Explicación sencilla de la teoría de la relatividad.
1 Introducción
A partir de tratar de explicar a personas que se interesaban, algunos conceptos de la teoría especial de la relatividad, sea la constancia de la velocidad de la luz, el significado del paso del tiempo, la relación entre los diferentes sistemas de referencia; me di cuenta que mis explicaciones no eran satisfactorias. Pienso que cuando uno no puede explicar algo es quizás porque algo de lo que intenta explicar no lo entiende. Así con el mismo método que encare la lectura y la escritura de temas
relacionados con la mecánica cuántica, me propongo ahora hacer lo mismo con la relatividad.
Lo primero que surge de algunas lecturas es que las teorías de la relatividad desarrolladas por Einstein, al igual que en el caso de la física cuántica, no son teorías que se vinculen con nuestro sentido común desarrollado a partir de las experiencias cotidianas. Esto sigue para mí siendo tan sorprendente como es el caso de la física cuántica , mi pregunta es ¿cómo una persona puede pensar y desarrollar una teoría a partir de supuestos que en una primera instancia suenan ridículos, o contrarios a lo que llamamos razonable? No tengo respuesta a esta pregunta pero sí una conclusión: hay que tomar caminos que no parecen razonables con confianza, si finalmente conducen a algo ese algo será extraordinario porque estaba oculto a los ojos de muchos y solo se revela por primera vez a aquellos que seguramente se encontraron con una felicidad suprema al ver que lo ridículo era cierto. Si no conducen a nada, el solo esfuerzo de transitarlos templa el espíritu para emprendimientos mayores, es en definitiva una escuela de formación del alma.
Vayamos ahora sí al tema. La teoría de la relatividad que se asigna a Albert Einstein, esta vinculada con los temas de la bomba atómica, la energía nuclear y con la idea de que no hay absolutos, sino todo es relativo. Digamos que lo referente a la energía nuclear es ante todo un subproducto de los trabajos de Einstein. A diferencia de muchas teorías científicas, la relatividad es una teoría que surge a través del método científico denominado deductivo en lugar del inductivo. Esto significa que Einstein inicia su planteo con algún postulado acerca de la naturaleza sin recurrir a experiencias observables es decir sin comprobación posible de lo que postula como verdadero; vale una digresión aclaratoria: el porque o de donde saca los postulados iniciales, mucho tienen que ver con lo que pasaba en el mundo científico en su momento; es decir Einstein no saca postulados de la galera. A partir de allí, deduce las consecuencias que se producirían si dichos postulados son correctos. Estas consecuencias se utilizan luego para predecir comportamientos de la naturaleza, y si los mismos se confirman correctos, entonces se acepta a la teoría como valida, independientemente que el o los postulados iniciales suenen extraños o contradictorios o no intuitivos, difíciles de entender en su significado.
Entre las consecuencias que suenan como esotéricas, encontramos la equivalencia de masa y energía: la masa seria algo así como energía congelada. La relación entre ambas esta dada por un factor tan grande que es la base de los desarrollos en energía nuclear y lamentablemente también guerra nuclear.
a) El paso del tiempo
Nuestra intuición nos dice que el tiempo es absoluto, un segundo es lo mismo para mi sentado en la computadora que para la persona que esta en un auto viajando a 120 km/hr. Por esa razón es que podemos usar relojes que miden el paso del tiempo y combinar encontrarnos en un lugar a una hora determinada. La primera ridiculez que surge como consecuencia de los postulados de Einstein allá por 1905, es que el tiempo no es absoluto, sino que el paso del mismo depende del estado de movimiento del reloj con el cual se mide. Un segundo medido en un reloj por cierto observador, corresponde a menos de un segundo transcurrido en un vehículo que se mueve respecto de dicho observador que mide. Esto quiere decir que el tiempo es relativo al observador que lo mide.
¿Por qué Einstein propuso cosas que conducen a conclusiones que suenan ridículas?
La relatividad del tiempo no es parte de nuestras experiencias personales en el mundo, por el contrario viola dichas experiencias. Los efectos de la relatividad del tiempo son muy pequeños, imperceptibles a las velocidades bajas que estamos acostumbrados en el mundo cotidiano. La relatividad es una propiedad de la naturaleza no intuitiva. Toda la física que se inicia en el siglo XX esta en desacuerdo con el sentido común.
Tampoco es posible hacer aproximaciones a la teoría de la relatividad especial a través de experimentos o deducciones matemáticas.
Lo que Einstein intento hacer es poder dar explicaciones que hasta ese momento no existían de fenómenos estudiados a lo largo del siglo XIX, algo así como una nueva interpretación.
2. Las dos teorías de la relatividad.
Einstein desarrollo dos teorías de la relatividad:
1. La teoría especial de la relatividad en 1905, que se ocupa de la forma en la cual el espacio y el tiempo se manifiestan a diferentes observadores, que se mueven a velocidades relativas constantes entre ellos. Cuando en física hablamos de observadores, nos referimos a personas que pueden hacer mediciones de espacio con una regla, o del paso del tiempo con un reloj. Es decir esta teoría es una teoría del espacio - tiempo
2. La teoría general de la relatividad en 1915, es una teoría que estudia las causas de la gravedad, de la atracción existente entre dos cuerpos. Pensemos por un momento lo extraño que resulta afirmar que dos cuerpos muy masivos (Ej. La tierra y la luna), ejercen entre sí una fuerza de atracción a pesar de estar separados por una gran distancia y no estar unidos por nada material. La acción a distancia sin una conexión concreta, es algo extraño, aunque al estar acostumbrados a percibirla, no nos asombra. Newton había determinado cual era la ecuación matemática que expresa la ley física de atracción entre los cuerpos, pero nunca explico el porque de la acción a distancia que ejercen los cuerpos entre si. Esta teoría de Einstein brinda de alguna manera ese por que.
