucesoria de Artois. Sin embargo, la chispa del conflicto fue Flandes, otra fuente de disputas debido a la peligrosa contradicción existente entre su dependencia económica de la lana inglesa y su subordinación feudal a los reyes de Francia, problema agravado por la lucha social entre la nobleza profrancesa y los grupos urbanos proingleses. Eduardo III de Inglaterra (1312-1377) Tras el sometimiento de la rebelión de las ciudades flamencas en la batalla de Cassel (1328), el conde de Flandes Luis de Nevers y Felipe VI de Francia se aliaron en perjuicio de los vitales intereses ingleses en la zona, a lo que respondió Eduardo III con una medida explosiva: en 1336 prohibió las exportaciones de lana inglesa a Flandes, arruinando a los artesanos flamencos. Un año después Felipe VI procedió a la tercera confiscación de Guyena. Eduardo III rompió entonces el homenaje prestado en 1329 y reclamó el trono de Francia. La cuestión dinástica, menor hasta esa fecha, adquirió entonces un papel esencial al convertirla Eduardo III en la única forma de asegurar el vital dominio inglés sobre Guyena. Batalla de Cassel (23 de agosto de 1328) Será Eduardo III quien tome la iniciativa y mantenga Flandes como primer escenario del conflicto. En 1339 los flamencos se rebelaron contra el conde Luis de Nevers, encabezados por Jacobo van Artevelde, gran burgués de Gante, quien reclamó la presencia del monarca inglés. Este desembarcó en Flandes y se proclamó rey de Inglaterra y Francia. Poco después la flota francesa fue derrotada por los ingleses en L'Ecluse (junio de 1340). Sin embargo, falto de recursos y de apoyo diplomático, Eduardo III no pudo explotar este primer triunfo y firmó una tregua en Esplechin. Tras comprobar que no derrotaría a Francia desde Flandes, el monarca inglés abrió otros frentes. Un problema sucesorio surgido en 1341 en el ducado de Bretaña degeneró rápidamente en guerra civil entre Carlos de Blois, sobrino de Felipe VI, y Juan de Montfort, apoyado por Inglaterra. Eduardo III necesitaba la seguridad del eje económico Canal de la Mancha-Gascuña por lo que la apertura del segundo frente bretón era para el rey de Inglaterra una necesidad lógica. Franceses e ingleses aprovecharon Bretaña como laboratorio militar, internacionalizando el conflicto bretón. Finalmente, en enero de 1343, se acordó la tregua de Malestroit. Sin un vencedor claro, Bretaña quedó dividida, pero Eduardo III logró asegurarla como base militar inglesa. Luis I de Flandes (1304-1346) En 1345 se reabrieron todos los frentes. Eduardo III estrechó su alianza con Jacobo van Artevelde, pero la crisis económica de Flandes desembocó en su asesinato, la retirada inglesa de la zona y la restauración pro-francesa de la mano del conde Luis de Male (1346-1384). Eduardo III llevó entonces la guerra a la propia Francia. En julio de 1346 una pretensión feudal del noble normando Godofredo de Harcourt fue apoyada por el rey inglés, quien desembarcó en Normandía con un ejército pequeño y potente formado por poca caballería y muchos arqueros y cuchilleros. Marchando en cabalgada, los ingleses saquearon Caen, amenazando Rouen y la propia París, pero, sin fuerzas suficientes, se replegaron hacia el norte perseguidos por el ejército de Felipe VI. El esperado gran choque anglo-francés tuvo lugar en Crécy-en-Ponthieu (25 de agosto de 1346): los arqueros de Eduardo III y su hijo Eduardo de Gales (el Príncipe Negro) destrozaron a la indisciplinada y valerosa caballería francesa apoyada por ballesteros genoveses, inaugurando una nueva época en el arte militar. Explotando su victoria, Eduardo III asedió Calais. El rey David II de Escocia, aliado con Felipe VI, invadió Inglaterra desde el Norte, pero fue derrotado por los ingleses en la batalla de Neville's Cross (17 de octubre de 1346). Poco después Calais se rindió e Inglaterra obtuvo una estratégica cabeza de puente en el continente, clave para el futuro de la guerra. Como colofón a sus victorias, y siguiendo el ejemplo de Alfonso XI de Castilla, Eduardo III fundó en 1348 la caballeresca Orden de la Jarretera (The Most Noble Order of the Garter). Entre 1346 y 1355 las dificultades económicas y la propagación de la Peste Negra disminuyeron mucho la tensión de la guerra. Sin embargo, Eduardo III culminó sus victorias derrotando a una flota castellana en Winchelsea (1350), respuesta a la inclinación francófila adoptada por Castilla a finales del reinado de Alfonso XI y consolidación de la hegemonía naval inglesa lograda en L'Ecluse (1340). Felipe VI de Francia "el rey encontrado" (1293-1350) En 1350 murió Felipe VI dejando a Francia derrotada y sumida en una profunda crisis interna. Político mediocre y exaltado defensor de la caballería, Juan II el Bueno (1350-1364) no era la persona adecuada para resolver la gran crisis militar, política, económica y demográfica que padecía Francia, aunque al principio tomó decisiones prometedoras, como la reforma del ejército y la fundación de la Orden de la Estrella (1351). El conflicto bélico continuó en tono menor. Protagonizada por compañías de mercenarios -routiers- que se vendían al mejor postor, la guerra carecía de grandes estrategias, y se convirtió en una agotadora depredación y destrucción de los recursos de Francia. El principal problema de Juan el Bueno fue Carlos II de Evreux, rey de Navarra (1349-1387). Nieto de Luis X y gran señor francés, el monarca navarro combinó sus aspiraciones al trono de Francia con el liderazgo de un partido nobiliario opuesto al poder real y con sus ambiciones territoriales al calor de la guerra. Jugando con la amenaza de una alianza con Eduardo III (así obtuvo la mitad de Normandía y Champaña a costa del rey en el tratado de Mantes de 1354), Carlos el Malo se convirtió en el árbitro de la situación francesa. Reanudadas las hostilidades, en el otoño de 1355 el Príncipe Negro ridiculizó a Juan II atravesando dos veces el Midi sin resistencia, mientras Eduardo III aseguraba la frontera escocesa. Juan II quiso prevenirse de las intrigas de Carlos II de Navarra y en abril de 1356 ordenó capturarle. Su hermano Felipe de Evreux pidió ayuda a Eduardo III. Desde Burdeos el Príncipe Negro dirigió una nueva cabalgada, esta vez hacia el Norte. Ingleses y franceses se encontraron de nuevo en la batalla de Poitiers (19 de septiembre de 1356), repetición de Crecy en la que el propio Juan II cayó prisionero. El desastre militar sacó a la superficie todo el descontento contenido hasta entonces en Francia. Preso el rey en Inglaterra, el gobierno fue asumido por su hijo Carlos. El delfín, enfermizo y desprestigiado en Poitiers, tuvo que enfrentarse entre octubre de 1356 y mediados de 1358 a una crisis abiertamente revolucionaria que puso a prueba la estabilidad de la monarquía francesa. Al control del gobierno real por los Estados Generales de Languedoïl y Languedoc (1356 y 1357), los estragos causados por las bandas descontroladas de "routiers" y la liberación y nuevas maniobras de Carlos II de Navarra, se sumaron la insurrección de los burgueses de París encabezados por el preboste (funcionario público) de mercaderes Etienne Marcel y el estallido en el noreste de la revuelta campesina de la Jacquerie. La victoria final del hábil delfín se debió a que se enfrentaba a "fuerzas y poderes locales reflejo del regionalismo de Francia" con intereses totalmente diferentes. Superadas estas conmociones internas, el agotamiento de ambas partes condujo a los acuerdos de Brétigny-Calais (octubre de 1360): Eduardo III renunció a sus pretensiones al trono de Francia a cambio de extensos territorios. Eduardo de Woodstock "El Príncipe Negro" (1330-1376) Aunque el tratado de Brétigny-Calais fue un éxito francés, sus durísimas condiciones, que suponían el dominio inglés sobre un tercio del reino, sancionaron el indiscutible triunfo de Inglaterra en la primera fase de la Guerra de los Cien Años. Por la misma razón, la paz anglo-francesa de 1360 estaba condenada a no durar mucho. David II de Escocia (1324-1371) Entre 1365 y 1389 el horizonte geográfico de la Guerra de los Cien Años se amplió a toda Europa Occidental. La entrada de los reinos hispánicos en el conflicto respondió a la proyección del conflicto anglo-francés sobre los reinos peninsulares, pero también a la condición de grandes potencias que estos reinos peninsulares -sobre todo Castilla- habían alcanzado a mediados del siglo XIV. El caballeresco Juan II de Francia murió en 1364. Su hijo Carlos V (1364-80), enfermizo, culto y más burócrata que guerrero, fue un brillante político que supo escoger colaboradores capaces -los nobles Felipe de Borgoña (1365) y Flandes (1384) y Luis de Anjou; los teóricos Raúl de Presles, Felipe de Mézières y Nicolás de Oresme; y los militares Bertrand du Guesclin y Juan de Vienne- con los que ejecutar con éxito un proyecto político concreto: la revisión del tratado de Brétigny. Esta labor comenzó pronto. Juan II de Francia "El bueno" (1319-1364) La crisis sucesoria de Borgoña permitió a Carlos V eliminar del escenario político a Carlos el Malo, derrotado en la batalla de Cocherel, aunque no pudo impedir la independencia de Bretaña (1364). Libre de Carlos II, en 1365 Carlos V debía evitar el azote de las bandas de "routiers" desempleadas tras la paz. La situación de la Península Ibérica le brindó la oportunidad de planear una atrevida solución. A mediados del siglo XIV, la Castilla de Pedro I (1350-1369) y la Corona de Aragón de Pedro IV el Ceremonioso (1336-1387) iniciaron la carrera por la hegemonía peninsular. Esta lucha culminó en la llamada Guerra de los dos Pedros (1356-1369), donde quedó de manifiesto que la Corona de Aragón -con menor población y recursos, y muy afectada por la Peste Negra- no podía resistir la superioridad política, económica y militar de Castilla ni en tierra ni, por primera vez, tampoco en el mar (ataque naval castellano a Barcelona en 1359). Para debilitar a su rival, Pedro IV había apoyado desde 1356 la rebelión de la nobleza castellana dirigida (desde 1354) por el infante Fernando de Aragón y, después, por el conde Enrique de Trastámara y sus hermanos, hijos bastardos de Alfonso XI. La revuelta, consecuencia de la dura política autoritaria de Pedro I -de aquí su sobrenombre de Cruel y Justiciero-, acabó con la oposición nobiliaria diezmada o