Circuito eléctrico a implementar
Datos:
Resistencias:
R1 = 1kΩ
R2 = 2kΩ
Capacitor = 1mF = 1×〖10〗^(-3) F (notación científica)
Alimentador (con tensión constante) 24V
Led
Carga del capacitor:
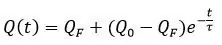
Formulas
Donde
------ Carga final
------ Capacitancia
------- Potencial eléctrico
------- Carga inicial
------- Resitencia
------- Tau (constante de tiempo)
t ------- Tiempo
Nota: para la carga se trabaja con la resistencia R1. Cuando el capacitor se haya cargado dejará de fluir la corriente eléctrica.
Sustitución
Esta es la carga final (aproximado), es decir será la carga que tendrá el capacitor ya cargado.
Existen unos parámetros que nos permiten definir el tiempo de carga o descarga de un condensador conectado a una fuente continua mediante una resistencia. A este parámetro se le denomina constante de tiempo.
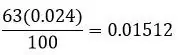
Es el cálculo de Tau, es la constante de tiempo de carga del capacitor
Este es el cálculo de la función de carga del condensador, observa que está en función del tiempo.
Un condensador requiere una cierta cantidad de tiempo para cargarse al valor del voltaje aplicado. El tiempo depende de la capacidad (C) y de la resistencia total (R) en el circuito de carga. El tiempo necesario para que la carga alcance el 63.2% de su valor final se llama constante de tiempo capacitiva y está dada por constante de tiempo capacitiva
Tomando en cuenta lo anterior, tomamos el 63% como el 100%
Mediante una regla de tres.
Ahora regresando a la función ya obtenida
Tomamos el "Q de t" como el valor obtenido por el 63%, es decir:
Despejando e^-t
Para poder eliminar el exponente, aplicamos la propiedad del logaritmo natural:
Entonces
De esta manera obtenemos una aproximación de Tau que se calculó desde el principio

Considerando condensadores ideales, se concluye que con un tiempo ,un condensador se carga o descarga un porcentaje del 63%, sobre su total. Aparte con 5𝜏, se completa la carga o descarga del mismo. El proceso de carga se completa cuando el condensador ya no admite más electrones de las placas de la fuente, en ese momento cesa el flujo de los mismos y se interrumpe la circulación de corriente.
Entonces tiempo de carga del condensador
De acuerdo al simulador utilizado a los 5 segundos el condensador se había cargado 23.84V aproximadamente 24V
Mediante un oscilador (Tektronix) se probó el circuito, el oscilador da una base de datos en Excel para poder apreciar con más claridad los resultados.
Gráfica obtenida de la base de datos
El cero u origen de la gráfica la tomamos en éste caso como 12.54s que es el momento en donde se realizó la carga del condensador.
Así que si a 12.54 le sumamos 5 que es lo que representa 5Tau nos dará 17.54, y si situamos el puntero ahí, en la diferencia de potencial será aproximadamente la carga final
17.54s que representa 5s después de la carga, se puede ver que se ha cargado 24V
Descarga del capacitor:
Formulas:
---->
Donde
------ Intensidad de corriente inicial
------ Carga total
------ Capacitancia
------- Resitencia
------- Tau (constante de tiempo)
t ------- Tiempo
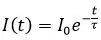
Nota: para la carga se trabaja con la resistencia R2. En éste circuito el led se prenderá y se irà apagando lentamente conforme se descarga el capacitor.
Sustitución
Con está formula se calcula la intensidad de corriente la cual está en función de la constante de tiempo Tau
Ésta es la función de la intensidad de corriente que representa la descarga del capacitor

La constante de tiempo para que la corriente de carga baje hasta el 36,8 de su valor inicial. En 2Tau la carga alcanza 86.5% de su valor final; en 3 Tau se llega al 95 % del valor final; y en 5Tau la carga alcanza el 99.3%, del valor total. Dado que la descarga de un condensador se produce a la misma velocidad, una constante de tiempo Tau es también el tiempo requerido por la carga para perder 63.2%, de su carga total inicial, o para bajar al 36.8%, de su valor inicial. En 2Tau, la carga disminuye el 100% - 86.5%, o sea 13.5% de su valor inicial; en tres constantes de tiempo, a 5% de su valor inicial y en cinco constantes de tiempo, la cargá declina hasta el 0.7% de su valor inicial. Éstos son también los tiempos requeridos para que la corriente de descarga disminuya el mismo porcentajes de su valor inicial durante la descarga.
Ésta es la gráfica obtenida en el oscilador
*Comparaciones
Graficando las funciones obtenidas de carga y descarga, notese que la gráfica de la función de descarga se prolonga más.

Graficando las funciones obtenidas de carga y descarga, notese que la gráfica de la función de descarga se prolonga más.

Observaciones
El capacitor se cargó en 5s, poco en comparación a que cuando se descargó ya que si la resistencia es de poco valor será más fácil que fluya la corriente y en consecuencia se cargará más rápido.
Al igual que si la constante del tiempo 𝜏 (Tau) es de pequeña magnitud se cargará más rápido.
El capacitor tardó más en descargarse debido a que la resistencia se oponía a la corriente era mayor.
No es posible que el capacitor quedé cargado con el mismo potencial eléctrico que de la fuente. Así como tampoco es posible que el capacitor quede totalmente descargado, o al menos no en éste caso ya que no había algún dispositivo de salida (output) que pudiera “consumir” la tensión que el capacitor tenía, ya que el led se a pago por completo cuando al capacitor le quedaba aproximadamente 5Volts puesto que la resistencia lo limitaba.
Cargar como descargar el capacitor la intensidad de corriente, la tensión y la potencia están en función del tiempo.