3. La teoría de la relatividad especial
Ahora nos concentraremos en la primera de las teorías de la relatividad, es decir la especial.
En primer lugar tenemos que saber que la idea fundamental de esta teoría es la no existencia de la condición de movimiento o reposo absoluto. Solo existe el movimiento relativo entre cuerpos y el estado de reposo de un cuerpo será relativo a otro cuerpo. Este es el motivo por el cual la teoría adopta el nombre de Relatividad.
¿Qué significa la condición de movimiento absoluto? seria aquel que puede determinarse y medirse sin ninguna referencia localizada fuera del objeto en movimiento. No existen marcas fijas en el espacio contra las cuales pudieran observarse los estados de movimiento de los cuerpos. Pensemos ¿como nos damos cuenta nosotros viajando en un auto a velocidad constante, es decir sin acelerar ni frenar, que estamos en movimiento? . Alguna vez podremos haber tenido la experiencia de estar en un vagón de tren detenido en el anden, y de repente si vemos otro tren en el anden contiguo que se mueve en dirección contraria al nuestro, nos da la sensación que somos nosotros los que nos movemos. ¿Por qué? Porque simplemente es cierto, nos movemos relativamente al otro tren, lo cual no indica que nos estemos moviendo respecto del anden donde estamos estacionados.
La condición de movimiento esta íntimamente conectada con el tiempo. Es así que otra idea fundamental de esta teoría de Einstein será que el tiempo absoluto no existe.
Ya dijimos que la velocidad a la que escuchamos el tic-tac de dos relojes, depende de la velocidad relativa entre ellos. Se comprueba que si sincronizamos dos relojes , y uno queda en tierra mientras que el otro viaja al espacio y vuelve, al llegar, la lectura en este ultimo mostrara que el tiempo transcurrido es menor que la lectura en el reloj de tierra. No solamente esto sino que si hubo una persona viajando, esta habrá envejecido menos que la que quedo en tierra. Claro como antes dijimos, las diferencias son imperceptibles a los sentidos, aunque no en la medición de los relojes que puede hacerse tan precisa como sea necesario. Veremos esto con mas detalle mas adelante.
Un detalle acerca de la personalidad de Einstein. El siempre desconfió de ciertos conceptos establecidos no por la razón sino por una autoridad suprema. Esta actitud le permitió dar un gran salto, animándose a proponer lo que otros no se animaban o simplemente no se cuestionaban para no ser tildados de tontos.
Es así que lo que Einstein trataba de hacer cuando propuso su teoría especial de la relatividad, era encontrar el sentido a un conjunto de propiedades de la naturaleza observadas durante un largo periodo de tiempo. ¿Cuáles eran estas?
a) La relatividad de la mecánica
La rama de la física que estudia como las masas responden a las fuerzas que actuan sobre ellas y a su movimiento, se denomina mecánica. Newton desarrollo en el siglo XVII esta rama de la física a partir de contribuciones hechas anteriormente por Galileo. Las leyes de la mecánica, tienen implícito un principio de relatividad. Este dice que no existe ningún experimento mecánico que pueda revelar el estado de movimiento de un observador. Este solo puede medir su movimiento relativo a otro observador u otro objeto. No puede decir que se mueve a tal o cual velocidad en términos absolutos. Einstein extendió este principio de relatividad de la mecánica a toda la física cuando dijo que ningún experimento, no solo mecánico puede determinar un estado de movimiento absoluto. Su gran salto fue afirmar, el movimiento absoluto no existe.
b) La relatividad de la electricidad y el magnetismo.
La electricidad es un fenómeno de la naturaleza asociado con pedazos de materia cargadas positiva o negativamente. Este fenómeno se manifiesta porque entre dichos pedazos de materia cargada se ejerce una fuerza de atracción o repulsión. Cuando las cargas están en reposo hablamos de electricidad estática, mientras que si están en movimiento las denominamos corriente eléctrica. Al frotar un vidrio con un trapo y luego acercarlo a un papel tendremos un ejemplo de electricidad estática, mientras que del enchufe de la pared lo que obtenemos es una corriente eléctrica que esta producida por cargas en movimiento.
El magnetismo por otro lado, es una propiedad que tienen algunas substancias (especialmente el hierro), que se manifiesta también por una fuerza de atracción o repulsión, sobre substancias similares. La experiencia común que tenemos de este fenómeno es la observada con los imanes, los cuales interpretamos están rodeados de energía magnética que produce estas atracciones y repulsiones. Esta energía magnética es lo que se denomina el campo magnético del imán.
Al comienzo del siglo XIX, los científicos descubrieron que estas fuerzas estaban relacionadas de la siguiente manera: una corriente eléctrica en una cable produce a su alrededor un campo magnético, y viceversa un imán que se mueve en el interior de un cable enrollado (bobina) genera en el mismo una corriente eléctrica. Es decir, cargas eléctricas en movimiento generan magnetismo, mientras que imanes en movimiento generan corriente eléctrica.
A partir de que se conoció esta inter-relación, comenzó a denominarse a estos fenómenos electromagnéticos.
Lo que observaron los científicos de esta época, era que existía un principio de relatividad en el electromagnetismo, ya que los movimientos, sea de las cargas como de los imanes, para que produjeran campos magnéticos o eléctricos, eran movimientos relativos entre las partes con las que se hacia el experimento.