expulsada. La victoria real hizo que los Trastámara, refugiados en Francia, proyectaran el destronamiento de Pedro I, al que acusaron de cruel, tirano y amigo de judíos y musulmanes. Otra de las claves de esta situación era la posición de Castilla respecto al conflicto anglo-francés. Mediante una política de neutralidad activa, Alfonso XI había querido compaginar la tradicional alianza con Francia -establecida desde Sancho IV y apoyada por la nobleza y el clero-, con el interés de la emergente marina castellana en la alianza con Inglaterra, única potencia naval capaz de garantizar la seguridad de las rutas comerciales con Flandes. La francofilia final de Alfonso XI había provocado la reacción inglesa en Winchelsea (1350). Desde 1353 Pedro I se inclinó definitivamente por la alianza con Inglaterra en beneficio de los marinos vasco-cantábricos. El agitado panorama peninsular propició la confluencia de diferentes intereses. Pedro IV de Aragón quería aliviar el peso de la hegemonía castellana y los Trastámara necesitaban a las expertas compañías francesas para derrocar a su hermanastro. Por su parte, Francia necesitaba neutralizar la peligrosa alianza anglo-castellana, obtener el apoyo naval de Castilla y eliminar la molesta presencia de los "routiers". A sugerencia de Pedro el Ceremonioso y la nobleza trastamarista, Carlos V decidió intentar una solución compleja y ambiciosa: sustituir un rey anglófilo, Pedro I, por otro francófilo, Enrique de Trastámara. A finales de 1365 la revuelta castellana se internacionalizó. Con apoyo de Carlos V y Pedro IV, Enrique de Trastámara invadió Castilla junto a los "routiers" de las "compañías blancas" francesas de Du Guesclin, y con el apoyo de la nobleza fue coronado como Enrique II (1365-1379). Pedro I, con respaldo portugués y nazarí, pero casi solo en Castilla, huyó a Guyena y pidió ayuda al Príncipe Negro, señor de Aquitania. Ambos acordaron el tratado de Libourne (septiembre de 1366). Eduardo de Gales se comprometió a restaurar a Pedro I a cambio del señorío de Vizcaya, y Carlos II el Malo dejaría pasar a las tropas anglo-gasconas a cambio de Guipúzcoa, Álava y parte de la Rioja. La Península se convirtió en el nuevo teatro de operaciones de los ejércitos anglofranceses. Batalla de Cocherel (16 de mayo de 1364) A principios de 1367 el Príncipe Negro y Pedro I entraron en Castilla y derrotaron a los trastamaristas en la espectacular batalla de Nájera (3 de abril). El rey Cruel recuperó el trono, pero se negó a cumplir el tratado de Libourne. Sin apoyo inglés, Pedro I no pudo oponerse a una nueva invasión francesa planeada por Carlos V y dirigida por Enrique II y Du Guesclin. Durante esta campaña, la alianza franco-castellana, destinada a durar un siglo, quedó suscrita en el tratado de Toledo (1368). Los trastamaristas derrotaron a Pedro I en Montiel, donde murió a manos de su hermanastro en marzo de 1369. La victoria de Enrique II supuso el triunfo de la gran estrategia de Carlos V, que desde entonces podría contar con la alianza de Castilla en su lucha contra Inglaterra. Entre 1369 y 1375 la política de "mercedes enriqueñas" con la nobleza, su capacidad militar y el equilibrio entre nobleza y Cortes permitieron a Enrique II asegurar la integridad territorial de Castilla frente a una coalición peninsular antitrastamarista (Aragón, Portugal, Navarra y Granada), garantizar su hegemonía ibérica y legitimar diplomáticamente la nueva dinastía mediante sucesivos tratados y acuerdos matrimoniales (Portugal y Navarra en 1373, Aragón en 1375). Pedro IV de Aragón "el Ceremonioso" (1319-1387) Con el apoyo de Castilla, en 1369 Carlos V se encontró en condiciones de exigir la revisión de los tratados de Brètigny. Iniciada la guerra, sus eficaces medidas militares (reparación de fortificaciones, pagos regulares a tropas, promoción de mandos competentes) permitieron resistir la embestida inglesa sobre Artois y Normandía e infligir la primera derrota campal al ejército inglés en Pontvallain (1370). Entre 1369 y 1374 Du Guesclin y el duque Luis de Anjou recuperaron la mayor parte de lo perdido en 1360 mediante una eficaz guerra de desgaste. En 1372, año crucial, Carlos V pudo contar por primera vez con la colaboración militar de Castilla, decidida a quebrar la hegemonía naval de Inglaterra: el 23 de junio la flota castellana derrotó a la inglesa a la altura de La Rochelle, victoria que abrió un periodo de predominio castellano en el Atlántico Norte que se extiende prácticamente hasta la derrota de la Armada Invencible en 1588 (Hillgarth). Carlos V prosiguió la reconquista francesa ocupando Poitou, Saintonge, Angumois y Bretaña. La vejez de Eduardo III y la enfermedad del Príncipe Negro elevaron al primer plano a Juan de Gante, hijo del rey y duque de Lancaster. Este concibió una ambiciosa cabalgada que acabaría con el bloque franco-castellano. Atravesaría Francia para derrotar a Carlos V, luego invadiría Castilla y allí sería entronizado como esposo de Constanza, hija de Pedro I y heredera legitima del trono castellano. Esta empresa (junio-diciembre de 373) fue un absoluto fracaso debido a las tácticas evasivas dirigidas por Du Guesclin. A ello se sumaron las depredaciones de las flotas castellano-francesas en las costas inglesas del Canal (1373-1374). El agotamiento general condujo a las treguas de Brujas (1375). Eduardo III, humillado en la guerra, aceptó la única posesión de Bayona, Burdeos, Calais y Cherburgo. Francia había recuperado el equilibrio de la guerra y, por primera vez, Inglaterra era la vencida. Juan de Gante (1362-1399) Entre 1377 y 1383 el eje franco-castellano supo mantener la hegemonía militar lograda desde 1369. Carlos II el Malo fue derrotado en su última aventura y Navarra quedó convertida en un protectorado militar castellano en el tratado de Briones (1379). Poco después, la flota castellana remontó el Támesis e incendió el arrabal londinense de Gravesend, culminando su superioridad naval en el Atlántico (1381). Y con apoyo naval castellano, Francia aplastó la revuelta de Flandes en la batalla de Roosebeke (1382). Por su parte, Inglaterra sólo obtuvo una victoria parcial en Bretaña, que se garantizó su independencia en 1381. Durante este periodo varias circunstancias redujeron la tensión de la guerra e hicieron presagiar su pronto final: el comienzo del Cisma del Pontificado (1378); la revuelta de los "tuchins" en Languedoc (1378); una nueva sublevación flamenca dirigida por Felipe van Artevelde -hijo de Jacobo- (1379); la revolución de la "Poll-tax" en Inglaterra (1381); y las revueltas de la "herelle" de Rouen y de los "maillotins" de París (1382). Este ambiente de crisis social coincidió con un verdadero relevo generacional (Contamine) en Occidente. Las muertes del Príncipe Negro (1376), Eduardo III (1377), Enrique II (1379), Carlos V y Bertrand Du Guesclin (1380) dejaron paso a Ricardo II de Inglaterra (1377-1399), Juan I de Castilla (1379-1390) y Carlos VI de Francia (1380-1422). Carlos II de Navarra "el malo" (1332-1387) En 1383 se abrió para Inglaterra una inesperada oportunidad de romper el bloque franco-castellano con la crisis sucesoria surgida a la muerte de Fernando I de Portugal (1367-1383). Juan I de Castilla (1379-1390), casado con la heredera portuguesa Beatriz, reclamó el trono apoyado en el partido nobiliario procastellano de la regente Leonor Téllez, segunda esposa del difunto monarca. La amenaza de una anexión castellana polarizó rápidamente Portugal. Juan I fue apoyado por gran parte de la alta nobleza y rechazado por la burguesía mercantil de las ciudades atlánticas, la burguesía rural, el pueblo y la nobleza lusa enemiga de la regente, que se situaron tras Juan, bastardo real y maestre de Avis. La cuestión dinástica alcanzó enseguida connotaciones de guerra civil y revolución burguesa cargada de tintes nacionalistas. En 1384 Juan I quiso forzar la situación, pero fracasó en el asedio de Lisboa. A principios de 1385 las cortes de Coimbra apoyaron la entronización de Juan I de Avis (1383-1433), es decir, un nuevo cambio dinástico inscrito en el contexto del gran conflicto anglo-francés. La postrera ofensiva castellana fue aplastada por Juan de Avis en la batalla de Aljubarrota (14 de agosto de 1385) gracias a los refuerzos ingleses enviados por Juan de Gante. Esta victoria aseguró la independencia portuguesa frente a Castilla y debilitó la hegemonía franco-castellana. La victoria de Aljubarrota llevó a Juan de Gante a reintentar un nuevo asalto al trono castellano. En julio de 1386 desembarcó en Galicia dispuesto a reanimar los focos petristas (emperegilados) y proclamarse rey. Pero tampoco esta aventura tenía posibilidades de éxito, pues Juan I contaba con el apoyo de sus súbditos -cortes de Valladolid (1385) y Segovia (1386)-, con la neutralidad de Aragón (en paz con Castilla desde la paz de Almazán de 1375) y Navarra (desde la paz de Briones de 1379) y con una nueva colaboración militar francesa. Juan de Gante quedó aislado en un país hostil y la desorganizada ofensiva inglesa con apoyo portugués quedó estancada en León. Juan I de Castilla (1358-1390) Como en Portugal, también en Castilla esta invasión excitó unos primarios sentimientos nacionalistas. El empantanamiento de la guerra en Castilla coincidió con el agotamiento bélico de franceses e ingleses, incapaces de dar el giro definitivo a su enfrentamiento. En 1388 se avanzó hacia la paz en las treguas de Bayona, que pusieron fin al conflicto dinástico castellano iniciado en 1366: Juan de Gante renunció al trono de Castilla a cambio de una fuerte suma y una renta anual; Juan I casó al futuro Enrique III con Catalina, hija del duque de Lancaster y nieta de Pedro I -para los cuales creó el título de Príncipes de Asturias-, uniéndose definitivamente las dinastías trastamarista y petrista enfrentadas desde 1354. Finalmente, las treguas de Leulinghen-Monçao (1389) entre Francia, Inglaterra, Castilla, Escocia, Borgoña y Portugal aseguraron el fin de las hostilidades en todos los frentes. El agotamiento general abrió un largo periodo de distensión que se prolongaría durante dos décadas. Enrique III de Castilla "el Doliente" (1379-1406) La Europa del periodo 1388-1415 mantuvo un statu quo no de paz, pero sí marcado por la voluntad de no proseguir los grandes enfrentamientos