************************************
Carl Gauss
*******************
Retrato de Carl Friedrich Gauss, por Christian Albrecht Jensen
Johann Carl Friedrich Gauss (Gauß) (30 de abril de 1777 – 23 de febrero de 1855), fue un matemático, astrónomo y físico alemán de una gigantesca genialidad, que contribuyó significativamente en muchos campos, incluida la teoría de números, el análisis matemático, la geometría diferencial, la geodesia, el magnetismo y la óptica. Considerado "el príncipe de las matemáticas" y "el matemático más grande desde la antigüedad", Gauss ha tenido una influencia notable en muchos campos de la matemática y de la ciencia, y es considerado uno de los matemáticos que más influencia ha tenido alrededor de la historia.
Carl Gauss
*******************
Retrato de Carl Friedrich Gauss, por Christian Albrecht Jensen
Johann Carl Friedrich Gauss (Gauß) (30 de abril de 1777 – 23 de febrero de 1855), fue un matemático, astrónomo y físico alemán de una gigantesca genialidad, que contribuyó significativamente en muchos campos, incluida la teoría de números, el análisis matemático, la geometría diferencial, la geodesia, el magnetismo y la óptica. Considerado "el príncipe de las matemáticas" y "el matemático más grande desde la antigüedad", Gauss ha tenido una influencia notable en muchos campos de la matemática y de la ciencia, y es considerado uno de los matemáticos que más influencia ha tenido alrededor de la historia.
► Infancia
Es célebre la siguiente anécdota: con tan solo 3 años corrigió en su cabeza un error de su padre, mientras éste realizaba un conteo de pago de sus empleados, haciendo ver su precoz habilidad para los números.
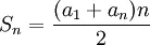
Tenía Gauss 10 años cuando un día en la escuela el profesor manda sumar los cien primeros números naturales. El maestro quería unos minutos de tranquilidad ... pero transcurridos pocos segundos Gauss levanta la mano y dice tener la solución: los cien primeros números naturales suman 5.050. Y efectivamente es así. ¿Cómo lo hizo Gauss? Pues mentalmente se dio cuenta de que la suma del primer término con el último, la del segundo con el penúltimo, etc., era constante:
1 , 2 , 3 , 4 . . . . . . . . 97 , 98 , 99 , 100
1+100 = 2+99 = 3+98 = 4+97 = ... = 101
1+100 = 2+99 = 3+98 = 4+97 = ... = 101
Con los 100 números se pueden formar 50 pares, de forma que la solución final viene dada por el producto 101· 50 = 5050
Gauss había deducido la fórmula que da la suma de n términos de una progresión aritmética de la que se conocen el primero y el último término:

dónde (a1) es el primer término, an el último, y n es el número de términos de la progresión.
► Juventud
En 1796 descubrió el método de construcción del Heptadecágono, y dio el criterio necesario y suficiente para que un polígono pueda ser dibujado:
En geometría, un heptadecágono es un polígono de 17 lados y vértices. Dado su lado "a", el área de un heptadecágono regular es:

Fue el primero en probar rigurosamente el Teorema Fundamental del Álgebra (disertación para su tesis doctoral en 1799), aunque una prueba casi completa de dicho teorema fue hecha por Jean Le Rond d'Alembert anteriormente.
En 1801 publicó el libro Disquisitiones Aritmeticae, con seis secciones dedicadas a la Teoría de números, dándole a esta rama de las matemáticas una estructura sistematizada. En la última sección del libro expone su tesis doctoral. Ese mismo año predijo la órbita del asteroide Ceres aproximando parámetros por mínimos cuadrados.
► Madurez
En 1809 fue nombrado director del Observatorio de Göttingen. En este mismo año publica Theoria motus corporum coelestium in sectionibus conicis Solem ambientium describiendo cómo calcular la órbita de un planeta y cómo refinarla posteriormente. Profundiza sobre ecuaciones diferenciales y secciones cónicas.
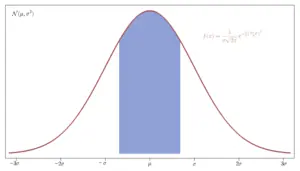
En 1823 publica Theoria combinationis observationum erroribus minimis obnoxiae, dedicado a la estadística, concretamente a la distribución normal cuya curva característica, denominada como * la campana de gaus, es muy usada en disciplinas no matemáticas donde los datos son susceptibles de estar afectados por errores sistemáticos y casuales como por ejemplo la psicología diferencial.
Distribución normal
Hay que aclarar que Gauss no fue el primero en hacer referencia a la distribución normal.
Mostró un gran interés en geometría diferencial y su trabajo Disquisitiones generales circa superficies curva publicado en 1828 fue el más reconocido en este campo. En dicha obra expone el famoso Teorema Egregium. De esta obra se deriva el término Curvatura Gaussiana.
En 1831 se asocia al físico Wilhelm Weber durante seis fructíferos años en los que realizan investigaciones sobre las Leyes de Kirchhoff, publicaciones sobre magnetismo y construyen un telégrafo eléctrico primitivo.
Aunque a Gauss le desagradaba dar clases, algunos de sus alumnos resultaron destacados matemáticos como Richard Dedekind y Bernhard Riemann. Otros matemáticos contemporáneos fueron Carl Gustav Jakob Jacobi, Dirichlet y Sophie Germain.
Gauss murió en Göttingen el 23 de febrero de 1855.
Tumba de Gauss en Göttingen
* Campana de Gauss
En Matemática, la campana de Gauss es la representación gráfica de la ecuación matemática que corresponde a una distribución normal.
► Aplicaciones
Cuando se realizan series de medidas todo aquello experimentales, algunas de ellas son mayores que la media y otras menores. Si se representa en el eje horizontal las medidas obtenidas y en el vertical el número de veces que se obtiene cada valor, se obtiene lo que se llama un histograma de frecuencias.

Si se elimina el error sistemático, el conjunto de datos obtenido se distribuye de forma simétrica alrededor de la media, dando una curva en forma de campana.
Muchas variables se distribuyen de esta forma, variables tanto de tipo morfológico (p.e. la altura de las personas en una población) como fisiológicas, sociológicas, etc.

Constituye otra forma de expresar lo establecido en el teorema central del límite: variables independientes que no siguen necesariamente una distribución normal sí lo hacen para tamaños suficientemente grandes de la muestra.
Fuente, Fuente, Fuente, y Fuente
___________________________________________________________
► Descarga
Documental >> GAUSS, El Principe de las Matematicas Parte 1 | Parte 2