Esto se puede apreciar bien en el caso del imán que se mueve en el interior de una bobina. Es exactamente lo mismo dado que produce el mismo resultado que el imán se mueve en una dirección mientras la bobina esta quieta, como que la bobina se mueva en la dirección contraria mientras el imán esta quieto. Siempre que las velocidades relativas en ambos casos sean iguales, la corriente eléctrica que se genera será de la misma intensidad.
Luego vemos que haciendo este experimento solo podemos comprobar el estado de movimiento relativo entre la bobina y el imán, pero no sabemos cual de los dos es el que en realidad se esta moviendo.
Sin embargo no todo el electromagnetismo se ajustaba al principio de relatividad como veremos luego.
c) El descubrimiento de la luz como fenómeno electromagnético.
Maxwell en 1865, demostró matemáticamente que los imanes y las corrientes eléctricas podían producir ondas viajeras de energía eléctrica y magnética. Ondas que se movían en el espacio por sus propios medios, sin que los imanes o los cables intervinieran en este viaje. Una onda electromagnética como toda onda, transmite energía que se manifiesta como fuerzas eléctricas y magnéticas que se mueven a través del espacio. Estas ondas son invisibles, solo podemos apreciar sus consecuencias. Son campos eléctricos y magnéticos que se trasladan en la dirección del movimiento perpendicular a esta (la dirección) y perpendicularmente entre ellos. Es decir si graficamos tres ejes coordenados X, Y y Z, si la onda electromagnética se traslada en la dirección de Z, los campos eléctricos y magnéticos lo harán en la dirección de X e Y, o alternativamente de Y y X. Maxwell calculo matemáticamente la velocidad de traslación de estas ondas electromagnéticas y encontró que la misma era igual a la velocidad de la luz cuya magnitud ya había sido calculada en el pasado. A raíz de este descubrimiento, Maxwell propuso que la luz era una onda viajera de energía electromagnética, que viaja a través del espacio vacío a una velocidad finita cercana a los 300.000 km/seg.
Veamos mas en detalle el razonamiento de Maxwell:
* Una carga eléctrica tiene asociada a ella un campo eléctrico E. Su existencia sirve para indicar que toda carga eléctrica colocada en la influencia de dicho campo, experimentara sobre ella una fuerza de determinada magnitud y en determinada dirección.
* Si una carga eléctrica se mueve (esto es lo que conocemos como corriente eléctrica), se genera un campo magnético B, cuyo significado es la indicación de que toda carga en movimiento colocada en la influencia de dicho campo magnético experimentara una fuerza cuya magnitud y dirección diferirán de la que experimentaba por la acción del campo eléctrico.
* Dado que lo que realmente cuenta en materia de movimiento, son los movimientos relativos de las cargas respecto a los campos, podemos deducir que tendremos el mismo efecto anterior si sobre una carga en reposo actúa un campo magnético variable.
* Ahora bien si sobre una carga en reposo detectamos una fuerza, significa que la misma esta dentro de la influencia de un campo eléctrico.
* Por esto Maxwell concluye que un campo magnético variable, crea un campo eléctrico.
* La reciproca también se comprueba y así Maxwell también establece que un campo eléctrico variable produce un campo magnético.
* Si el campo magnético B varia en forma constante, el campo eléctrico E generado será también constante, y viceversa campos magnéticos que varían en forma no constante, generan campos eléctricos también no constantes.
* Así nos encontramos con una suma de efectos, campos magnéticos variables generan campos eléctricos variables, que a su vez generan mas campos magnéticos variables que a su vez generan campos eléctricos variables, y así siguiendo.
* Maxwell demostró que estos campos eléctricos y magnéticos variables que se recrean constantemente uno al otro, se propagan en el espacio a una velocidad definida y calculada c, que resulta igual a la velocidad de la luz.
d) El experimento de Michelson y Morley.
Estos científicos en el año 1881 realizaron un experimento para intentar encontrar un estado de reposo absoluto, basándose en que la luz es una onda con velocidad definida. Vemos como el tema de la época era poder encontrar un sistema de referencia absoluto, porque todos los desarrollos de Newton requerían de este concepto. A pesar de lo que hasta ahora se había concluido, los científicos no se convencían de la no existencia de estados absolutos de movimiento o reposo. El descubrimiento de que la luz era una onda electromagnética, hacia pensar que debía existir un medio a través del cual la onda pueda viajar. Esto surgía como analogía de otras ondas, el sonido requiere el aire para trasladarse, las ondas acuáticas el agua. Por definición, para que haya onda debía haber un medio material donde propagarse. Como la luz se mueve por todo el universo-así es que vemos las estrellas- este medio debía ser tal que estuviera en todos lados. Podía entonces utilizarse el mismo como referencia de movimientos absolutos. A este medio se lo conocía como éter. Para ver como calcular movimientos absolutos a partir de los movimientos relativos, veamos una analogía: Supongamos que estamos en un bote en el medio del agua. Si quisiéramos saber a que velocidad se mueve el bote respecto del medio, deberíamos en primer lugar generar ondas en el agua. Las mismas se alejaran de nosotros a una cierta velocidad que podemos calcular contando las crestas por unidad de tiempo transcurrido. Esta velocidad variara según sea que el bote este en reposo o en movimiento, y en que dirección, dado que la velocidad con que se alejan las ondas será mayor en la dirección opuesta al movimiento y menor en la dirección del movimiento. Si llamamos U a la velocidad de las ondas, y V a la velocidad del bote respecto al agua, la cual no conocemos, una vez que determinamos la dirección del movimiento del bote que es aquella donde la velocidad medida de las ondas será menor; sabemos que la velocidad que medimos será U+V para las ondas que se alejan de nosotros hacia atrás de la dirección de movimiento del bote y U-V la de sentido contrario. Es decir que si hacemos la siguiente operación podremos obtener la velocidad del bote respecto al agua V:
(U+V)-(U-V)=2V
De la resta de ambas dividido 2 obtendremos la velocidad V del bote respecto del medio agua.