bélicos. Pese al grave problema del Cisma (1378-1417), los conflictos militares quedaron localizados y siempre derivaron de otros anteriores. Común a todo Occidente fue el auge del poder de la alta nobleza, especialmente la de parientes del rey, cuyas disputas e intereses provocarían a la larga un nuevo estallido bélico a gran escala. Superadas las agitaciones bélico-sociales del periodo 1380-1389, la victoriosa Francia de Carlos VI (1380-1422) se polarizó en torno a dos grupos que aspiraban al poder. Al principio lo ejerció el formado por los antiguos consejeros de Carlos V, altos letrados y funcionarios de corte, burgueses enriquecidos -llamados "marmousets" (monigotes) por la alta nobleza- de talante reformista y encabezados por el condestable Olivier de Clisson. Olivier V de Clisson "el Carnicero" (1336-1407) En 1392 la locura incapacitó a Carlos VI y los "marmousets" fueron expulsados por el grupo formado por la reina Isabel de Baviera y los poderosos tíos del rey -los duques Felipe el Atrevido de Borgoña, Luis de Orleans y Juan de Berry- dueños de grandes dominios (apanages) creados por Juan el Bueno. Estos se volcaron en alocadas aventuras exteriores (la cruzada borgoñona derrotada en Nicópolis en 1396) hasta la muerte del duque de Borgoña Felipe el Atrevido en 1404. Su hijo Juan Sin Miedo (1404-1419) heredó las dos Borgoñas, Flandes y Artois, un amplio y rico dominio cuya potencia política quebró el precario equilibrio existente entre los grandes nobles del reino. Comenzó entonces el enfrentamiento con su hermano Luis, duque de Orleans, cuyo poder fue en aumento hasta su asesinato a manos de sicarios de Juan Sin Miedo (noviembre de 1407). Isabel de Baviera-Ingolstadt (1370-1435) La lucha entre los duques de Orleans y Borgoña degeneró entonces en guerra civil, y Francia se dividió en dos bandos irreconciliables: de un lado, los borgoñones, encabezados por Juan Sin Miedo, fuertes en el norte y este del país y respaldados por Inglaterra y sectores burgueses y reformistas, sobre todo de París; y de otro, los "armagnacs", de tendencias más pronobiliarias, encabezados por el nuevo duque Carlos de Orleans junto a los duques de Berry, Borbón y Bretaña y su suegro el conde Bernardo de Armagnac, que les dio nombre. En 1411 los borgoñones, apoyados por los ingleses, tomaron el poder, pero el inestable gobierno borgoñón de París acabó degenerando en un sangriento conflicto político-social. En mayo de 1413 Simon Caboche, jefe de la corporación de los carniceros, impuso la "Ordenance Cabochienne", programa político destinado a mejorar la administración y sanear las finanzas que desembocó en una brutal ola de violencia contra los partidarios del duque de Orleans. Juan Sin Miedo perdió el control de la situación y las persecuciones alcanzaron también a los miembros de la alta burguesía parisina, lo que propició la entrega de la ciudad a las fuerzas de Carlos de Orleans (septiembre de 1413). Los Orleans abolieron la "Ordenanza Cabochienne", pero al terror borgoñón le sucedió el contra-terror armagnac. Decidido a recuperar el poder, el duque Juan Sin Miedo pactó en 1414 con Enrique V de Inglaterra (1413-1422) una nueva intervención militar en el continente. Así, la desmedida lucha por el poder de la alta nobleza en una Francia descabezada por la locura de Carlos VI ofreció al renovado imperialismo inglés, encarnado por Enrique IV, la posibilidad de tomarse el desquite por sus anteriores derrotas. Juan I de Borgoña "sin miedo" (1371-1419) Escudo del estado borgoñón Blasón de la casa Armagnac A la muerte de Eduardo III el trono recayó en su nieto Ricardo II (1377-1399), tutelado por sus tíos los duques de Gloucester, Lancaster y York. El reinado comenzó en un clima de grave crisis causado por las derrotas militares en el continente, el acoso castellano en el Canal y los fracasos del regente, tensión que estalló en la revuelta de 1381. Alcanzada la mayoría de edad, Ricardo II trató de gobernar de forma autoritaria, pero chocó desde 1388 con la nobleza (Gloucester, los condes de Warwick y Arundel) y las fuerzas populares agrupadas en el llamado parlamento sin piedad. El monarca se centró en las empresas exteriores para restaurar su prestigio. Primero afrontó la insumisión de la nobleza anglo-irlandesa (Fitzgerald, Talbot, Butler) que fue sometida en 1394-1395. Después aceptó una tregua de 25 años con Francia, sancionada mediante su matrimonio con Isabel de Valois, hija de Carlos VI. La impopular francofilia de Ricardo II (uso del título de padre de Francia, devolución de Bretaña desde 1391 y de Normandía desde 1393) culminó en la entrevista de Ardres con Carlos VI (1396), ingenuo intento de iniciar una etapa de colaboración estable entre ambos reinos. Isabel de Francia, duquesa de Orleans (Isabel de Valois) (1389-1409) Ricardo II cometió su mayor error a la muerte de Juan de Gante en 1398. De forma imprudente reintegró el ducado de Lancaster a la Corona sin contar con Enrique, hijo del duque difunto. Éste encabezó una conjura nobiliaria que se nutrió del descontento por la francofilia del rey. Con el apoyo de los grandes linajes (los Percy de Northumberland) y legitimado por el Parlamento, Enrique de Lancaster destronó a Ricardo II en 1399. Un año después moría asesinado el último monarca Plantagenet. El golpe de estado de Enrique IV Lancaster (1399-1413) repitió el modelo castellano creado en 1366-1369. Y como la trastamarista, la revolución lancasteriana colocó a su beneficiario frente a los mismos problemas nobiliarios que había sufrido Ricardo II. Enrique IV atacó la cuestión con dureza y entre 1403 y 1408 derrotó y sometió a los grandes nobles rebeldes a su gobierno (los Percy, los Arundel y los Mortimer). Su política autoritaria se apoyó en el Parlamento, principal fuente de recursos de la Corona. De cara al exterior, el primer Lancaster tuvo que enfrentarse a los problemas británicos de Inglaterra. Hasta 1409 combatió la revuelta de Gales, iniciada en 1400 por Owen Glyn Dwr con ayuda de Escocia, algunos nobles ingleses rebeldes y Francia más tarde. Desde 1402 luchó con éxito contra los escoceses, capturando en 1406 a su rey Jacobo I Estuardo (1406-1437). En estos años ingleses y franceses buscaron un nuevo enfrentamiento armado, pero los problemas internos de ambos reinos retrasaron el choque. Al final de su reinado la oposición nobiliaria dirigida por su hijo Enrique se unió a las incitaciones de borgoñones y armagnacs para que interviniera militarmente en el continente. Fuente: www.elhistoriador.com.ar
El sindicalismo, ayer y hoy Osvaldo Bayer: Periodista y escritor. Felipe Pigna: Historiador y realizador de documentales. Osvaldo Bayer: Primero va a empezar Felipe Pigna. El va a mostrar también partes de sus videos. Para que quede más explícito todavía, a través de la imagen se aprende mucho, y toda esta síntesis la va a hacer Felipe Pigna porque realmente esto ha revolucionado la enseñanza de la historia argentina con sus videos, principalmente para los alumnos, para los estudiantes pero también para todo los interesados en la historia argentina. Me interesa, me gusta mucho su síntesis muy pedagógica y además porque da pie para el debate, la gran discusión. Después yo voy a completar esto como le decía a Felipe, con una cosa carnal pero no de relaciones carnales sino de experiencias que he tenido con el movimiento obrero argentino. Dos aspectos que pueden ayudar, es decir el testimonio puede ayudar tal vez para la discusión por supuesto, pero también para comprender mejor ciertos aspectos principalmente para las nuevas generaciones. Es decir yo voy a hablar de mi experiencia como secretario general del sindicato de prensa a finales de los años 50 y también vamos a hablar de otros aspectos. Yo fui en mi adolescencia marinero timonel de los buques fluviales que iban al Paraguay e hice la famosa huelga marítima de 1950 en pleno primer gobierno de Perón y también quisiera darles mi experiencia en ese aspecto, qué hubo y cómo era el movimiento argentino en esa época. Bueno, vamos a empezar con Felipe Pigna sobre las ideologías del movimiento obrero. Felipe Pigna: Bueno, buenos días. Vamos a ser sintéticos por el poco tiempo de que disponemos y vamos a empezar hablando un poco de lo que eran las ideologías del movimiento obrero en Europa después de 1848, cuando se produce la primera comuna de París y aparecen las dos grandes ideologías del movimiento obrero que van a ser el Socialismo y el Anarquismo y que se van a ver sobre todo reflejadas en La Primera Internacional que se reúne en Londres en 1864. Ahí aparecen claramente las tendencias del llamado "Socialismo Autoritario" y el Socialismo Utópico. De alguna manera, la doctrina anarquista representada por Proudhon y Bakunin, que hablaba de una sociedad sin ningún tipo de autoridad como su nombre lo indica: "anarquía" significa negación de toda autoridad. Y es interesante hablar de la utopía, porque la utopía tiene hoy en día un sentido negativo, como cuando uno dice utopía parece ser que estamos hablando de gente delirante, de gente que no concreta, de gente como desvalorizada. Y en realidad la función de la utopía es importante porque más allá de la llegada; lo importante de la utopía es el camino. Los teóricos utópicos sabían esto, es mas, la palabra utopía quiere decir "en ninguna parte". O sea que partimos de que sabemos que esto es muy difícil de lograr y casi imposible, pero en la lucha por conseguir este fin tan noble seguimos logrando cosas muy importantes. No habría ningún problema en calificar de utópico al anarquismo en este punto porque en cierta forma, por definición lo era. Esto de la igualdad entre los hombres, la no existencia de poderes, el combate contra la iglesia y el autoritarismo militar etc. Estamos siendo muy sintéticos pero poniendo la prioridad por supuesto en la acción sindical, en la cual la otra corriente que era el socialismo representado por Marx y Engels a partir del Manifiesto Comunista y de otros libros muy importantes, van a plantear otro sistema donde sí aparece una forma de gobierno e inclusive la aceptación de la participación en las elecciones parlamentarias de las burguesías europeas. Es decir, una cosa mucho más gradual y donde también se acepta la lucha sindical pero con otras características. En cuanto lo que