
LA NERD CONTINUA NERDEANDO AL ESTILO TARINGA!

♥ Y hablando de NERDS en esta ocasión doy comienzo al post hablando de un gran invento de Sir Francis Galton (16 de febrero de 1822 – 17 de enero de 1911),
♥ Según wikipedia :
Un polímata, antropólogo, geógrafo, explorador, inventor, meteorólogo, estadístico, psicólogo británico....
Ay no eso era de una Película

♥ Bueno, la cosa es que el tipo si era un genio. No tuvo cátedras universitarias y realizó la mayoría de sus investigaciones por su cuenta.
♥ Sus múltiples contribuciones recibieron reconocimiento formal cuando, a la edad de 87 años, se le concedió el título de Sir o caballero del Reino.
♥ Galton, creó una ingeniosa máquina que podía demostrar de forma mecánica un importante resultado de la teoría de probabilidades.
♥ Este experimento consiste de una distribución de clavos, de manera que al soltar x bolitas desde la cúspide de este artefacto, caen chocando con esos clavos.

#FotoPropia de otro de mis Post. Spam del bueno...

♥ Las x bolitas chocarán con el primer clavo teniendo una probabilidad de 1/2 de ir a la izquierda o hacía la derecha, y así sucesivamente con los otros clavos.
♥ A lo largo de esta estructura, las bolitas toman caminos aleatorios hasta caer en alguno de los canales colocados en la base.
♥ Al final, tendrán mayores probabilidades los canales interiores que los exteriores, formándose una distribución de probabilidades conocida como Binomial, que si el número de pelotas es suficientemente grande puede aproximarse por una distribución Normal o Gaussiana.

CLICK PARA VERLO MAS GRANDE:

♥ La CAMPANA DE GAUSS o CURVA DE DISTRIBUCIÓN NORMAL tiene la forma parecida a una campana, desciende lentamente y es de forma simétrica.
♥ Aunque a mi me parece más bonito verlo parecido a esto:


♥ Volviendo al tema, el vértice del gráfico se corresponde con el valor medio, y la anchura nos muestra la frecuencia con que aparecen las desviaciones de dicha media, de forma que cuanto más estrecha sea la campana, más raras serán las desviaciones con respecto a la media.
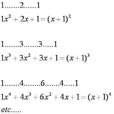
♥ Parte del secreto del comportamiento de las bolitas está en el TRIÁNGULO DE PASCAL, que se utiliza para conocer el valor de los números combinatorios.
♥ En la que cada número no es más que la suma de los dos que tiene encima.

♥ Las probabilidades de que las bolas tomen una u otra dirección son proporcionales a los números combinatorios que aparecen en dicho triángulo. Se incrementan al centro y van disminuyendo a los extremos.


♥ El triángulo de Pascal tambien se relaciona con la fórmula general del llamado Binomio de Newton (a + b)^n.
♥ Una forma de evitar tener que calcular uno a uno todos los coeficientes es utilizar el Triángulo de Pascal, ya que los coeficientes de la potencia n aparecen en la fila n+1 de dicho triángulo.


♥ Curiosamente si sumamos los numeros de las filas del Triángulo de Pascal obtenemos las potencias de 2


♥ Otras propiedades del Triángulo de Pascal se relacionan con sus diagonales

♥ La primera diagonal está constituida sólo por “unos”, y la siguiente posee todos los números consecutivamente (1,2,3, etc.)
♥ La tercera diagonal es correspondiente a los números triangulares (aquellos que pueden recomponerse en la forma de un triángulo equilátero)

♥ La cuarta diagonal, que no ha sido remarcada, corresponde a los números tetraédricos.


♥ También se relaciona con la Sucesión de Fibonacci !
Sucesión infinita que inicia con 0, y a partir de ahí cada elemento, es la suma de los dos anteriores


♥ Y con El Triángulo de Sierpinksi
Un fractal que se puede construir a partir de cualquier triángulo, eliminando el triángulo central uniendo los puntos medios de cada lado, y repitiendo hasta el infinito el proceso en los tres triángulos restantes como el primero:

Si se utilizan distintos colores para los números pares e impares en el Triángulo de Pascal, se obtiene el mismo patrón

Y ACÁ ES DONDE CONTINUO DIVAGANDO Y NO TERMINO MÁS EL POST.
ME VOY DE TEMA!
ME VOY DE TEMA!


♥ Asi que mejor los dejo con un interesante video de Paenza :

NO PIDO PUNTOS SOLO COMPARTILO.
POR UNA "INTELIGENCIA COLECTIVA"
POR UNA "INTELIGENCIA COLECTIVA"