Michelson y Morley intentaron medir la velocidad de la tierra respecto al éter con un sistema similar. La analogía es que la tierra es el bote, el éter es el agua, y las olitas son reemplazadas por la luz. Lo que hicieron fue medir la velocidad de dos rayos de luz perpendiculares, uno que viajaba en la dirección de la rotación de la tierra alrededor del sol, y otro perpendicular a este. El experimento partía de un mismo haz de luz que se separaba en direcciones perpendiculares hacia sendos espejos situados a la misma distancia del lugar de separación. En estos espejos se reflejaban volviendo a juntarse nuevamente. Su razonamiento era que el rayo que se mueve en la dirección del movimiento de la tierra, como en el caso del bote en el agua, tendrá al encontrarse con el otro rayo, una velocidad relativa diferente, dado que el espejo en el caso del rayo perpendicular al movimiento de la tierra, siempre mantiene la misma distancia de recorrido. Al tener velocidades relativas diferentes se produciría un desfasaje en los rayos que se manifestaría mediante un fenómeno de interferencia. Este desfase, conociendo el valor de la velocidad de la luz permitiría calcular cuanto había recorrido la tierra respecto al éter y por ende su velocidad. Para su sorpresa, no encontraron nunca diferencias en la velocidad de la luz, es decir nunca se produjo una interferencia, sin importar en que dirección respecto al movimiento de la tierra la midieran.
Las dudas de los científicos fueron aclaradas por Einstein quien dijo una verdad de perogrullo, pero que nadie se animaba a decir. Einstein dijo que esta velocidad no se podía determinar porque el tal "viento de éter" no existe y que las ondas electromagnéticas no necesitan de un medio para trasladarse, sino que lo pueden hacer en el vacío, hasta aquí dijo lo que se observaba. Pero también dijo algo mas extraño, que la velocidad de la luz es invariante, y que la misma no esta afectada por la velocidad del observador que la mide o de la fuente que la emite, esto daba por tierra a un concepto muy arraigado en nuestro sentido común que es el de la composición de velocidades relativas.
e) Transformadas galileanas y transformadas de Lorentz
El titulo suena complejo pero es importante entrar en este tema para entender mejor el razonamiento de Einstein. Algunas ideas que aquí expondré serán repetidas pero sirve para aclarar mas el estado de la situación de la ciencia en el momento que Einstein saca sus postulados.
Se llaman transformadas galileanas, a un conjunto de ecuaciones que conectan sistemas de referencia en movimiento relativo uniforme, a estos sistemas de referencia se los denomina inerciales por estar en estado de reposo o movimiento rectilíneo uniforme entre si. Pensemos en un sistema S fijo y un sistema S’ que se mueve a la velocidad V respecto de S en la dirección del eje x.
Un punto P al que denominamos un evento, se identifica por medio de tres valores (coordenadas) que lo ubican en el espacio y un valor (coordenada) que lo ubica en el tiempo cuando el evento sucedió. Estos valores de las coordenadas son conocidos como: x, y, z, t en el sistema S. También, debe haber valores equivalentes en el otro sistema S’ que se mueve respecto a S, los cuales estarán relacionadas con las del sistema S. Las ecuaciones que relacionan cada una de estas coordenadas son las que ahora llamamos transformadas galileanas; y son las siguientes:
x’ = x-V.t
y’= y
z’= z
t’=t
Desde la época de Galilelo, existía un principio conocido como principio de relatividad, que dice que las leyes de la naturaleza tienen la misma forma matemática en todos los sistemas de referencia inerciales.
Las ecuaciones que se utilizaban para expresar o mejor transformar las leyes de la mecánica entre los diferentes sistemas inerciales, eran las transformadas galileanas que mostramos antes.
Cuando Maxwell desarrollo las leyes del electromagnetismo, surgió un conflicto entre las soluciones matemáticas de las ecuaciones de Maxwell y las transformadas galileanas . Las soluciones matemáticas de las ecuaciones de Maxwell daban origen a ondas que viajan en el espacio vacío a la velocidad de la luz, que como ya dijimos a esta altura se había calculado su valor con precisión. Esto es lo que le hizo decir a Maxwell que la luz era una onda electromagnética. Esta velocidad que surgía a partir de la resolución de las ecuaciones era para cualquier sistema de referencia, es decir era un invariante.
El problema que mencionamos surge porque ahora parecía que en el electromagnetismo las transformadas galileanas no eran validas, dado que en el sistema de referencia S’ relacionado con el sistema S a través de las transformadas galileanas, la velocidad de la onda en su componente x, debía resultar ser U’x=c-V, donde c es la velocidad de la onda y V recordemos que es la velocidad de S’ respecto a S.
Sin embargo la resolución matemática de las ecuaciones de Maxwell como dijimos daba que U’x= c.