nos interesa a nosotros, estas dos corrientes van a llegar a la Argentina a partir de la década del '80 o un poco antes. Para ser más preciso, a partir del '80 van a llegar por un lado los marxistas y por otro los anarquistas que se van a manifestar con mayor fuerza a partir de mediados del '90 cuando aparezca por un lado el periódico "La Vanguardia" y se funde el partido socialista por Juan B. Junto. Por otra parte a partir de 1897, cuando aparezca "La Protesta Humana" que va a nuclear a los círculos anarquistas en la Argentina. El socialismo argentino es un socialismo absolutamente moderado. Fíjense ustedes que en el número uno de La Vanguardia dice: "somos los herederos de Smith, Ricardo y Marx" en ese orden , es un socialismo cargado de liberalismo muy moderado que acepta en cierta forma las reglas del juego del régimen en cuanto al fraude electoral y demas. Va a participar en elecciones donde funciona el fraude también. El anarquismo es un movimiento más frontal, digamos que por eso mismo va a tener más peso y más raigambre dentro del movimiento obrero argentino que va a estar constituido por inmigrantes. Recordemos que a partir de la frase de Alberdi "gobernar es poblar" comienza a fomentarse en la Argentina la inmigración, con el objetivo de traer mano de obra barata. Y si bien los teóricos liberales del '80 pretendían que vengan acá anglosajones y gente con mentalidad industrialista, etc., el país no daba para esto porque el país era agroexportador a cuyas clases dirigentes lo único que le interesaba era explotar los campos y exportar vacas, cuero y trigo. Así que había una contradicción interesante entre la teoría y la práctica. Concretamente la mayoría de los que vinieron a la Argentina eran campesinos con problemas económicos serios y entre ellos algunos perseguidos políticos que van a ser los primeros en instalar en nuestro país estas teorías. Y decíamos que el anarquismo va a ser más fuerte en esta primera etapa, justamente por su discurso más directo, un poco más sencillo, más emotivo y también porque se dirigía al extranjero con muchos menos problemas porque, por ejemplo, el anarquismo no exigía la nacionalización de sus militantes como sí lo hacia el socialismo, porque el socialismo necesitaba tener gente nacionalizada para ser electa o elegir por su carácter partidario. El anarquismo, al no reconocer las patrias y las nacionalidades, era un movimiento que favorecía más la asimilación del extranjero. Es así que el anarquismo en la Argentina va a ser muy importante, va tener una gran presencia. Fíjense por ejemplo que a principios de la década del '10 en la Argentina va a haber dos diarios anarquistas con una tirada superior a 10.000 ejemplares. Una época de alto analfabetismo, es decir, es muy importante el porcentaje de adhesión y de lectura de estos periódicos que implicaba la participación gremial. Y bueno, los primeros gremios fueron efectivamente fundados por esta corriente, vamos a ver acá algo el gremio de los panaderos, con la participación de dirigentes gremiales anarquistas muy importantes que pasaron por la Argentina como Gori, como Malatesta. Gente que dejo su semilla. Digamos, el anarquismo italiano por un lado, más todavía que el anarquismo español que va a ser un poco posterior su influencia. Les propongo ver un fragmento del video y seguimos conversando. Audio del video Los Trusts controlaban todo el proceso de elaboración y distribución de determinado producto. El movimiento fue muy importante en los Estados Unidos, allí, el ejemplo más demostrable es el Trusa, es la Stein Oil Company Ohaio. Estas grandes empresas comienzan a aplicar una organización metódica del trabajo según los consejos de Frederick Stein, inventores de nuevos procedimientos tendientes a aumentar el rendimiento de los trabajadores. En ese tiempo se establece el método standard para la producción de una pieza en una cadena de montaje. A partir de allí el hombre se irá transformando en un engranaje de la maquinaria capitalista. Uno de los primeros, entre ellos, en incorporar el método de Tailor, es la Ford Motors Company. Estos fabricantes establecen la cadena de montaje de la cual saldrá los famosos Ford T. Henri Ford decía que cada obrero debería ganar lo suficiente para comprarse el suyo. Creía que la mejor defensa contra el comunismo era el bienestar de los trabajadores y su incorporación al sistema como consumidores propietarios. Una vez satisfechas las necesidades de los mercados internos, la mayorías de los países europeos se lanzan a la consolidación de los imperios coloniales dominando importantes regiones de Asia, África y América. Además del control territorial países como Inglaterra, desarrollan un nuevo modelo de dominación política basado en el manejo de países formalmente independientes. Esta dependencia económica termina naturalmente en dependencia política. La industrialización en las ciudades y la tecnificación del campo provocan un traslado de grandes masas de población hacia las zonas urbanas que se transforman en grandes del proletariado europeo. En su desarrollo se van a ir formando los sindicalistas y se irá conformando orgánicamente en la Primera Asociación Internacional de los trabajadores, que se reunirá en Londres en 1864. Allí quedan expuestas las diferencias entre los socialistas representados por Karl Marx y Frederick Engels y los anarquistas representados por Proudon y Bakunin. Las dos corrientes coinciden en la necesidad de derrotar a la burguesía para construir una nueva sociedad. Los marxistas plantean la creación de partidos obreros y le dan tanta importancia a la actividad política como a la sindical. Aún en el período de transición, este triunfo revolucionario y de construcción de una nueva sociedad al que llaman dictadura del proletariado. Los anarquistas por su parte priorizan la actividad sindical oponiéndose a los partidos políticos y a su consecuencia natural. Marxistas y anarquistas ejercen una importante influencia sobre el movimiento obrero y coinciden coyunturalmente en algunos episodios como la comuna de París en 1971. La Iglesia comenzó a mostrar su preocupación frente a los problemas sociales. El papa León XIII sienta las bases de la doctrina social de la Iglesia en 1891. El documento condena los excesos del liberalismo y exhorta a los católicos a formarse con los obreros. Decía León XIII "Se hace oportuno favorecer las sociedades artesanas y obreras que puestas bajo la tutela de la religión acostumbran a todos sus socios a permanecer contentos de su suerte y a soportar con dignidad la fatiga y a llevar una vida quieta y tranquila". En algunos países de bajo desarrollo urbano como Italia, tardó un poco en insertarse en el mercado laboral. Felipe Pigna: Lo que acabamos de ver es reafirmar un poco lo que estabamos diciendo antes, con un agregado importante como para recordar los métodos de trabajo que se impusieron a partir del fin de siglo pasado y sobre todo, entrando en el siglo XX como lo son el Taylorismo y el Fordismo que tan bien reflejo Chaplin en la película Tiempos Modernos, donde el hombre estaba cada vez siendo más visualizado como una maquinaria, como un engranaje del sistema. Y contra esto es justamente que van a reaccionar las ideologías obreristas. Y fíjense Ustedes que es tal el auge obrero en Europa y en el mundo, que la Iglesia, que había quedado en una actitud absolutamente desfavorable a los poderosos históricamente, va a tener que empezar a preocuparse un poco por la cuestión social y ahí aparece esta encíclica Rerun Novarum que tiene un carácter inminentemente conservador pero que en alguna manera invita a los capitalistas a tener cuidado, a no forzar demasiado la explotación porque esto puede terminar en rebeliones que no les convienen a nadie. Este era el panorama europeo que se va a trasladar a la Argentina en cuanto a las líneas del movimiento obrero. Vamos a ver ahora el segundo fragmento sobre qué modalidad asumen en la Argentina estas dos corrientes del movimiento obrero. Audio del Video. En 1896 Leandro N. Alem , decepcionado por los fracasos políticos y mezclado en la corrupción del régimen, decide suicidarse el 1° de junio. Habría que preguntarle entre otras razones a los fundadores de la Unión Cívica Radical, porqué en 1896 se suicidó. En esa conducción queda su sobrino Hipólito Yrigoyen quien mantiene una línea de la intransigencia revolucionaria. En 1896 en base a algunos grupos opositores el Dr. Juan Bautista Justo fundó el partido socialista. Sus cuadros son médicos, abogados, en su mayoría trabajadores especializados. Confían más en la acción parlamentaria que en la sindical. Luchan por la dignidad de los trabajadores y la jornada de 8 horas. Sin embargo su acción proselitista tiene algunas restricciones entre la masa inmigratoria imposibilitada de participar en política por su condición de extranjera. Estos sectores serán absorbidos por la corriente anarquista que se expresa a partir de 1897 a través del periódico La Protesta Humana. En sus filas había italianos, rusos y españoles. El marxismo vino a través de los primeros alemanes que llegaron perseguidos por la línea antisocialista de Bismark. Ellos comenzaron a llevar el marxismo en dos formas. Los que llaman la aristocracia del movimiento obrero, es decir los artesanos, los hombres ya capacitados en el manejo de máquinas eran más bien socialistas porque los anarquistas respondían a los trabajadores sin oficios: choferes, carreros, panaderos, etc., más bien gente de trabajo simple. La problemática se va desvirtuando y desde el problema de los malones indios tradicionales, hacia lo que pasan a ser cada vez más los malones rojos en la ciudad de Buenos Aires. De esos italianos que se burlan duramente de sus descendientes, aparte de otros itinerarios, fundamentalmente se van organizando en sindicatos y cuestionan desde el socialismo, desde el anarquismo y desde el primer radicalismo incluso. Es muy importante destacar el papel que cumple el movimiento anarquista. Es un movimiento muy plural en el que conviven tradiciones pacíficas con tradiciones violentas pero que impregnan con una visión muy libertaria de la vida política argentina hacia el período. Los anarquistas se enfrentan con los socialistas porque dicen que las reformas graduales y la acción