Empecemos con la primera:
Todo número es igual a su doble, 2=1
La prueba inválida es así:
a² = ba
a² - b² = ba - b²
(a + b)(a - b) = b(a - b)
a + b = b
b + b = b
2b = 1b
2 = 1
¿Cuál es el error?
Bueno, el error es el siguiente:
Cuando pasa de la cuarta a la quinta línea, está eliminando (a-b) de ambos miembros, ya que ambos miembros están multiplicados por (a-b) entonces se los cancela. El error está en que en estos casos, para cancelar un coeficiente que está a ambos lados de la igualdad, no es tan fácil como "borrarlo" y ya.. Lo que se hace es dividir a ambos miembros por el mismo divisor, que en este caso, va a ser igual al coeficiente que se repite a ambos lados de la igualdad.
Más fácil:
Entre la cuarta y la quinta línea, podríamos colocar esto:

Como ven, se aplica la misma operación a ambos lados de la igualdad y por lo tanto, esa igualdad se mantiene. La lógica nos dice que podemos cancelar (a-b) ya que (a-b)/(a-b), por lógica sería igual a 1.
PERO NO. Si a=b, entonces (a-b) es igual a 0 y no se puede dividir por cero. Si canceláramos (a-b) estaríamos haciendo 0/0 y esa operación es indeterminada.
Y por lo tanto, a partir de la quinta línea, la igualdad carece de sentido, y 2 no es igual a 1.
Segunda prueba inválida:
La prueba inválida dice así. (Esta prueba la saqué de un post del usuario todoclaves así que viene con explicación y todo).
Se multiplica por -5 ambos lados para mantener la igualdad
(2+2)-5=(2+2)-5
-10-10=-10-10
Como verán, aún se mantiene la igualdad.
-20=-20
Luego descomponemos los números.
16-36=25-45
Sumamos 81/4 a cada lado de la igualdad.
16-36+81/4=25-45+81/4
Son cuadrados de una diferencia, recuerden que:
(a-b)^2=a^2-2ab+b^2
Aplicándolo a estas cifras nos da:
16-36+81/4=(4-9/2)^2
25-45+81/4=(5-9/2)^2
Es decir que:
(4-9/2)^2=(5-9/2)^2
Luego se eliminan los cuadrados mutuamente:
4-9/2=5-9/2
Luego se pasa el -9/2 para el otro lado de la igualdad
4=5-9/2+9/2
Se cancelan las fracciones y nos resulta:
4=5
Y como se ve al principio sustituimos el 4 por 2+2
2+2=5
Muy buen trabajo al usuario todoclaves. Algunos dicen que él no lo hizo, que fue repost, pero yo me fijé y no encontré a otro que lo haya hecho. Así que por ahora yo voy a seguir con la idea de que lo hizo él.
Felicitaciones al usuario todoclaves, pero como dijiste en tu post: Si alguien consigue la caida o error en los cálculos que me lo aclare.
El error es este:
4-9/2=5-9/2
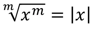
Eso es lo que está mal. Al eliminar los cuadrados en una igualdad lo que se hace es aplicar raíz cuadrada a ambos miembros, y te recuerdo que la raíz cuadrada de a^2 es igual AL MÓDULO DE a entonces, la corrección sería esta:
|4-9/2|=|5-9/2|
Ya que 4-9/2 = -0,5 y 5-9/2 = 0,5 y por lo tanto |4-9/2|=|5-9/2|
Entonces, el error está cuando eliminaste los cuadrados mutuamente y dejaste positivos ambos miembros, en vez de dejar el módulo, sabiendo que:
(Solo si m es un número par)

|0,5|=|0,5|
Bueno, también hay un error en un comentario respuesta que posteaste a alguien que te comentó el post:
todoclaves dijo:mvache dijo:
ChaVarOmBitOz dijo:
ese resultado solo aplica a ciertas situaciones e investigaciones fisicas E.T.C, 2+2 = 4
la estupidez no tiene limites
Tienes razon mvache, la estupidez no tiene limites. Es por eso que en silencio sufro tu estupidez. Pero porfavor verifica con tu profe de mate en la primaria mas cercana si puedes eliminar un par de cuadrados sin necesidad de realizar la cuenta que contiene, te explico con detalles para que no te pierdas.
(a-b)²=(c-b)² --> a-b=c-b --> a=c-b+b --> a=c
muestrale esto sin numeros si quieres y cuando hallas verificado que si se puede sustituyes a=4, b=9/2 y c=5 y veras que como dice santiax
No. Está mal (de nuevo)
(a-b)²=(c-b)² --> a-b=c-b
Eso está mal, la corrección sería:
(a-b)²=(c-b)² --> |a-b|=|c-b|
Para comprobarlo, voy a sustituirlo por lo que dijiste: a=4, b=9/2 y c=5
Me quedaría así:
(4-9/2)^2 = 0,25 y tanto 0,5 como -0,5 elevados al cuadrado me dan 0,25
Lo mismo pasa con el otro miembro:
(5-9/2)^2 = 0,25 y tanto 0,5 como -0,5 elevados al cuadrado me dan 0,25
Así que, como dije antes:
Ya que para eliminar cuadrados mutuamente, se aplica raíz cuadrada a ambos miembros de la igualdad
Conclusión: 2+2=4
Ok eso es todo. Hay muchas pruebas inválidas, pero nadie había explicado bien estas dos. En realidad, sí habían explicado el error de que 2=1 peeroo no se entendía muy bien. Tal vez como yo lo expliqué se entienda menos, pero solo trato de dar una explicación alternativa. Y con respecto a la falacia de que 2+2=5 en los comentarios del post de todoclaves algunas personas habían explicado el error pero de una manera muy breve. Yo traté de dar una explicación un poco más profunda, pero si tampoco entienden cómo lo expliqué yo, acá dejo las explicaciones de quienes comentaron su post:
mvache dijo:
No podés eliminar los cuadrados porque uno es negativo y el otro es negativo cara de verga.
explico: 9/2 es más que 4 por lo tanto cuando hacés 4-9/2 te da negativo. Al elevar al cuadrado te da positivo y al hacer la raíz obviamente te da positivo. En realidad la raíz cuadrada de a al cuadrado no es a sino que es el valor absoluto de a.
mgarbi dijo:
la parte q esta mal es cuando simplificas los cuadrados, te tiene q quedar modulo:
|4-9/2|=|5-9/2|
sino esta mal el razonamiento
m2fsr dijo:
Compadrito, cuando ud tiene (4-9/2)^2=(5-9/2)^2, eso es (-0,5)² = (0,5)² y al sacar la raiz, los valores deben ser +- 0,5 = +- 0,5, o equivalente a +-(4-9/2) = +-(5-9/2) ahí está la explicación de pq se produce la falacia... pq dejó los valores positivos... recuerde que (a)¹/² = +-a
Saludos