Lo primero que se dijo para encontrar una salida a este conflicto, fue considerar que las ondas de luz se propagaban respecto a un medio denominado éter; de esta manera se decía que las ecuaciones de Maxwell eran validas solamente en el sistema de referencia en reposo absoluto del éter. Para otros sistemas que se movieran respecto del éter la velocidad de la luz cambiaria de acuerdo a lo que expresan las transformadas galileanas.
Entonces si existía un sistema de reposo absoluto dado por el éter, fue cuando Michelson y Morley intentaron hacer su experimento para determinar la velocidad de la tierra respecto al éter y concluyeron que la luz siempre se mueve a la misma velocidad independiente del sistema de referencia en el cual se la mida.
Este dato acerca de la velocidad de la luz constante, es lo que a Einstein le hace repensar el concepto que tenemos del espacio y del tiempo.
Las transformadas galileanas son incorrectas pero dan un resultado correcto cuando hablamos de velocidades dentro de nuestras experiencias cotidianas. Solo a altas velocidades cercanas a la de la luz parecería ser que dichas transformaciones no son correctas y que se debían encontrar otras.
Estas transformaciones existen y son las denominadas transformadas de Lorentz.
f) Deducción de las transformadas de Lorentz
La deducción de estas la podemos hacer teniendo en cuenta dos cosas, por un lado deben ser tales que a velocidades bajas estas ecuaciones se deben convertir en transformadas galileanas, ya que sabemos que en estos rangos de velocidades bajas, estas son validas. Por otro lado debemos incorporarles el dato que la velocidad de la luz es constante en los diferentes sistemas de referencia.
Veamos entonces la deducción:
Decimos primero que x’= g (x-Vt) (1) Sabemos que para g = 1 la ecuación (1) se convertirá en la transformada galileana.
Ahora bien si nos situamos en el sistema S’ como si fuera el fijo, el sistema S se moverá hacia el lado del eje x negativo a una velocidad V. Esto es fácil de interpretar tal como vimos en el ejemplo de los dos trenes en movimiento en el anden. Podemos escribir la ecuación que conecta ambos sistemas igual que en primer caso obteniendo que:
x= g (x’+Vt’) (2)
Esto lo hacemos para poder obtener de (1) y (2) la relación de t con t’, porque ahora sabemos que esta será diferente a la de la transformada galileana donde t=t’
x’=g (x-Vt)
x= g (x’+Vt’)
De este sistema surge que:
t’= g [t-(g 2-1).x/g 2.V] (3)
Todavía no sabemos cuanto vale g , solo que si es igual a 1 siguen valiendo las transformadas galileanas.
Aquí entra el segundo aspecto del razonamiento, que es incorporar la constancia de la velocidad de la luz para ambos sistemas S y S’.
Supongamos un instante inicial t=t’=0 donde iniciamos las mediciones en nuestros dos sistemas S y S’. Es como si ambos estuvieran acoplados en dicho momento inicial t=t’=0, a partir del cual S’ se empezara a mover respecto a S a una velocidad V en la dirección del eje horizontal x. En realidad debemos pensar que S’ ya se esta moviendo, y que a partir del momento de coincidencia de los orígenes O y O’, es cuando empezamos a realizar las mediciones. Esto es así porque si S’ estuviera quieto y empezara a moverse, tendría una aceleración, por ende el sistema dejaría de ser inercial y las conclusiones no serian validas. En ese instante inicial, cuando O=O’, sale un rayo de luz que recorre una distancia hasta un detector, dicha distancia es x en el sistema S y x’ en el sistema S’. Como dijimos que la velocidad de la luz c es constante en cualquier sistema, tendremos que
x= c.t
x’= c.t’
Reemplazando estos valores de x y x’ en las ecuaciones (1) y (3) tenemos:
En (1) ct’=g (ct-Vt) è ct’= g t(c-V) llamamos a esta (A)
En (3) t’=g [t-(g 2-1)ct/g 2..V] è t’= g t[1-(g 2-1).c/g 2.V] llamamos a esta (B)
Dividiendo (A)/(B) y desarrollando algebraicamente (es sencillo y da) llegamos a:
g 2=1/(1-V2/c2)
Si ahora reemplazamos este valor de g en las ecuaciones (1) y (3) obtendremos las denominadas transformadas de Lorentz que cumplen con los dos requisitos a saber:
* Para velocidades V muy bajas respecto a la velocidad de la luz se convierten en las transformadas galileanas
* Respetan el postulado de la constancia de la velocidad de la luz en ambos sistemas de referencia S y S’.
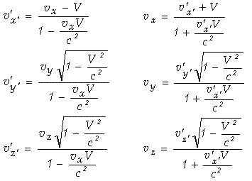
g) Transformadas de Lorentz
x’=(x-V.t)/(1-V2/c2)1/2
y’=y
z’=z
t’=(t-V.x/c2)/(1-V2/c2)1/2
Podemos ahora si volver a los postulados de Einstein y ver cuales son las consecuencias extrañas o contrarias al sentido común que surgen de los mismos. Aplicando las transformadas de Lorentz podremos ver como se producen dichas consecuencias.
h) Los postulados de Einstein
Recordemos ante todo haber dicho que un postulado es algo que no se explica o demuestra sino que por el contrario se establece y a partir del mismo se deducen las consecuencias de los mismos. Si estas pueden comprobarse experimentalmente entonces los postulados serán validos para la teoría así desarrollada.