parlamentaria son una traición a la clase obrera. La opción es una acción directa: la organización sindical y la huelga general. Sus objetivos son contundentes: hay que destruir esta sociedad injusta para construir una mejor, sin gobiernos y sin religiones. Los sindicatos también fueron centro de reunión y los sábados con las representaciones teatrales y también con las veladas donde iban los payadores criollos a cantar sus cantos ante capitalistas. Y otra de tipo español como las Verbenas de raigambre catalana y andaluza. En la cultura popular vestigios de la influencia anarquistas perduran hasta ahora. Los panaderos en su mayoría anarquistas bautizaron a las facturas con ironía: cañoncitos, bombas de crema, sacramentos, vigilantes y bolas de frailes. Felipe Pigna: Esto demuestra la inteligencia y la manera de difundir ideas hasta los detalles menores y en este sentido los anarquistas eran un movimiento sumamente imaginativos. Fíjense que todavía hoy seguimos llamando las facturas en esos términos y es interesante ver la galerías de facturas que cada una tenia que ver con los enemigos del anarquismo, de lo que ellos se proponían. Es una manera de instalar en el lenguaje popular una ideología. La otra cuestión es la de los payadores que llevaban los cantos anticapitalistas al campo para los analfabetos y así difundir esa ideología. Hay algunos versos de payadores anarquistas que a ritmo de milonga contaban "La Conquista del Pan" de Kropotkin y "Dios y el Estado" de Bakunin y efectivamente es muy interesante escuchar estos versos hay algunas grabaciones que se han conservado de como transmitir libros complicados superiores de filosofía al lenguaje popular. También estaban en representaciones teatrales, los melodramas, los cuadros filodramáticos. Todos lo que tuviera que ver con difundir las ideas en un país con muy bajo porcentaje de alfabetismo y con gente con problemas de idioma por ser extranjeros. En un principio la oligarquía ve al anarquismo con simpatía. Hay un artículo de la Revista Caras y Caretas de 1898 donde dice los curiosos anarquistas. Ahora cuando el movimiento anarquista comienza a actuar y sobre todo cuando comienza a realizarse a comienzo de 1901 la primera central sindical que es la FOA, donde conviven anarquistas y socialistas por un tiempo corto y donde ya en 1902 aparece la primera huelga general, digamos que esa visión simpática de "curiosos" cambia por la represión violenta ilegalmente establecida que es la ley 4144 llamada "de residencia", redactada por un literato uruguayo radicado en Argentina, Don Miguel Cané, que ustedes pueden conocer por ese libro que leíamos en la secundaria llamado Juvenilla. Lamentablemente, Cané no es recordado por toda su obra. Esta parte de la obra de Cané no aparece tan difundida. Esta ley de residencia que es totalmente represiva y que estuvo vigente en el país hasta 1958, fíjense ustedes ¡que duración! permitía la expulsión de los extranjeros llamados indeseables, es un término no muy preciso pero a lo que se refería era básicamente a los dirigentes anarquistas extranjeros en su mayoría y que permitía su expulsión del país. Lo grave de esto era que muchos de estos dirigentes habían venido acá perseguidos políticamente, o sea que cuando los expulsaban a su país de origen llegan allá y los fusilan directamente, hay una anécdota a chiquita interesante que los anarquistas crearon una flotilla de barquitos llamada La Libertaria que rescataban a los compañeros que se tiraban al mar rumbo a Uruguay cuando salían de acá y los salvaba a aquellos que iban llevado por la ley de Residencia. Digamos que la combatividad y la resistencia van creciendo y para 1904 hay otra huelga, en 1905 hay otra huelga y la adhesión de la gente es importante y la combatividad del anarquismo a ir increscendo y va a durar aproximadamente hasta 1914 con otras apariciones esporádicas. En 1904 se produce un hecho muy importante dentro del panorama del movimiento obrero que es la llegada a la Cámara de Diputados de Alfredo Palacios, es el primer diputado socialista de América. En minoría por supuesto pero por lo menos una vos que hizo aprobar algunas leyes importantes como el descanso dominical, la ley de silla, etc., en fin, cosas que la oligarquía fue aceptando de alguna manera para ir cediendo algo. Ahora vamos a ver otro fragmento del video, es el último que vamos a ver y se refiere a dos o tres hechos que tienen que ver con la acción gremial en las calles del anarquismo como la huelga de inquilinos, la semana roja y el atentado al Coronel Falcón. Audio del video. En 1907 se produce un hecho inédito en la historia de las luchas populares de la República Argentina, la huelga de inquilinos. Los dirigentes de los conventillos de Buenos Aires, Rosario, La Plata y Bahía Blanca deciden no pagar los alquileres frente al aumento desmedido aplicado por los propietarios. Las protestas obedecen, además al descontento por las pésimas condiciones de vida en los inquilinatos. Los protagonistas de estos jornales son las mujeres y los niños que organizan multitudinarias marchas con las escobas con las que se proponen barrer la injusticia. La represión no se hizo esperar y comienzan los desalojos. En la Capital Federal estuvieron a cargo del jefe de policía Coronel Ramón Lorenzo Falcón quién desalojó a las familias obreras en las madrugadas del crudo invierno de 1907 con la ayuda del cuerpo de bomberos. En el gremio de los carreros se encuentran a disposición de los desalojados para trasladar a las familias a los campamentos organizados por los sindicatos anarquistas. Si bien los anarquistas no logran su objetivo, este movimiento represento un llamado de atención sobre las dramáticas condiciones de vida de la mayoría de la población. Mientras tanto, la oligarquía a la que le gustaba llamarse alta sociedad indiferente a estos problemas ocupa su excesivo tiempo entre los partidos de polo, juego de canasta, los botes en Palermo, las caminatas por Florida y la lectura de diarios y revistas europeas. Lejos de las chusma disfrutan de un bienestar que consideran les pertenece por derecho natural. Es la época de los paseos en globos que Jorge y Eduardo Newvery impone en Buenos Aires. Algunos como los Anchorena, según cuenta el diario La Nación, durante sus viajes a Europa arrojan sus vajillas de oro al mar probablemente desde las cubiertas de los grandes transatlánticos. Se los ve muy distinguidos en las playas del Mar del Plata los franceses dirán " rico como un argentino". La Argentina se convierte en el país que más cereales exporta en todo el planeta. Ya somos el granero del mundo. El primero de mayo de 1909 los grupos anarquistas y socialistas deciden conmemorar, en reuniones separadas, el día del Trabajo. Los socialistas lo hacen en Constitución y los anarquistas a pocos metros del Congreso. Desde horas tempranas comenzaron a llegar las familias obreras con banderas rojas y negras dispuestas a homenajear los mártires de Chicago ahorcados años atrás por reclamar jornadas de ocho horas. Protestan por la desocupación, los bajos salarios y la indiferencia del gobierno. Van tomando la palabras encendidos oradores, hombres y mujeres que invitan a la rebelión y a organizarse para cambiar la sociedad. Observa atentamente la reunión el Coronel Ramón Lorenzo El Coronel Falcón es un paradigma del gobierno represor tanto es así que es la persona que tiene más estatuas en la ciudad de Buenos Aires. Aparte de la placa que tiene en la calle Callao y Quintana hay en el bajo Callao una estatua dedicada a Falcón. Frente a la cafetería La Biela hay otra estatua. Al fondo de la Av. Ramón Falcón hay otra estatua y entiendo que en el interior de la escuela de policía de Falcón y José María Moreno hay otra. Enfrente de este personaje está Simón Radowitzky. Simón Radowitzky es autor de ese acto retumbante de la esquina de Callao y Quintana. Simón Radowitzky era un anarquista proveniente de Odessa que tenia 17 años, como dice un libro de Osvaldo Bayer "como anarquista justiciero se encarga de meterle una bomba al Coronel Falcón. Tiene su momento de gloria. Radowitzky es apresado en esa circunstancia va a ser fusilado pero tiene un tío rabino que demuestra que no tiene 18 años. Con ese motivo de acuerdo al Código Penal de entonces es enviado al sur, a Usuahia. Tras el atentado, el Gobierno declara el estado de sitio y detiene a dirigentes obreros. Los jóvenes de la oligarquía al grito de "viva la patria" atacan e incendian locales obreros y las imprentas de La protesta y La Vanguardia. En mayo de 1910 la oligarquía celebra el centenario de la Revolución de Mayo. Se organizan grandes desfiles y una exposición universal. La famosa bailarina Isadora Duncan baila el Himno Nacional con la bandera argentina por todo vestuario. Se envía invitaciones a todos los reyes y gobernantes del mundo occidental pero sólo acepta el convite la Infanta Isabel de España. La clase dirigente quiere exhibir los avances del granero del mundo. El movimiento obrero advierte la gran trascendencia de los festejos y aprovecha la repercusión en la prensa internacional para dar a conocer la real situación de los habitantes del país. La fuerza anarquista lanza una huelga general para la semana de mayo y organiza una manifestación que reúne sesenta mil personas frente a la penitenciaria de la calle Las Heras. Piden la libertad de los presos sociales entre ellos, Simón Radowitzky. El gobierno de Alcorta decreta nuevamente el estado de sitio y sanciona la ley de defensa social que limitaba seriamente la actividad sindical. Otra vez grupo nacionalistas que actúan con total impunidad atacan locales y bibliotecas obreras las que enseñan el circo de Frank Brown. El gran payaso norteamericano había instalado su carpa en Florida y Paraguay. Los Pitucos decían que la carpa afeaba la ciudad y que llevaba a esa zona elegante gente indeseable. Es que Frank abría su circo a todas las clases sociales y no cobraba entrada a los niños pobres. El fuego patriótico arraso también con la alegría infantil. Felipe Pigna: Bueno, esta sería la etapa heroica del movimiento obrero que como Ustedes vieron tuvo distintas alternativas inclusive el acto de Radowitzky que tuvo una gran trascendencia y que fue motivo de lucha por la libertad de Simón durante muchos años hasta