* 1er Postulado de Einstein: Es el que ya existía conocido como el principio de la relatividad. Todos los observadores en movimiento constante entre ellos son completamente equivalentes. Todas las leyes físicas de la naturaleza son las mismas en todos los marcos (sistemas) de referencia inerciales donde se las mida.. No hay manera de conocer el estado de movimiento de un observador a partir de ningún experimento físico que sea realizado por dicho observador dentro de su sistema de referencia, (si jugamos un partido de fútbol en un barco o en un avión en movimiento uniforme (no acelerado) es igual que si lo jugáramos en la tierra, los jugadores no patean mas fuerte en la dirección del movimiento.
* 2do Postulado de Einstein. La luz siempre se propaga en el espacio vacío con una velocidad definida c, la cual es independiente del estado de movimiento del cuerpo que emite esa luz.
Este 2do postulado surge del primero por lo siguiente. Hasta el momento todos los experimentos realizados mostraban que no era posible determinar una velocidad absoluta. Si supusiéramos en contra del segundo postulado que diferentes observadores con diferentes velocidades relativas, pudieran medir diferentes velocidades relativas de la luz, entonces podrían haber determinado su propia velocidad a través del éter (velocidad absoluta), pero esto estaría violando el primer postulado de Einstein.
El razonamiento es algo confuso, pero el salto cualitativo de Einstein parece ser que dice que si todos los experimentos mecánicos y electromagnéticos realizados demuestran que no hay movimientos absolutos, entonces esto debe tomarse como verdadero y asumirlo como un postulado, el cual debe cumplirse siempre.
Einstein llamo a estas conjeturas postulados porque reconocía que no eran requeridos por la lógica de las evidencias experimentales, sino solo motivadas por ellas. Algo así como que Einstein exclamara: "... y si da así, será así..."
4. Consecuencias de la aplicación de los postulados de Einstein
a) En el significado del electromagnetismo
Una de las ecuaciones de Maxwell habla de que una carga en reposo genera un campo eléctrico (Ley de Columb). ¿Reposo respecto a que?.
Otra de las ecuaciones de Maxwell habla de una corriente eléctrica que son cargas en movimiento, generan un campo magnético (Ley de Ampere). ¿Movimiento respecto a que?
Desde la relatividad podemos decir que si un observador se considera en reposo medirá un campo eléctrico generado por la carga en su mismo sistema de referencia, mientras que otro observador que esta en un sistema en movimiento respecto al primero (digamos en un tren) y hace la medición, medirá un campo magnético, porque respecto a su sistema de referencia, la carga se esta moviendo. Es decir ambas leyes, la de Columb y la de Ampere son manifestaciones del mismo fenómeno, pero medidos por observadores en diferentes sistemas de referencia, ambos en movimiento relativo entre ellos.
Es decir Einstein fue un paso mas allá que Maxwell al decir no solo que los campos eléctricos y magnéticos son manifestaciones de un único campo denominado electromagnético, sino que también dice que estas manifestaciones no son manifestaciones diferentes, sino la misma pero que dependen del sistema de referencia dentro del cual se las observe.
b) En el significado de los conceptos espacio y tiempo.
La constancia de la velocidad de la luz requiere que las nociones de espacio y tiempo cambien. Ya no pueden pensarse como cosas separadas, diferentes y absolutas. Estos conceptos dependen no de si mismos sino del sistema de referencia en el cual esta el observador que realiza la medición. Este cambio es mas fácil de visualizar a partir de las transformadas de Lorentz que son las ecuaciones que conectan o relacionan las coordenadas de un evento que sucede en el espacio y en el tiempo observado o medido en dos sistemas de referencia inerciales S y S’.
Recordemos que
x’ = (x-Vt)/[1-(V/c)2]1/2
t’= (t-Vx/c2)/[1-(V/c)2]1/2
Vemos como el tiempo t’ asignado a la ocurrencia de un evento por el observador O’ depende no solo del tiempo t, sino también de la coordenada espacial x asignada a dicho suceso por el observador O. así no podemos mantener una distinción definida entre el espacio y el tiempo como conceptos separados.
En lugar de localizar a un evento con 3 coordenadas espaciales y un tiempo separado de las mismas, tenemos que pensar en cuatro coordenadas similares en el espacio-tiempo que están mezcladas como vemos en las transformadas de Lorentz. Matemáticamente el tiempo es como una cuarta dimensión espacial.
b1) Simultaneidad
Dos eventos son simultáneos para el observador O si se producen en el mismo momento es decir, t2-t1=0, donde t2 es el momento de ocurrencia del evento 2 y t1 el de ocurrencia del evento 1. Si ambos sucesos ocurren en diferentes lugares del espacio, es decir x2-x1≠0, ¿cuál será la percepción de simultaneidad de los mismos eventos pero para un observador O’?
Aplicando Lorentz para el tiempo
Δt’ = (Δt-V.Δx/c2)/[1-(V/c)2]1/2
Δt = 0
Δt’ = (-V.Δx/c2)/[1-(V/c)2]1/2
Es decir Δt’ ≠ 0, lo cual significa que lo que es simultaneo para el observador O, no lo es para el O’ dado que no existe simultaneidad en el espacio es decir los eventos no ocurren en el mismo lugar.
Esto tendra consecuencias cuando comparemos intervalos de tiempo y longitudes que se miden en diferentes sistemas de referencia.
b2) La dilatación del tiempo
Imaginemos un reloj de luz, en el cual el paso del tiempo se mide por los tics hechos por un detector cuando un rayo de luz hace un recorrido de ida y vuelta desde una fuente emisora hasta el detector ubicado en el mismo lugar, reflejándose a mitad de camino en un espejo (A una distancia L desde donde esta la fuente y el detector). Imaginemos también que dicho sistema o reloj de luz esta montado en un tren que se mueve en dirección perpendicular al camino que recorre la luz a una velocidad v. Hay un observador en tierra O y uno en el tren O’.
O’ que esta en movimiento con el reloj de luz, dice que t’1 es el momento en que dispara el rayo, mientras t’2 es el momento en que el detector hace tic marcando la llegada del rayo. así decimos que los eventos son la salida del rayo de luz de la fuente y la llegada del rayo de luz al detector.
Los mismos eventos para O que esta en tierra, ocurrirán en los instantes t2 y t1.así tendremos un Δt’ y un Δt.
ΏEn que lugar del espacio ocurren estos eventos?. Para el caso de O’ en el mismo lugar dado que el rayo para el sale del mismo lugar a donde llega. Mientras que para O la salida y llegada del rayo se producen en lugares diferentes dado que el vio moverse al reloj, de allí que la posición del detector cuando el rayo le llega esta a un distancia del lugar adonde salió el rayo que es Δx= v∆t, dado que el reloj se mueve en el tren a velocidad v respecto de O.
Si reemplazamos estos valores en la transformada de Lorentz que relaciona los intervalos de tiempo tendremos luego de resolver algebraicamente que:
∆t’= ∆t.[1-(v/c)2]1/2. (1)
El factor que multiplica a ∆t esta en el rango [0,1] según sea el valor de v, o sea que el intervalo entre dos eventos será menor para el observador en movimiento O’ que el que mida el observador en reposo O. A esta prolongación del tiempo en un reloj es
lo que se denomina dilatación el tiempo.
A este mismo resultado podemos llegar con un simple razonamiento geométrico sin tener que recurrir a la transformada de Lorentz.
Para O’, ∆t’ = 2L/c simplemente es espacio dividido velocidad.
Para O, siguiendo el mismo razonamiento, el rayo de luz ahora recorre una trayectoria que conforma un triangulo de base v.∆t y altura L. La distancia recorrida es dos veces la hipotenusa del triangulo rectángulo que es la mitad del anterior. De la resolución de dicho triangulo concluimos que ∆t.[1-(v/c)2]1/2=2L/c. Relacionando con ∆t’ llegamos a la ecuación (1) que surgió a partir de la aplicación de las transformadas de Lorentz.
b3) El test de los muones, la contracción de la longitud.
Dado que O y O’ son equivalentes, podríamos pensar que el reloj pasa mas lentamente para el que esta en el tren si se mide respecto del que esta en tierra, es decir podríamos decir que en realidad el sistema fijo es el tren y el móvil el de tierra que se mueve a velocidad –v respecto del tren. Así podríamos concluir que la dilatación del tiempo es solo un efecto que se da matemáticamente pero que en la realidad es una ilusión, dado que nunca se puede comprobar.
Existe una comprobación que confirma la teoría de Einstein de la dilatación del tiempo denominada el test de los muones.
Sobre la atmósfera chocan rayos cósmicos a una distancia de 10 Km. sobre la superficie terrestre, de esos choque se producen unas partículas subatómicas denominadas muones, las cuales son detectadas en la tierra.
De los experimentos realizados en los aceleradores de partículas se sabe que la vida media del muon en reposo es de unos 2,20x10-6 segundos. Moviéndose como máximo a la velocidad c de la luz, podría recorrer a lo largo de su vida solo 0,66 Km. ¿Cómo hace para llegar a la tierra?. Lo que ocurre es que al moverse a la velocidad cercana a la de la luz, su reloj de tiempo transcurre mas lentamente cuando se lo mide desde el reloj en tierra; es decir la vida media en reposo se alarga a la velocidad a la cual se mueve según la transformada de Lorentz, permitiéndole recorrer una distancia mayor a los 0,66 Km. O sea que dentro de este periodo de su vida puede recorrer una distancia mayor medida según el observador en la tierra.
Lo notable es que si nos sentamos en el muon, la vida media transcurre en el tiempo que calculábamos como en reposo, porque nosotros en el muon estamos en reposo respecto a el. En ese periodo vimos que no puede recorrer mas que 0,66 Km., entonces ¿cómo logra llegar a la tierra? Visto desde el sistema de referencia del muon que se mueve a velocidades cercanas a la de la luz, las distancias se acortan y 10 Km. se pueden transformar en 0,66 Km. Es decir se produce un acortamiento de la variable espacio en la dirección del movimiento cuando este se produce a velocidades cercanas a la de la luz.
Distancias en movimiento se acortan, tiempos en movimiento se alargan, esto es lo extraño de la nueva concepción del espacio-tiempo según la teoría especial de la relatividad.
El acortamiento de las longitudes no significa que existan dos medidas absolutas de lo mismo, lo cual seria una paradoja, sino que la medida será diferente para cada sistema de referencia. Si dos personas permanecen a ambos lados de una gran lente cóncava, cada uno ve al otro mas pequeño; decir esto no significa que cada uno sea mas pequeño. El hecho de que los cambios de longitud y de tiempo sean considerados aparentes, no quiere decir que exista una verdadera longitud y un verdadero tiempo que parezcan distintos a distintos observadores. Longitud y tiempo son conceptos relativos, no tiene sentido hablar de ellos(medirlos) fuera del contexto de la relación entre un objeto determinado y su observador.
No tiene sentido decir que un conjunto de medidas es el correcto y que el otro es erróneo; cada uno es correcto con respecto al observador que efectúa las mediciones en su marco de referencia. Es decir no son ilusiones ópticas.