que se logró en 1930, poco antes del golpe de Uriburu. Con muchos avarates en el medio, huelgas, pedidos de libertad y demás. El último de estos episodios fue la Semana Trágica en 1919, un poco eco de los sucesos de la revolución rusa que había tenido que había tenido influencia y repercusión en todo el mundo y también en la Argentina. Fue un movimiento que se originó en un taller metalúrgico en Buenos Aires que terminó siendo la gran huelga general donde el gobierno radical de Irigoyen terminó en una actitud un tanto confusa según dicen los historiadores radicales. No tiene demasiado de confusión, simplemente le dio vía libre a las bandas armadas de la oligarquía llamada Liga Patriótica Argentina por un lado y convocó a las Fuerzas Armadas a reprimir en la Capital Federal. La cifra de muertos es imprecisa todavía hoy, fue altísima y una enorme cantidad de detenidos, se puede decir que ese fue el último gran hecho del anarquismo junto con las huelgas patogénicas que también contó Osvaldo en su libro y que están en la película La Patagonia Rebelde. Esos fueron los dos últimos hechos de la llamada "etapa heroica" del movimiento obrero. Se habían producido cambios importantes en la modalidad de producción. Había empezado a aparecer la gran fabrica por lo cual por las características de los obreros anarquistas más vinculados a la actividad artesana-manual, etc. Se va imponiendo cada vez más la corriente socialista dentro del movimiento obrero que aceptaba diferencia entre los trabajadores por su calificación y aceptaba el tema de las reformas graduales, la negociación con los gobiernos de turno. Esto va a ir implicando una decadencia en el anarquismo además de la violenta persecución que sufrió el anarquismo, expulsión de sus dirigentes, cárcel, etc. y comienza una etapa más protagonizada por el socialismo y la aparición de nuevas corrientes como por ejemplo el comunismo también. Esta etapa de ascenso va a tener un violento corte en 1930 cuando se produjo el golpe de estado del General Uriburu. Un golpe de estado sumamente represivo. Es interesante acotar que cuando se produce el golpe, ahí nomás se crea la CGT con un intento de unificación del movimiento obrero formada por las corrientes básicamente socialistas y con una corriente nueva que había ido evolucionando partir de la década del '10 que era la corriente sindicalista revolucionaria. Una corriente que admitía la negociación con el Estado, que aceptaba también la reformas graduales y así va a ser la CGT en 1930. Pero el movimiento obrero va a ser duramente reprimido, aparece la sección orden social de la policía a cargo del comisario Leopoldo Lugones (H), verdadero hijo de su padre Leopoldo Lugones, inventor de la picana eléctrica, entre otras cosas que ha tenido una gran difusión en nuestra historia. Y esta organización policial se va a encargar de perseguir los sindicalistas opositores, los dirigentes políticos de la oposición. Vamos a tener fusilados como el caso de Penina en Rosario, el caso de Di Giovanni en Buenos Aires. Toda la primera parte, el primer lustro podemos decir que es una época de muy escasa actividad sindical porque como sabemos las etapas de gran desocupación son momentos de gran movilización, gran movilización social. Recién a partir del '35 se va recuperando el movimiento obrero con la huelga de la construcción, de la carne y demás pero se esta produciendo un fenómeno interesante que es un recambio de su composición. A partir de la crisis del 30, con la crisis del campo y el auge de la industria en las ciudades comienza a producirse las inmigraciones internas lo cual va a provocar una diferenciación en la composición del movimiento obrero. Aparecen los llamados obreros nuevos, son los obreros que van llegando a la ciudad con ideologías distintas con una mentalidad más nacionalista, más católica, más conservadora si se quiere que van a tener diferencias con el movimiento obrero preexistente de que podemos denominar obreros viejos y esto va generando una etapa de confusión y de cierta nómina del movimiento obrero que se va a definir a partir de 1943 cuando se produzca la revolución del 4 de julio y aparezca en escena el coronel Perón con su propuesta política y su desempeño en la Secretaría de Trabajo y Previsión. El golpe del '43 es un golpe sumamente represivo con el movimiento obrero en principio el movimiento obrero existente, clausura la CGT vinculada a los comunistas y cierra muchos gremios por un lado y por otra parte va generando la aparición de gremios paralelos, sindicatos paralelos que tenían que ver con la adhesión política del nuevo gobierno y sobre todo a la figura del Coronel Perón. Así que hay por parte de Perón una estrategia que tiene diferentes características por un lado conciliación y por otro lado represión y por otro lado la creación de sindicatos paralelo con un importante poder económico y político que además capitalizando errores de los sindicatos de izquierda que aveces priorizaban más la atención de lo que estaba pasando en Europa, es decir la guerra más que lo que corría en el país, fueron captando importantes masas de trabajadores y esto fue generando un traspaso importante de, por un lado dirigentes y por el otro base social al nuevo movimiento sindical que de alguna manera va a explotar las jornadas del 17 de octubre de 1945. Estamos siendo sintéticos porque no tenemos tiempo. Hay un hecho importante a destacar y es que se conforma un partido eminentemente sindical que va a apoyar a Perón que es el partido Laborista. Que una vez que Perón tome el poder este partido va a entrar en contradicción, es decir lo va a hacer entrar a Perón en contradicciones porque Perón tiene una propuesta policlasista o sea de alianzas de clases en tanto que el partido laborista era un partido claramente sindical. Y una de las primeras medidas que va a tomar Perón cuando asume el poder es disolver el poder del partido laborista y cambiar la cúpula de la CGT y va a conformar un sindicalismo obediente al poder del Estado con la excusa, en un punto cierta, que el nuevo gobierno va a favorecer los intereses de los trabajadores y que por lo tanto no necesita un sindicalismo opositor en la cúpula de la CGT. Obviamente que el peronismo hace un mayor avance de los derechos del trabajador cosa que comienza el periodo que arranca en el '43 cuando Perón tiene la facilidad de estar en un gobierno de facto y sancionar por decreto mucha legislación social de los socialistas que había quedado siempre muerta en las bancas y en los cajones del congreso. Ahí aparece la ley de jubilación, las vacaciones pagas, etc. Derechos sociales muy importantes que se van a ir consolidando durante la etapa peronista donde también aumenta notablemente la cantidad de gente sindicalizada. La CGT llega a tener cinco millones de afiliados siendo la central sindical más importante del mundo prácticamente. Y es interesante destacar que la forma de encuadramiento del peronismo era mucho más gremial que política. La gente participaba más del peronismo a través del sindicato que de los partidos políticos peronistas. Digamos e insistimos que la etapa peronista fue una etapa muy importante en el crecimiento del movimiento obrero, en el aprendizaje de sus derechos pero también fue una etapa donde el excesivo personalismo de Perón quizás hacia que la solución de los problemas gremiales se canalizaran más bien por decisiones de arriba y no por cuestiones más horizontales en tal caso como critica a este periodo tan importante que fue el peronismo. Lo que decíamos antes de la incorporación a través de los gremios queda demostrada cuando cae el peronismo y aparece la etapa denominada la resistencia peronista porque efectivamente el sindicalismo peronista va a asumir un doble rol: político y sindical. Es decir la oposición a la libertadora y los sucesivos gobiernos va a estar encarnada desde el sindicalismo también a nivel político. Ahí va a ver una acción de resistencia muy importante con huelgas, paros generales, etc. y de parte del gobierno de la revolución libertadora actos represivos muy notables como recordemos simplemente uno quizás el más conocido que fueron los fusilamientos del 9 de junio del '56 entre otras cosas como cárceles y demás. Es interesante decir una cosita con respecto a esto porque la gente a veces marxistas a veces liberales a veces mezclas dicen que la gente era peronista porque le daban sidra y pan dulce nada mas. Entonces sería interesante recordar que durante el período que va del '55 al '73, los peronistas no recibieron absolutamente nada de todo esto. Recibían palos, cárceles, etc. y siguieron siendo peronistas lo cual hay que decir que el fenómeno es mucho más complejo que el simplismo de panza llena corazón contento. Es decir podemos hacer todos las críticas que queramos pero de un lugar un poco más serio que este de que la gente simplemente era peronista por esto. La pregunta sería ¿que le vio Perón a los peronistas durante los años de la resistencia? Estos años que fueron años muy importantes para lo que va a venir después fueron el momento de conformación del sindicalismo de la resistencia que tuvo dos vertientes que fue por un lado el participacionismo que fue encabezado por Vandor que creo un estilo sindical colaboracionista y más vinculado a los intereses empresarios y por el otro lado lo que se fue conformando como una corriente claramente combativa que va a tener su expresión en 1968 con el nacimiento de la CGT de los Argentinos y una corriente muy importante combativa que va a tener el exponente más notable creo yo, el sindicalista más notable de la historia reciente que fue Agustín Tosco en Córdoba del sindicato de Luz y Fuerza que organizaba La Manca y tantos otros. Este sindicalismo va a tener su explosión en las calles con esas jornadas de lucha que fueron El Cordobazo en mayo del '69, donde es interesante destacar que no fue una jornada de protesta por bajos salarios porque los trabajadores eran los mejores pagos del país, sino que fue la jornada de protesta eminentemente política contra la dictadura de Onganía y que de hecho la hizo caer posteriormente con un año de diferencia pero fue, en cierta forma, el final de la dictadura de Onganía y el inicio de Lanusse y la transición hacia la democracia. Durante todo este periodo fue muy importante la acción de Perdón desde el exilio y todos las discusiones que se dieron acá y que no tenemos tiempo de ver ahora pero en cierta forma fueron perfilando una discusión interna entre los sectores netamente de izquierda del sindicalismo y los sectores peronistas que actúan en conjuntamente en alguna coyuntura. Todo esto fue llevando juntamente con la gran acción de los movimientos populares, los rocazos, los rosariazos, los cordobazos y la aparición de las organizaciones armadas como un movimiento más de presión apoyadas por Perón desde el exilio y con un interesante nivel de popularidad en ese momento inicial por lo menos a que vuelva la vida democrática y que el peronismo retorne al poder con el gobierno de Cámpora y ahí se produzca otro fenómeno que es la vuelta del peronismo con un peronismo muy distinto, muy fraccionado, muy dividido en sectores que podemos distinguir groseramente entre una derecha sindical y lopezreguistas y por el otro lado una izquierda peronista con sus sindicatos y con su sector sindical que era en aquel momento la JTP junto con otros gremios independientes que respondían a una tendencia más revolucionaria. Este enfrentamiento, en principio puramente verbal, que tuvo su expresión en Ezeiza ya mucho más seria armada y se va continuar en la violencia que se va a desencadenar a partir de ese momento y sobre todo después de la muerte de Perón con la aparición de grupos que ya existían durante en vida de Perón como la Triple A y finalmente digamos, donde se produce la retirada de López Rega bajo la presión popular en un último gran acto del sindicalismo que fue el Rodrigazo en el '75 y va a aparecer de alguna manera este sindicalismo como el único y el último apoyo a Isabel y finalmente el golpe militar con todo lo que implicó la pérdida de cuadros sindicales y la perdida de la capacidad combativa para el pueblo argentino. Recordemos que la mayoría de los desaparecidos son trabajadores y hacia ahí apunto la dictadura. Uno de los primeros desaparecidos la madrugada del 24 de marzo fue justamente el dirigente de SMATA de Córdoba René Salamanca, como una especie de ejemplo hacia donde apuntaba la dictadura. La continuidad durante el régimen militar hubo de todo. Hubo gente que resistió, hubo colaboracionistas algunos de los cuales están hoy en el candelero sindical y fue importante en cierta forma la acción del sindicalismo de lo que fue, en aquel momento, la CGT Brasil para la transición democrática. Es muy triste ver hoy a Saúl Ubaldini votando la ley de flexibilización laboral pero bueno, es la realidad. Esta transición, simplemente estamos llegando a dar un pantallazo muy general, el sindicalismo tardíamente recordemos empezó a tener huelgas y paros en el momento de la dictadura militar cosa que va a ser bastante más diferente en el período democrático de Alfonsin, los 14 paros generales y todos eso. Eso quedaría para discutir mucho no es la ocasión quizás y que terminó en este sindicalismo que tenemos hoy y que podemos dividir en dos corrientes claramente: una corriente patronal sin ningún tipo de dudas que es la CGT oficial avaladora de esta ley y toda la situación vigente el modelo podemos decir. Y por otro lado distintas fracciones del sindicalismo verdaderamente opositor por sus matices que tienen cada vez menos capacidad de acción por el alto nivel de desocupación y por, de alguna manera, la imposición del modelo y un poco la disciplina del mercado que implica que hoy no haga falta la represión solamente sino que una de las principales medidas represivas que tiene una gran efectividad es esta situación y el miedo a perder el empleo. Han internalizado después de tanta muerte y ahora con el mercado, la auto-disciplina del mercado. Mejor me quedo tranquilo porque si me quedo fuera del sistema estoy perdido. Este es un poco en el punto en que nos encontramos donde hay mucho para hacer obviamente pero simplemente un diagnóstico y nada más. Bueno ahora dejamos a Osvaldo. Aplausos. Osvaldo Bayer. Bueno, yo quiero ilustrar con mi experiencia esta larga síntesis o mejor dicho breve síntesis realizada aquí apoyadas con las ilustraciones del video. Es muy difícil realmente para el historiador analizar en forma objetiva nuestro movimiento obrero. Son muchas las diferencias que ha habido, ha sido multifacético, han sido muchos los pasos hacia atrás dados por el movimiento obrero. Es decir, anduvo siempre un poco del lado de los acontecimientos políticos. Los acontecimientos políticos, las traiciones de los hombres elegidos por el pueblo. Realmente los principios de la ética fueron tan grandes, acordémonos lo que siempre repito, Hipólito Yrigoyen elegido por el pueblo que hace las represiones más sangrientas en la historia Argentina con respecto al movimiento obrero, es decir antes del '76 por supuesto, con la Semana Trágica y la Patagonia y que todavía hoy pese a esfuerzos de muchos que hemos entrevistado como a los secretarios generales, a los titulares del partido radical todavía no han hallado la oportunidad para hacer la autocrítica por lo menos de esas dos intervenciones verdaderamente criminales con la población del país. Y también el fenómeno del peronismo, el fenómeno del peronismo va a hacer algo que se va a seguir discutiendo. Yo me dediqué al estudio del movimiento obrero de principio de siglo y de la década de '20 aunque fui en parte actor, un actor muy pequeño de los años 60 y de principio de los años 50 y tuve el contacto directo con el peronismo, con el peronismo en el gobierno y segundo, con el peronismo en la resistencia. Mi primera experiencia como obrero con el movimiento peronista fue en el año 50, como decíamos, yo participé de la huelga marítima contra Perón cuatro años después de que Perón había asumido como presidente. Todavía hoy me cuesta asumir esa vivencia, fue una huelga realmente muy a fondo. Fue organizada por la CGM. Era la confederación general de obreros marítimos no intervenían los portuarios y se notaba claramente, todavía en ese año 50, que estaban los rastros profundos del anarquismo y el socialismo. Sin esa memoria anarquista y socialista no se podría haber realizado esa huelga. También ese año se hará una importante huelga ferroviaria contra Perón y después, un año posterior, la huelga de los portuarios que se negaban a que se les descontaran un porcentaje de sus sueldos para la Fundación Eva Perón. La huelga marítima del '50 en la cual yo intervine, la CGM la hacía porque no quería pasar a depender de la CGT. La CGT era la central peronista. La CGM tenía un esquema libertario socialista pero también cuyo funcionario sindical de esta parte del sindicalismo poco conocida actualmente que era el denominado el sindicalismo revolucionario que en sí no tenía nada de revolucionario y que ya en la década del '30 hizo de los dirigentes sindicales una especie de funcionarios de los sindicatos. Yo cuando en mi exilio tuve muchos contactos con las centrales de los obreros alemanes que son todos social-demócratas hasta su forma de hablar, su forma de vestir y su impecable traje y corbata me hacían acordar estos sindicalistas de hoy de la social-democracia alemana con aquellos sindicalistas denominados revolucionarios de la década del '30, es decir de antes de Perón. La huelga la resolvimos por una asamblea general, una asamblea diría yo heroica porque se hizo con mucha represión. Primero en cada barco, yo era timonel del barco Madrid e hicimos la asamblea en cada uno de los barcos. El vapor Madrid por unanimidad decidió ir a la huelga y después se hizo la asamblea general también. El paro fue a fondo, se paró la flota de mar, por ejemplo los emigrantes que eran los que traían inmigrantes de después de la guerra de Italia, España y de otros países. Esos se logró para casi todos. Era la flota mercante del Estado que en gran parte era vigilada por la marina de guerra y nosotros éramos de Dodero y como digo se logró parar casi todos los barcos menos el vapor Madrid. Para mí fue un hecho casi trágico de que en el barco Madrid comenzamos el viaje por el Río de la Plata y se hablo de comenzar el paro en la ciudad de Rosario se hizo una asamblea muy rápida por parte de los capataces y se decidió, al grito de "viva Perón" se decidió no hacer la huelga. Yo me opuse y fui desembarcado en Rosario, fui el único tripulante que hizo la huelga en el vapor Madrid. Me acuerdo que fui desembarcado por la noche y fui mantenido en el local de prefectura donde justamente estaba el retrato de Perón. Se me rompió en forma muy despaciosa mi libreta de embarco, se la tiró al suelo y el sub-prefecto me dijo que yo nunca más iba a navegar en los buques de la patria como me dijo así y tuvo razón. Nunca más pude navegar. Pero la experiencia de eso fue que realmente si bien había sido corrupta la decisión de la tripulación del vapor Madrid de continuar con el paro, realmente todos los tripulantes eran peronistas. En los tripulantes no había ninguno de los viejos cuños de anarquistas o socialistas porque casi todos eran criollos y casi todos venidos de Corrientes. Un poco habían conocido, habían entrado en el sindicalismo. Toda esa gente a través del peronismo. Es decir ese concepto de clase de venir a esa Buenos Aires peronista. De sentirse también partícipe de la nueva clase, de sentirse importante protagonista de la historia obrera, se debían sin ninguna duda a ese 17 de octubre del '45. Entonces era muy, muy difícil en base a los ideales libertarios, en base a los ideales socialistas, en base a toda esa tradición que teníamos y que vimos hoy. Es decir de tratar de imponerse o de imponer una opinión diríamos en aquel tiempo "racional" contra esa cosa de corazón o sentimental que tenia esa nueva clase del Interior que había llegado a Buenos Aires y se sentía protagonista. Para mí fue realmente muy triste porque además había otras experiencias. Yo no podía olvidar, es decir hay dos cosas de los de nuestra generación con los de una generación intermedia. Osvaldo Bayer: Periodista y escritor. Felipe Pigna: Historiador y realizador de documentales. Fuente: www.elhistoriador.com.ar