Por eso en el experimento del muon, tenemos un sistema de referencia adosado al muon, y otro sistema adosado a la tierra. En el primero, medimos la vida del muon y la llamamos vida en reposo; mientras que la medida de la longitud que recorre tiene un valor mucho menor que la que podemos medir respecto al sistema de referencia adosado a la tierra.
El cuestionamiento de si estas variaciones en longitud y tiempo son reales o aparentes es difícil de superar. Podríamos ver que pasa con otros fenómenos físicos a los cuales estamos mas acostumbrados. Veamos por ejemplo el efecto Doppler. Todos experimentamos alguna vez el cambio de frecuencia del sonido que percibimos cuando la fuente que emite el sonido se mueve acercándose o alejándose de nosotros. ¿Qué pasa entonces? ¿La frecuencia del sonido del silbato del tren es real o aparente? Decimos entonces que la frecuencia propia del sonido cuando la fuente que lo emite esta en reposo es invariable, el cambio se produce por el efecto del movimiento entre los sistemas de referencia. Lo mismo ocurre en el caso de la relatividad, las dimensiones propias de longitud y tiempo que son las medidas en el sistema en reposo (que es el sistema adosado al cuerpo en cuestión, el muon por ejemplo) no cambian. Los efectos del cambio se producen al medir en el otro sistema y son reales en tato que las mediciones son reales. La contracción de la longitud en el sentido del movimiento no se explica por teorías de la materia, sino que están referidas al proceso de medición.
c) En el significado de masa en reposo
La masa de un cuerpo es la cantidad de materia que tiene. Existen dos maneras de medir la masa de un cuerpo:
* Pesándolo. Esto determina la masa gravitatoria.
* Determinando la magnitud de la fuerza necesaria para acelerarlo hasta un determinado valor. Esto es la masa inercial.
El primer método no es bueno porque depende de la gravedad donde se pesa al cuerpo. Así la medida del peso de un cuerpo es diferente si se lo hace en la luna o en la tierra, a pesar de que la mas es la misma.
El segundo método es mas preciso pero esta sujeto a una variación mas extraña.
Dado que para medir la aceleración, debemos trabajar con movimientos, distancias y tiempos; al ser estos dependientes del sistema de referencia del observador, entonces la aceleración y por ende la masa inercial también dependerá de dicho sistema de referencia.
Un observador en reposo relativo respecto del objeto al cual le mide la masa (un astronauta en una nave con un elefante), medirá siempre al misma masa del elefante independientemente de a que velocidad se mueva la nave. Esta mas se la llama masa propia del elefante o masa en reposo.
Contrariamente, la masa que mide un observador en tierra, es decir desde otro sistema de referencia que esta en movimiento uniforme relativo a la nave, es la llamada masa relativista la cual varia según sea la velocidad de la nave. La masa inercial de un objeto ubicado en un sistema de referencia inercial en movimiento, medida desde el otro sistema inercial respecto del cual el objeto se mueve, será mayor a la masa en reposo o propia del objeto según la formula:
m= m0/[1-(v/c)2]1/2.
En la actualidad se ha comprobado que la formula anterior es correcta, a partir de observaciones de partículas subatómicas que se mueven a velocidades cercanas a c y que se producen en los aceleradores de partículas.
5. El calculo de velocidades relativas
A velocidades v<<c, las transformadas galileanas son validas, por eso es bastante sencillo calcular velocidades relativas, diciendo que las mismas se suman o restan según sean las direcciones de los movimientos.
En el caso de velocidades cercanas a la de la luz, esta forma de calcular velocidades relativas no es correcta porque llegaríamos al absurdo de que la luz puede moverse a velocidades superiores a c si saliera de una fuente que se mueve a la velocidad v.
Veamos una deducción simple:
Ux=(x2-x1)/(t2-t1) (1)
U’x=(x’2-x’1)/(t’2-t’1) (2)
Reemplazando los valores de las transformadas de Lorentz para ∆x’ y ∆t’ en (2) y resolviendo algebraicamente, llegamos a:
u’x=(ux-v)/(1-v.ux/c2)
Cuando v<<c è u’x=ux-v que era la ecuación de composición de velocidades relativas.
6. Las consecuencias extrañas de la teoría de la relatividad especial
Resumiendo, si tenemos dos naves que tienen un movimiento relativo entre si a una velocidad cercana a la de la luz, los astronautas que viajan en cada una de estas naves descubrirán que:
* La otra nave se ha encogido en la dirección del movimiento.
* Los relojes de la otra nave van mas lentos.
* La masa inercial de la otra nave aumento.
* Ojo!!! Los astronautas en cada una de sus naves encontraran que nada cambio.
En el extremo cuando la velocidad relativa llega a alcanzar la velocidad c de la luz, los astronautas dirán que:
* La longitud de la otra nave se ha hecho nula.
* El tiempo en la otra nave ha dejado de transcurrir.
* La masa de la otra nave se hace infinita.
Claramente estas consecuencias serian imposibles por lo que la velocidad c de la luz, es considerada como un limite máximo de la naturaleza que ningún cuerpo puede alcanzar.
Debemos tener muy presente lo siguiente para no confundirnos:
Todos los cambios que se producen en el tiempo, la longitud, la masa, deben entenderse como cambios que se observan siempre en el marco de referencia de los demás. Es decir la dilatación del tiempo por ejemplo de un observador en movimiento, no es observada (medida) por el propio observador sino por otro que esta fuera de su sistema de referencia y respecto del cual el primero se esta moviendo con movimiento rectilíneo y uniforme.
Espero que les haya interesado... Después pongo la segunda parte porque ahora estoy cansado y no puedo escribir más de 65000 letras en un solo post