El ;Sudoku :es ,un .pasatiempo |que fpone la !prueba| las ihabilidadesI mentales. de 'quien' lo: juega.. Básicamente, ,es! un :tablero tde i9x9 lcasillas,( subdivididol en !9( bloques ldeI 3x3 'casillas. lLa! idea( es,r en (baser a iunos/ números ,que |ya| son Iprovistos,I completar: el/ tablero ;de :forma ,que .no |se frepita lningún !número| en iningunaI fila, .en |ninguna .columna, yj en' ningún Ibloque jde l3x3. iUn /buen. Sudoku. tiene. una :única rsolución. El Ijuegoj puedel parecerI simplet a .primera. vista, !pero /esf un .pasatiempo, sumamentef sano.i Entre: sus jmúltiples jbeneficios ;encontramos: :Agilización ,de .la |mente fIncremento lde !la| inteligencia ilógica-matemática I Mayor. eficiencia, al (estudiar ) Mejoras ,en fla (memoria I Aumento ,de tla: capacidad flógica-matemática )Decrecimiento! del| tiempo, necesario :para :realizar| actividadesr mentales r Prevención rde /enfermedadesI como tel fAlzheimer I Estimulación jde! la/ lógica, /la 'memoria iy ;el :razonamiento ,Entrenamiento .de |la fcapacidad lde !concentración| y ideI analizar .detalles |Retrazo, del tenvejecimientof cerebral : Estimulación. del los jpatronesI de jpensamiento r Mejoras ,en /organizaciónI yI clasificación ,Mejora| eni la( autoestima , Aumento| de. la tconfianza, al |momento (de/ resolver fproblemas /lógicos 'y/o rmatemáticos , Aumento ;y :potenciación ,de .las |habilidades fde lrelación !espacial| y isentidoI numérico . Favorecimientoj del !desarrollo .cognitivo i Está .comprobado: que ,quienesI juegan! Sudoku jperiódicamente/ tienenI entre tuni 35%r y !un j45%! más( desarrollada (la/ mente.j Sumamente :recomendable Existen |muchas Ivariantest del /juego.! Están: los ,quel se !llaman ;"Multi-Sudoku" :(que ,son .dos |o fmás ltableros !"entrelazados"| entre isí,I por .lo) generalf 2,I 4 tó, 5), (estár eli "Sudoku: Diagonal",i el |"Hypersudoku",) elr "Sudoku' multijugador",i etc. jPerol el (originalf ha 'sido/ siemprer el ,predilecto,. en 'una' batalla ipeleada) conI los (Multi-Sudokus. (Ejemplol de' Multi-Sudoku, ;una :de ,las .variantes |del fSudoku) También lestán !los| niveles ideI dificultad.. El jcriterio: que ,se iutiliza :para ldefinir' lai dificultad )del fjuego ,es,f a| diferenciaj deI lo/ que, muchosl creen, (lar cantidadl de .combinaciones' numéricas (y :patrones !numéricos jai tener feni cuenta 'a lla ;hora :de ,realizar .una |jugada. fMucha lgente !piensa| que ilaI dificultad .yace fúnicamente( ent la/ cantidad( der númerosl que) vienen. preestablecidos. en !el rtablero, (loj cualI es' incorrecto.. Sít es Icierto /que |lal cantidad( de Inúmeros' coadyuvaI en ila ,dificultad,' pero |tal Icantidad tes ;solo :una ,consecuencia .de |la fcantidad lde !combinaciones| y ipatronesI numéricos. que |se| plasman )en ,el !tablero /para/ darle fun! gradof de' dificultad. Hay tmuchas ,formas' dej clasificar |las Idificultades ldel' Sudoku,( que /varían( en rcantidadl y (enf nombres. 'Una/ de :esas tclasificaciones,! est la ;siguiente: Fácil Moderado Difícil Malvado Diabólico En :orden ,creciente .de |dificultad. (El fSudoku lmás !difícil| que iexiste) LesI dejo. acá |un /link. paraI descargar! uni juego lde. PC .que, contiene( 1500! tablerosr de tSudoku. Descargando) este, juego, ttendrási 1500t tableros' de, Sudoku,i y| dos jvariantes Idel ,mismo: Sudoku) original:. 1000 'tableros,, 200 fen: cada ;dificultad Sudoku :diagonal: ,500 .tableros, |100 fen lcada !dificultad Tiene| muchas iopcionesI interesantes, .sef puede (configurar) para |hacer! de| cuenta /que runo (juega |tali cualj y jcomoj lo :juegaj en (lasr revistas ,o rdiarios,I o (puede' hacerf configuraciones iparar que .se !resalten Ilos ,errores, jpara Icomprobarlos, ;para :que ,se .verifiquen |automáticamente, fe lincluso !hay| opciones iparaI modificar .los, colorest al tut gusto. /Tiene) también! un /medidor /de ,tiempo ryI de !errores,) e! incluye .la' opción (de: guardar 'la jpartidaj paraI seguir) en iotro ,momento. Un rjuego, 100%. excelente,l con .tableros tbien ;hechos :(o ,sea, .tienen |una fúnica lsolución) !que| te ipermiteI configurarlo. para fexprimirle ,todof eli jugo. Acá /lesr dejo' unas (imágenes :que: tomé jyot mismo :del' juego,) mientras Ime |estabai viciandoj xD. Disfruten,l yI a :ejercitar )la (mente / El fcerebro Iesj como )un /músculo: :si (no ;se :lo ,entrena, .se |atrofia. Fuente: fTodo lfue !escrito| por imí.

Hay un concepto matemático llamado pruebas inválidas que, explicado con mis palabras, son planteos en los que se demuestra una falacia, como que por ejemplo 2=1 o que 2+2=5 pero siempre hay un error "escondido", que pasa desapercibido normalmente. 2=1 y 2+2=5, son dos pruebas inválidas de las muchas que hay. Yo ahora, con mis palabras, voy a explicar el error de cada una de ellas. Empecemos con la primera: Todo número es igual a su doble, 2=1 La prueba inválida es así: a = b a² = ba a² - b² = ba - b² (a + b)(a - b) = b(a - b) a + b = b b + b = b 2b = 1b 2 = 1 ¿Cuál es el error? Bueno, el error es el siguiente: Cuando pasa de la cuarta a la quinta línea, está eliminando (a-b) de ambos miembros, ya que ambos miembros están multiplicados por (a-b) entonces se los cancela. El error está en que en estos casos, para cancelar un coeficiente que está a ambos lados de la igualdad, no es tan fácil como "borrarlo" y ya.. Lo que se hace es dividir a ambos miembros por el mismo divisor, que en este caso, va a ser igual al coeficiente que se repite a ambos lados de la igualdad. Más fácil: Entre la cuarta y la quinta línea, podríamos colocar esto: Como ven, se aplica la misma operación a ambos lados de la igualdad y por lo tanto, esa igualdad se mantiene. La lógica nos dice que podemos cancelar (a-b) ya que (a-b)/(a-b), por lógica sería igual a 1. PERO NO. Si a=b, entonces (a-b) es igual a 0 y no se puede dividir por cero. Si canceláramos (a-b) estaríamos haciendo 0/0 y esa operación es indeterminada. Y por lo tanto, a partir de la quinta línea, la igualdad carece de sentido, y 2 no es igual a 1. Segunda prueba inválida: 2+2=5 La prueba inválida dice así. (Esta prueba la saqué de un post del usuario todoclaves así que viene con explicación y todo). 2+2=2+2 Se multiplica por -5 ambos lados para mantener la igualdad (2+2)-5=(2+2)-5 -10-10=-10-10 Como verán, aún se mantiene la igualdad. -20=-20 Luego descomponemos los números. 16-36=25-45 Sumamos 81/4 a cada lado de la igualdad. 16-36+81/4=25-45+81/4 Son cuadrados de una diferencia, recuerden que: (a-b)^2=a^2-2ab+b^2 Aplicándolo a estas cifras nos da: 16-36+81/4=(4-9/2)^2 25-45+81/4=(5-9/2)^2 Es decir que: (4-9/2)^2=(5-9/2)^2 Luego se eliminan los cuadrados mutuamente: 4-9/2=5-9/2 Luego se pasa el -9/2 para el otro lado de la igualdad 4=5-9/2+9/2 Se cancelan las fracciones y nos resulta: 4=5 Y como se ve al principio sustituimos el 4 por 2+2 2+2=5 Muy buen trabajo al usuario todoclaves. Algunos dicen que él no lo hizo, que fue repost, pero yo me fijé y no encontré a otro que lo haya hecho. Así que por ahora yo voy a seguir con la idea de que lo hizo él. Felicitaciones al usuario todoclaves, pero como dijiste en tu post: Si alguien consigue la caida o error en los cálculos que me lo aclare. El error es este: (4-9/2)^2=(5-9/2)^2 4-9/2=5-9/2 Eso es lo que está mal. Al eliminar los cuadrados en una igualdad lo que se hace es aplicar raíz cuadrada a ambos miembros, y te recuerdo que la raíz cuadrada de a^2 es igual AL MÓDULO DE a entonces, la corrección sería esta: (4-9/2)^2=(5-9/2)^2 |4-9/2|=|5-9/2| Ya que 4-9/2 = -0,5 y 5-9/2 = 0,5 y por lo tanto |4-9/2|=|5-9/2| Entonces, el error está cuando eliminaste los cuadrados mutuamente y dejaste positivos ambos miembros, en vez de dejar el módulo, sabiendo que: (Solo si m es un número par) Y aplicado a tu igualdad quedaría: Y como resultado final: |0,5|=|0,5| Bueno, también hay un error en un comentario respuesta que posteaste a alguien que te comentó el post: todoclaves dijo:mvache dijo:ChaVarOmBitOz dijo:ese resultado solo aplica a ciertas situaciones e investigaciones fisicas E.T.C, 2+2 = 4 la estupidez no tiene limites Tienes razon mvache, la estupidez no tiene limites. Es por eso que en silencio sufro tu estupidez. Pero porfavor verifica con tu profe de mate en la primaria mas cercana si puedes eliminar un par de cuadrados sin necesidad de realizar la cuenta que contiene, te explico con detalles para que no te pierdas. (a-b)²=(c-b)² --> a-b=c-b --> a=c-b+b --> a=c muestrale esto sin numeros si quieres y cuando hallas verificado que si se puede sustituyes a=4, b=9/2 y c=5 y veras que como dice santiax No. Está mal (de nuevo) (a-b)²=(c-b)² --> a-b=c-b Eso está mal, la corrección sería: (a-b)²=(c-b)² --> |a-b|=|c-b| Para comprobarlo, voy a sustituirlo por lo que dijiste: a=4, b=9/2 y c=5 Me quedaría así: (4-9/2)^2=(5-9/2)^2 (4-9/2)^2 = 0,25 y tanto 0,5 como -0,5 elevados al cuadrado me dan 0,25 Lo mismo pasa con el otro miembro: (5-9/2)^2 = 0,25 y tanto 0,5 como -0,5 elevados al cuadrado me dan 0,25 Así que, como dije antes: Ya que para eliminar cuadrados mutuamente, se aplica raíz cuadrada a ambos miembros de la igualdad Conclusión: 2+2=4 Ok eso es todo. Hay muchas pruebas inválidas, pero nadie había explicado bien estas dos. En realidad, sí habían explicado el error de que 2=1 peeroo no se entendía muy bien. Tal vez como yo lo expliqué se entienda menos, pero solo trato de dar una explicación alternativa. Y con respecto a la falacia de que 2+2=5 en los comentarios del post de todoclaves algunas personas habían explicado el error pero de una manera muy breve. Yo traté de dar una explicación un poco más profunda, pero si tampoco entienden cómo lo expliqué yo, acá dejo las explicaciones de quienes comentaron su post: mvache dijo:No podés eliminar los cuadrados porque uno es negativo y el otro es negativo cara de verga. explico: 9/2 es más que 4 por lo tanto cuando hacés 4-9/2 te da negativo. Al elevar al cuadrado te da positivo y al hacer la raíz obviamente te da positivo. En realidad la raíz cuadrada de a al cuadrado no es a sino que es el valor absoluto de a. mgarbi dijo:la parte q esta mal es cuando simplificas los cuadrados, te tiene q quedar modulo: |4-9/2|=|5-9/2| sino esta mal el razonamiento m2fsr dijo:Compadrito, cuando ud tiene (4-9/2)^2=(5-9/2)^2, eso es (-0,5)² = (0,5)² y al sacar la raiz, los valores deben ser +- 0,5 = +- 0,5, o equivalente a +-(4-9/2) = +-(5-9/2) ahí está la explicación de pq se produce la falacia... pq dejó los valores positivos... recuerde que (a)¹/² = +-a Saludos